Two-Beam Free-Electron Lasers and Self-Injected Nonlinear Harmonic Generation
Abstract
1. Introduction
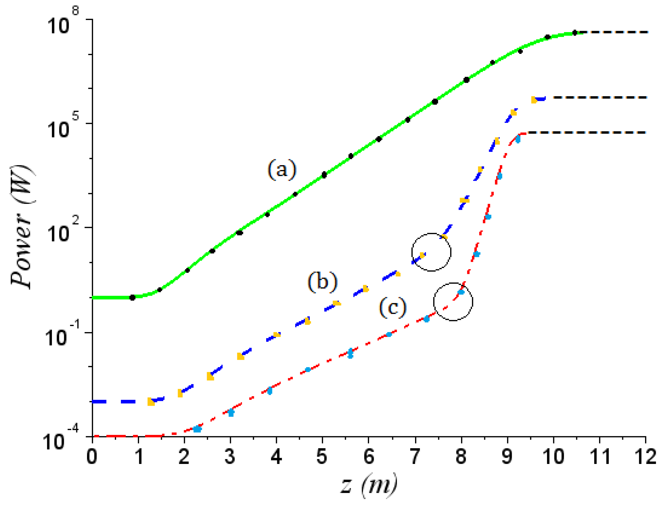
- (a)
- Nonlinear Harmonic Generation
- The first harmonic power grows initially by exhibiting the lethargic phase followed by the exponential behavior, characterized by the gain length .
- The same occurs for the higher-order harmonics (with gain length ), till the bunching effects trigger the mechanism of nonlinear harmonic generation.
- This last phase is characterized by a sudden change in the growth rate followed by a kind of saturation. The characteristic gain length is a fraction of that of the fundamental (namely ).
- (b)
- Bi-Harmonic undulator
2. Harmonically Coupled Two Beams and High-Gain FELs
3. FEL Operating with HCB and Bi-Harmonic Undulators
4. Final Comments
Author Contributions
Funding
Institutional Review Board Statement
Informed Consent Statement
Data Availability Statement
Conflicts of Interest
References
- Colson, W.B. The nonlinear wave equation for higher harmonics in free-electron lasers. IEEE J. Quantum Electron. 1981, 17, 1417–1427. [Google Scholar] [CrossRef]
- Colson, W.B. Free-electron lasers operating in higher harmonics. Phys. Rev. A 1981, 24, 639–641. [Google Scholar] [CrossRef]
- Colson, W.B.; Dattoli, G.; Ciocci, F. Angular-gain spectrum of free electron lasers. Phys. Rev. A 1985, 31, 828–842. [Google Scholar] [CrossRef] [PubMed]
- Freund, H.P.; Biedron, S.G.; Milton, S.V. Non Linear Harmonic Generation in Free Electron Lasers. IEEE J. Quantum Elelectron. 2000, 36, 275–281. [Google Scholar] [CrossRef]
- Geloni, G.; Saldin, E.; Schneidmiller, E.; Yurkov, M. Theory of Harmonic Generation in Free Electron Lasers with helical wigglers. Nucl. Instr. Meth. A 2007, 581, 856–865. [Google Scholar] [CrossRef]
- Giannessi, L. Seeding and Harmonic Generation in Free Electron Laser, in Synchrotron Light Sources and Free-Electron Lasers; Jaeschke, E.J., Khan, S., Schneider, J.R., Hastings, J.B., Eds.; Springer Nature Switzerland AG: Cham, Switzerland, 2020; pp. 119–147. [Google Scholar]
- Ciocci, F.; Dattoli, G.; Torre, A.; Renieri, A. Insertion Devices for Synchrotron Radiation and Free Electron Lasers; World Scientific: Singapore, 2000. [Google Scholar]
- Dattoli, G.; Ottaviani, P.L.; Pagnutti, S. Non Linear Harmonic Generation in high gain Free Electron Lasers. J. Appl. Phys. 2005, 97, 113102. [Google Scholar] [CrossRef]
- McNeil, B.W.J.; Poole, M.W.; Robb, G.R.M. Two-beam free-electron laser. Phys. Rev. E 2004, 70, 035501. [Google Scholar] [CrossRef] [PubMed]
- Dattoli, G.; Giannessi, L.; Ottaviani, P.L.; Freund, H.P.; Biedron, S.G.; Milton, S. Two harmonic undulators and harmonic generation in high gain free electron lasers. Nucl. Instruments Methods Phys. Res. Sect. A 2002, 495, 48–57. [Google Scholar] [CrossRef]
- Dattoli, G.; Doria, A.; Giannessi, L.; Ottaviani, P.L. Bunching and exotic undulator configurations in SASE FELs. Nucl. Instr. Meth. Phys. Res. A 2003, 507, 388–391. [Google Scholar] [CrossRef]
- Dattoli, G.; Renieri, A.; Torre, A. Lectures on the Free Electron Laser Theory and Related Topics; World Scientific: Singapore, 1993. [Google Scholar] [CrossRef]
- Dattoli, G.; Ottaviani, P.L.; Pagnutti, S. The PROMETEO Code: A flexible tool for Free Electron Laser study. Il Nuovo Cimento 2009, 32, 283–287. [Google Scholar]
- Dattoli, G.; Ottaviani, P.L.; Pagnutti, S. Booklet for FEL Design: A Collection of Practical Formulae, ENEA Report RT/2007/40/FIM (2007). Available online: https://www.fel.enea.it/booklet/pdf/Booklet_for_FEL_design.pdf (accessed on 12 July 2021).
- Dattoli, G.; Ottaviani, P.L.; Pagnutti, S. High gain amplifiers: Power oscillations and harmonic generation. J. Appl. Phys. 2007, 102, 033103. [Google Scholar] [CrossRef]
- Hemsing, E. Simple model for the nonlinear radiation field of a free electron laser. Phys. Rev. Accel. Beams 2020, 23, 120703. [Google Scholar] [CrossRef]
- Dattoli, G.; Di Palma, E.; Licciardi, S.; Sabia, E. Generalized Bessel Functions and Their Use in Bremsstrahlung and Multi-Photon Processes. Symmetry 2021, 13, 159. [Google Scholar] [CrossRef]
- Schmidt, M.J.; Elliott, C.J. The effects of harmonic wiggler field components on free-electron laser operation. IEEE J. Quant. Electron. 1987, 23, 1552. [Google Scholar] [CrossRef]
- Asakawa, M.; Mima, K.; Nakai, S.; Imasaki, K.; Yamanaka, C. Higher harmonic generation in a modified wiggler magnetic field. Nucl. Instr. Meth. A 1992, 318, 538–545. [Google Scholar] [CrossRef]
- Mirian, N.S. Harmonic Generation in Two Orthogonal Undulators. In Proceedings of the FEL2015, Daejeon, Korea, 23–28 August 2015. [Google Scholar]
- Schneidmiller, E.; Yurkov, M. Harmonic Lasing in X-ray Free Electron Laser. Phys. Rev. 2012, 15, 080702. [Google Scholar] [CrossRef]
- Schneidmiller, E.; Yurkov, M. First operation of a Harmonic Lasing Self-Seeded FEL; ICFA Workshop: Arcidosso, Italy, 2017. [Google Scholar]
- Ciocci, F.; Anania, M.P.; Artioli, M.; Bellaveglia, M.; Carpanese, M.; Chiadroni, E.; Villa, F. Segmented Undulator Operation at the SPARC-FEL Test Facility, Advances in X-ray Free-Electron Lasers Instrumentation III; Biedron, S.G., Ed.; SPIE: Bellingham, WA, USA, 2015; Volume 9512, p. 951203. [Google Scholar] [CrossRef]
- McNeil, B.W.; Robb, G.R.M. The Harmonically Coupled 2-beam FEL. In Proceedings of the 2004 FEL Conference, Trieste, Italy, 29 August–3 September 2004; pp. 598–601. [Google Scholar]
- Dattoli, G.; Voykov, G.K. Spectral properties of two-harmonic undulator radiation. Phys. Rev. 1993, 48, 3030–3039. [Google Scholar] [CrossRef] [PubMed]
- Dattoli, G.; Mirian, N.S.; Di Palma, E.; Petrillo, V. Two-color free-electron laser with two orthogonal undulators. PRSTAB 2014, 17, 050702. [Google Scholar] [CrossRef]
- McNeil, B. First light from hard X-ray laser. Nat. Photon. 2009, 3, 375–377. [Google Scholar] [CrossRef]
- Dattoli, G.; Mezi, L.; Ottaviani, P.L.; Pagnutti, S. Theory of high gain free-electron lasers operating with segmented undulators. J. Appl. Phys. 2006, 99, 044907. [Google Scholar] [CrossRef]
- Huang, N.; Deng, H.; Liu, B.; Wang, D.; Zhao, Z. Features and Futures of Free Electron Lasers. Cellpress Partn. J. Innov. 2021. [Google Scholar] [CrossRef]
- Ackermann, W.A.; Asova, G.; Ayvazyan, V.; Azima, A.; Baboi, N.; Bähr, J.; Winter, A. Operation of a free-electron laser from the extreme ultraviolet to the water window. Nat. Photon. 2007, 1, 336–342. [Google Scholar] [CrossRef]
- Emma, P.; Akre, R.; Arthur, J.; Bionta, R.; Bostedt, C.; Bozek, J.; Brachmann, A.; Bucksbaum, P.; Coffee, R.; Decker, F.J.; et al. First lasing and operation of an Ångstrom wavelength free-electron laser. Nat. Photon. 2020, 4, 641–647. [Google Scholar] [CrossRef]
- Ishikawa, T.; Aoyagi, H.; Asaka, T.; Asano, Y.; Azumi, N.; Bizen, T.; Ego, H.; Fukami, K.; Fukui, T.; Furukawa, Y.; et al. A compact X-ray free-electron laser emitting in the sub-Ångström region. Nat. Photon. 2012, 6, 540–544. [Google Scholar] [CrossRef]
- Kang, H.S.; Min, C.K.; Heo, H.; Kim, C.; Yang, H.; Kim, G.; Nam, I.; Baek, S.Y.; Choi, H.J.; Mun, G.; et al. Hard X-ray free-electron laser with femto-second-scale timing jitter. Nat. Photon. 2017, 11, 708–713. [Google Scholar] [CrossRef]
- Prat, E.; Abela, R.; Aiba, M.; Alarcon, A.; Alex, J.; Arbelo, Y.; Zimoch, E. A compact and cost-effective hard X-ray free-electron laser driven by a high-brightness and low-energy electron beam. Nat. Photon. 2020, 14, 748–754. [Google Scholar] [CrossRef]
- Allaria, E.; Appio, R.; Badano, L.; Barletta, W.A.; Bassanese, S.; Biedron, S.G.; Zangrando, M. Highly coherent and stable pulses from the FERMI seeded free-electron laser in the extreme ultraviolet. Nat. Photon. 2012, 6, 699–704. [Google Scholar] [CrossRef]
- Zhao, Z.; Wang, D.; Gu, Q.; Yin, L.; Fang, G.; Gu, M.; Jiang, H. SXFEL: A soft X-ray free electron laser in China. Synchrotron Radiat. News 2017, 30, 29–33. [Google Scholar] [CrossRef]
- Galayda, J. The Linac Coherent Light Source-II Project. In Proceedings of the 5th International Particle Accelerator Conference (IPAC’14), Geneva, Switzerland, 15–20 June 2014; JACoW: Dresden, Germany, 2014. [Google Scholar]
- Decking, W.; Abeghyan, S.; Abramian, P.; Abramsky, A.; Aguirre, A.; Albrecht, C.; Alou, P.; Altarelli, M.; Altmann, P.; Amyan, K.; et al. A MHz-repetition-rate hard X-ray free-electron laser driven by a superconducting linear accelerator. Nat. Photon. 2020, 14, 391–397. [Google Scholar] [CrossRef]
- Tavella, F.; Stojanovic, N.; Geloni, G.; Gensch, M. Few-femtosecond timing at fourth-generation X-ray light sources. Nat. Photon. 2011, 5, 162. [Google Scholar] [CrossRef]
- Ding, Y.; Decker, F.J.; Emma, P.; Feng, C.; Field, C.; Frisch, J.; Huang, Z.; Krzywinski, J.; Loos, H.; Welch, J.; et al. Femtosecond X-ray Pulse Characterization in Free-Electron Lasers Using a Cross-Correlation Technique. Phys. Rev. Lett. 2012, 109, 254802. [Google Scholar] [CrossRef] [PubMed]
- Finetti, P. Optical-EUV pump and probe experiments with variable polarization on the newly open LDM beamline of FERMI@Elettra. In Proceedings of the FEL Conference 2013, New York, NY, USA, 26–30 August 2013. [Google Scholar]
- Lakowicz, J.R. Principles of Fluorescence Spectroscopy, 3rd ed.; Chapter 10–12 Deal with Fluorescence Polarization Spectroscopy; Springer: Berlin/Heidelberg, Germany, 2006. [Google Scholar]
- Kazansky, A.K.; Grigorieva, A.V.; Kabachnik, N.M. Dichroism in short-pulse two-color XUV plus IR multiphoton ionization of atoms. Phys. Rev. A 2012, 85, 053409. [Google Scholar] [CrossRef]
- Lutman, A.A.; Coffee, R.; Ding, Y.; Huang, Z.; Krzywinski, J.; Maxwell, T.; Messerschmidt, M.; Nuhn, H.D. Experimental Demonstration of Femtosecond Two-Color X-ray Free-Electron Lasers. Phys. Rev. Lett. 2013, 110, 134801. [Google Scholar] [CrossRef] [PubMed]
- Petrillo, V.; Anania, M.P.; Artioli, M.; Bacci, A.; Bellaveglia, M.; Chiadroni, E.; Cianchi, A.; Ciocci, F.; Dattoli, G.; Di Giovenale, D.; et al. Observation of Time-Domain Modulation of Free-Electron-Laser Pulses by Multipeaked Electron-Energy-Spectrum. Phys. Rev. Lett. 2013, 111, 114802. [Google Scholar] [CrossRef]
- Allaria, E.; Bencivenga, F.; Borghes, R.; Capotondi, F.; Castronovo, D.; Charalambous, P.; Cinquegrana, P.; Danailov, M.B.; De Ninno, G.; Demidovich, A.; et al. Two-colour pump-probe experiments with a twin-pulse-seed extreme ultraviolet free-electron laser. Nat. Commun. 2013, 4, 2476. [Google Scholar] [CrossRef] [PubMed]
- Mahieu, B.; Allaria, E.; Castronovo, D.; Danailov, M.B.; Demidovich, A.; De Ninno, G.; Di Mitri, S.; Fawley, W.M.; Ferrari, E.; Fröhlich, L.; et al. Two-colour generation in a chirped seeded free-electron laser: A close look. Opt. Express 2013, 21, 22728. [Google Scholar] [CrossRef]
- Marinelli, A.; Lutman, A.A.; Wu, J.; Ratner, D.; Gilevich, S.; Decker, F.J.; Turner, J.; Loos, H.; Ding, Y.; Krzywinski, J.; et al. Two-Color Schemes at LCLS. In Proceedings of the FEL Conference 2013, New York, NY, USA, 26–30 August 2013. [Google Scholar]
- Ronsivalle, C.; Anania, M.P.; Bacci, A.; Bellaveglia, M.; Chiadroni, E.; Cianchi, A.; Ciocci, F.; Dattoli, G.; Di Giovenale, D.; Di Pirro, G.; et al. Large-bandwidth two-color free-electron laser driven by a comb-like electron beam. New J. Phys. 2014, 16, 033018. [Google Scholar] [CrossRef][Green Version]
- Chiadroni, E.; Anania, M.P.; Artioli, M.; Bacci, A.; Bellaveglia, M.; Cianchi, A.; Ciocci, F.; Dattoli, G.; Di Giovenale, D.; Di Pirro, G.; et al. Two Color FEL Driven by a Comb-Like Electron Beam Distribution. Phys. Procedia 2014, 52, 27–35. [Google Scholar] [CrossRef]
- Freund, H.P.; O’Shea, P.G. Two-Color Operation in High-Gain Free-Electron Lasers. Phys. Rev. Lett. 2000, 84, 2861. [Google Scholar] [CrossRef]
- Thompson, N.R.; McNeil, B.W.J. Mode Locking in a Free-Electron Laser Amplifier. Phys. Rev. Lett. 2008, 100, 203901. [Google Scholar] [CrossRef]
- Xiang, D.; Huang, Z.; Stupakov, G. Generation of intense attosecond x-ray pulses using ultraviolet laser induced microbunching in electron beams. Phys. Rev. ST Accel. Beams 2009, 12, 060701. [Google Scholar] [CrossRef]
- Deng, H.; Zhang, T.; Feng, L.; Feng, C.; Liu, B.; Wang, X.; Zhao, Z. Polarization switching demonstration using crossed-planar undulators in a seeded free-electron laser. Phys. Rev. Accel. Beams 2014, 17, 020704. [Google Scholar] [CrossRef]
- Ferrari, E.; Allaria, E.; Buck, J.; De Ninno, G.; Diviacco, B.; Gauthier, D.; Giannessi, L.; Glaser, L.; Huang, Z.; Ilchen, M.; et al. Single shot polarization characterization of XUV FEL pulses from crossed polarized undulators. Sci. Rep. 2015, 5, 13531. [Google Scholar] [CrossRef] [PubMed]
- Allaria, E.; Diviacco, B.; Callegari, C.; Finetti, P.; Mahieu, B.; Viefhaus, J.; Zangr, O.M.; De Ninno, G.; Lambert, G.; Ferrari, E.; et al. Control of the polarization of a vacuum-ultraviolet, high-gain, free-electron laser. Phys. Rev. X 2014, 4, 041040. [Google Scholar] [CrossRef]
- Lutman, A.A.; MacArthur, J.P.; Ilchen, M.; Lindahl, A.O.; Buck, J.; Coffee, R.N.; Dakovski, G.L.; Dammann, L.; Ding, Y.; Dürr, H.A.; et al. Polarization control in an X-ray free-electron laser. Nat. Photon. 2016, 10, 468–472. [Google Scholar] [CrossRef]
- Ciocci, F.; Anania, M.P.; Artioli, M.; Bellaveglia, M.; Carpanese, M.; Chiadroni, E.; Cianchi, A.; Dattoli, G.; Giovenale, D.D.; Palma, E.D.; et al. Segmented undulator operation at the SPARC-FEL test facility. In Proceedings of the Advances in X-ray Free-Electron Lasers Instrumentation III, Prague, Czech Republic, 12 May 2015; Volume 951203. [Google Scholar] [CrossRef]
- Yan, J.; Deng, H. Multi-beam-energy operation for the continuous-wave X-ray free electron laser. Phys. Rev. Accel. Beams 2019, 22, 090701. [Google Scholar] [CrossRef]
- Zhu, Z.Y.; Zhao, Z.T.; Wang, D.; Liu, Z.; Li, R.X.; Yin, L.X.; Yang, Z.H. SCLF: An 8-GeV CW SCRF Linac-based X-ray FEL Facility in Shangai. In Proceedings of the International Free Electron Laser Conference (FEL’17), Santa Fe, Mexico, 20–25 August 2017; No. 38. JACoW: Geneva, Switzerland, 2018; pp. 182–184. [Google Scholar]








| Publisher’s Note: MDPI stays neutral with regard to jurisdictional claims in published maps and institutional affiliations. | 
© 2021 by the authors. Licensee MDPI, Basel, Switzerland. This article is an open access article distributed under the terms and conditions of the Creative Commons Attribution (CC BY) license (https://creativecommons.org/licenses/by/4.0/).
Share and Cite
Sabia, E.; Di Palma, E.; Dattoli, G. Two-Beam Free-Electron Lasers and Self-Injected Nonlinear Harmonic Generation. Appl. Sci. 2021, 11, 6462. https://doi.org/10.3390/app11146462
Sabia E, Di Palma E, Dattoli G. Two-Beam Free-Electron Lasers and Self-Injected Nonlinear Harmonic Generation. Applied Sciences. 2021; 11(14):6462. https://doi.org/10.3390/app11146462
Chicago/Turabian StyleSabia, Elio, Emanuele Di Palma, and Giuseppe Dattoli. 2021. "Two-Beam Free-Electron Lasers and Self-Injected Nonlinear Harmonic Generation" Applied Sciences 11, no. 14: 6462. https://doi.org/10.3390/app11146462
APA StyleSabia, E., Di Palma, E., & Dattoli, G. (2021). Two-Beam Free-Electron Lasers and Self-Injected Nonlinear Harmonic Generation. Applied Sciences, 11(14), 6462. https://doi.org/10.3390/app11146462
 
         
                                                


