Thermal Characteristics and Parametric Analysis of an Improved Solar Wall
Abstract
:1. Introduction
2. Development of Automatic Control Components Integrated with Color-Changing Solar Walls
2.1. Application of the Photoelectric Fan
2.2. Temperature-Controlled Damper Instead of the Traditional Wooden Damper
3. Thermal Characteristics Analysis of the Improved Solar Wall
3.1. Effect of Solar Walls on the Indoor Thermal Environment and Energy Consumption
3.2. Thermal Characteristic of the Photoelectric Fan
3.3. Correlation Analysis of the Temperature Control Damper
4. Thermal Performance Optimization of Solar Walls
- (1)
- algebraic average deviation:
- (2)
- average absolute deviation:
4.1. Effect of Absorber Materials on the Thermal Performance of Solar Walls
4.2. Effect of Aspect Ratio on the Thermal Performance of Solar Walls
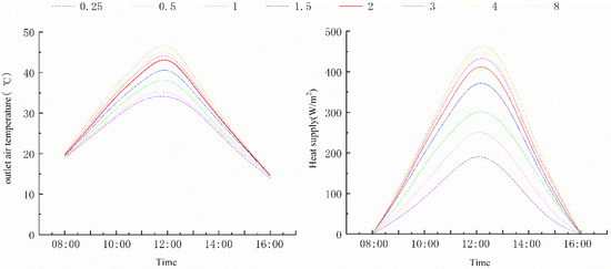
4.3. Effect of Vent Size on the Thermal Performance of Solar Walls
5. Conclusions
- Based on the monitoring, experimental data showed that the average daily heat output of the color-changing solar wall is 1.08 MJ per unit floor area on clear days in winter and the average thermal efficiency of the solar wall is 56.8%. Furthermore, the thermal characteristic of the automatic control components was also carried out by field monitoring and theoretical analysis.
- Meanwhile, to improve the thermal performance of the solar walls system, thermal characteristic optimization analysis of the solar wall was also conducted based on the mathematical model. The structure dimensions and absorber materials were optimized. Optimization results showed that an optimal aspect ratio is between 2 and 3 and the ideal diameter of the vent is about 200 mm.
Author Contributions
Funding
Institutional Review Board Statement
Informed Consent Statement
Data Availability Statement
Conflicts of Interest
Nomenclature
| Symbols | |
| a | the weighed coefficient |
| A | Absorber area, m2 |
| Af | Outlet area, m2 |
| b | the weighed coefficient |
| c | the weighed coefficient |
| g | acceleration due to gravity, =9.81(m/s2) |
| G | Solar irradiance (W/m2) |
| h | heat convection (W/m2 °C) |
| H | the channel height, m |
| hc | heat convection between indoor air and interior surface (W/m2 °C) |
| hrcg | radiation heat transfer coefficient between cover plate and absorber plate (W/m2 °C) |
| hrsg | the radiation heat transfer coefficient between insulation plate and absorber plate (W/m2 °C) |
| L | length unit (m) |
| m | mass flow rate, kg/s |
| M | Mass unit (kg) |
| Pr | Prandtl number |
| q | solar radiation intensity (W/m2) |
| Ra | Rayleigh number |
| Re | Reynolds number |
| t | temperature (°C) |
| T | Unit of time(s) |
| u | air velocity, m/s |
| Subscripts | |
| a | outdoor air |
| f | air gap |
| fd/fu | inlet/outlet |
| g | cover plate |
| gi/go | interior/exterior surface of cover plate |
| out/in | outlet/inlet |
| r | indoor air |
| s | absorber plate |
| sd/su | lower/upper surface of absorber plate |
| si/so | interior/exterior surface of south wall (insulation board) |
| Greek symbol | |
| the thermal diffusivity (°C) | |
| thickness of the air gap | |
| thermal expansion coefficient (K−1) | |
| air density (kg/m3) | |
| η | Thermal efficiency |
| thermal conductivity | |
| tilt angle of the blind (°) | |
| the kinematic viscosity coefficient | |
| The dimensionless parameter | |
References
- Hernández, A.L.; Quiñonez, J.E. Experimental validation of an analytical model for performance estimation of natural convection solar air heating collectors. Renew. Energy 2018, 117, 202–216. [Google Scholar] [CrossRef]
- Bunea, M.; Perers, B.; Eicher, S.; Hildbrand, C.; Bony, J.; Citherlet, S. Mathematical modelling of unglazed solar collectors under extreme operating conditions. Sol. Energy 2015, 118, 547–561. [Google Scholar] [CrossRef]
- Ahmadi, A.; Ehyaei, M.A.; Doustgani, A.; Assad, M.E.H.; Hmida, A.; Jamali, D.H.; Kumar, R.; Li, Z.X.; Razmjoo, A. Recent residential applications of low-temperature solar collector. J. Clean. Prod. 2021, 279, 123549. [Google Scholar] [CrossRef]
- Rajarajeswari, K.; Sreekumar, A. Matrix solar air heaters—A review. Renew. Sustain. Energy Rev. 2016, 57, 704–712. [Google Scholar] [CrossRef]
- Jin, D.; Zhang, M.; Wang, P.; Xu, S. Numerical investigation of heat transfer and fluid flow in a solar air heater duct with multi V-shaped ribs on the absorber plate. Energy 2015, 89, 178–190. [Google Scholar] [CrossRef]
- Aboghrara, A.M.; Baharudin, B.; Alghoul, M.; Adam, N.M.; Hairuddin, A.A.; Hasan, H.A.; Aboghrara, A.M.; Baharudin, B.; Alghoul, M.; Adam, N.M.; et al. Performance analysis of solar air heater with jet impingement on corrugated absorber plate. Case Stud. Therm. Eng. 2017, 10, 111–120. [Google Scholar] [CrossRef]
- El-Sebaii, A.; Al-Snani, H.; El-Sebaii, A.; Al-Snani, H. Effect of selective coating on thermal performance of flat plate solar air heaters. Energy 2010, 35, 1820–1828. [Google Scholar] [CrossRef]
- Ramani, B.; Gupta, A.; Kumar, R. Performance of a double pass solar air collector. Sol. Energy 2010, 84, 1929–1937. [Google Scholar] [CrossRef]
- Omojaro, A.; Aldabbagh, L. Experimental performance of single and double pass solar air heater with fins and steel wire mesh as absorber. Appl. Energy 2010, 87, 3759–3765. [Google Scholar] [CrossRef]
- Bouadila, S.; Kooli, S.; Lazaar, M.; Skouri, S.; Farhat, A. Performance of a new solar air heater with packed-bed latent storage energy for nocturnal use. Appl. Energy 2013, 110, 267–275. [Google Scholar] [CrossRef]
- Chen, C.; Diao, Y.; Zhao, Y.; Wang, Z.; Zhu, T.; Wang, T.; Liang, L. Numerical evaluation of the thermal performance of different types of double glazing flat-plate solar air collectors. Energy 2021, 233, 121087. [Google Scholar] [CrossRef]
- Al-Damook, A.; Khalil, W.H. Experimental evaluation of an unglazed solar air collector for building space heating in Iraq. Renew. Energy 2017, 112, 498–509. [Google Scholar] [CrossRef]
- Yu, G.; Yang, H.; Yan, Z.; Ansah, M.K. A review of designs and performance of façade-based building integrated photovoltaic-thermal (BIPVT) systems. Appl. Therm. Eng. 2021, 182, 116081. [Google Scholar] [CrossRef]
- Nikolić, N.; Lukić, N. Theoretical and experimental investigation of the thermal performance of a double exposure flat-plate solar collector. Sol. Energy 2015, 119, 100–113. [Google Scholar] [CrossRef]
- Facão, J. Optimization of flow distribution in flat plate solar thermal collectors with riser and header arrangements. Sol. Energy 2015, 120, 104–112. [Google Scholar] [CrossRef] [Green Version]
- Salih, M.M.M.; Alomar, O.R.; Ali, F.A.; Abd, H.M. An experimental investigation of a double pass solar air heater performance: A comparison between natural and forced air circulation processes. Sol. Energy 2019, 193, 184–194. [Google Scholar] [CrossRef]
- Akpinar, E.K.; Koçyiğit, F. Energy and exergy analysis of a new flat-plate solar air heater having different obstacles on absorber plates. Appl. Energy 2010, 87, 3438–3450. [Google Scholar] [CrossRef]
- Ravi, R.K.; Saini, R.P. A review on different techniques used for performance enhancement of double pass solar air heaters. Renew. Sustain. Energy Rev. 2016, 56, 941–952. [Google Scholar] [CrossRef]
- Jiandong, Z.; Hanzhong, T.; Susu, C. Numerical simulation for structural parameters of flat-plate solar collector. Sol. Energy 2015, 117, 192–202. [Google Scholar] [CrossRef]
- Bahrehmand, D.; Ameri, M.; Gholampour, M. Energy and exergy analysis of different solar air collector systems with forced convection. Renew. Energy 2015, 83, 1119–1130. [Google Scholar] [CrossRef]
- Debnath, S.; Das, B.; Randive, P.; Pandey, K.M. Performance analysis of solar air collector in the climatic condition of North Eastern India. Energy 2018, 165, 281–298. [Google Scholar] [CrossRef]
- Harmim, A.; Boukar, M.; Amar, M.; Haida, A. Simulation and experimentation of an integrated collector storage solar water heater designed for integration into building facade. Energy 2019, 166, 59–71. [Google Scholar] [CrossRef]
- Şevik, S.; Abuşka, M. Thermal performance of flexible air duct using a new absorber construction in a solar air collector. Appl. Therm. Eng. 2019, 146, 123–134. [Google Scholar] [CrossRef]
- Alta, D.; Bilgili, E.; Ertekin, C.; Yaldiz, O. Experimental investigation of three different solar air heaters: Energy and exergy analyses. Appl. Energy 2010, 87, 2953–2973. [Google Scholar] [CrossRef]
- Karsli, S. Performance analysis of new-design solar air collectors for drying applications. Renew. Energy 2007, 32, 1645–1660. [Google Scholar] [CrossRef]
- Chow, T.T. A Review on Photovoltaic/Thermal Hybrid Solar Technology. Renew. Energy 2010, 87, 88–119. [Google Scholar] [CrossRef]
- Yeh, H.M.; Ho, C.D. Effect of external recycle on the performance of flat plate solar air heaters with internal fins attached. Renew. Energy 2009, 34, 1340–1347. [Google Scholar] [CrossRef]
- Youcef-Ali, S. Study and optimization of the thermal performances of the offset rectangular plate fin absorber plates with various glazing. Renew. Energy 2005, 30, 271–280. [Google Scholar] [CrossRef]
- Badescu, V.; Soriga, I.; Ciocanea, A. Solar air collector performance in transient operation under radiative regimes with different levels of stability. Sol. Energy 2019, 177, 200–212. [Google Scholar] [CrossRef]
- Li, G.; Huang, H.; Zhang, J.; Zhang, H. Study on the performance of a solar collector with heat collection and storage. Appl. Therm. Eng. 2019, 147, 380–389. [Google Scholar] [CrossRef]
- Zhang, H.; Ma, X.; You, S.; Wang, Y.; Zheng, X.; Ye, T.; Zheng, W.; Wei, S. Mathematical modeling and performance analysis of a solar air collector with slit-perforated corrugated plate. Sol. Energy 2018, 167, 147–157. [Google Scholar] [CrossRef]
- Zhu, J.; Chen, B. A Mathematic Model of a Color-changed Passive Solar House. Energy Procedia 2017, 105, 1009–1014. [Google Scholar] [CrossRef]
- Nikolić, N.; Lukić, N. A mathematical model for determining the optimal reflector position of a double exposure flat-plate solar collector. Renew. Energy 2013, 51, 292–301. [Google Scholar] [CrossRef]
- Deng, J.; Ma, R.; Yuan, G.; Chang, C.; Yang, X. Dynamic thermal performance prediction model for the flat-plate solar collectors based on the two-node lumped heat capacitance method. Sol. Energy 2016, 135, 769–779. [Google Scholar] [CrossRef]
- Zheng, W.; Li, B.; Zhang, H.; You, S.; Li, Y.; Ye, T. Thermal characteristics of a glazed transpired solar collector with perforating corrugated plate in cold regions. Energy 2016, 109, 781–790. [Google Scholar] [CrossRef]
- Wu, D.; Aye, L.; Ngo, T.; Mendis, P. Optimisation and financial analysis of an organic Rankine cycle cooling system driven by facade integrated solar collectors. Appl. Energy 2017, 185, 172–182. [Google Scholar] [CrossRef]
- Long, L.; Ye, H.; Liu, M. A new insight into opaque envelopes in a passive solar house: Properties and roles. Appl. Energy 2016, 183, 685–699. [Google Scholar] [CrossRef]
- Liu, Y.; Wang, D.; Ma, C.; Liu, J. A numerical and experimental analysis of the air vent management and heat storage characteristics of a trombe wall. Sol. Energy 2013, 91, 1–10. [Google Scholar] [CrossRef]
- Sun, C.; Liu, Y.; Duan, C.; Zheng, Y.; Chang, H.; Shu, S. A mathematical model to investigate on the thermal performance of a flat plate solar air collector and its experimental verification. Energy Convers. Manag. 2016, 115, 43–51. [Google Scholar] [CrossRef]
- Burek, S.; Habeb, A. Air flow and thermal efficiency characteristics in solar chimneys and Trombe Walls. Energy Build. 2007, 39, 128–135. [Google Scholar] [CrossRef]
- Coakley, D.; Raftery, P.; Keane, M. A review of methods to match building energy simulation models to measured data. Renew. Sustain. Energy Rev. 2014, 37, 123–141. [Google Scholar] [CrossRef] [Green Version]
- Elguezabal, P.; Lopez-Dominguez, A.; Blanco, J.; Chica, J. CFD model-based analysis and experimental assessment of key design parameters for an integrated unglazed metallic thermal collector façade. Renew. Energy 2020, 146, 1766–1780. [Google Scholar] [CrossRef] [Green Version]
- Zhu, J.; Chen, B. Simplified analysis methods for thermal responsive performance of passive solar house in cold area of China. Energy Build. 2013, 67, 445–452. [Google Scholar] [CrossRef]
- Zhu, J.; Chen, B. Experimental study on thermal response of passive solar house with color changed. Renew. Energy 2015, 73, 55–61. [Google Scholar] [CrossRef]
















| Author | Types | Diagram | Inference |
|---|---|---|---|
| D. Jin et al. [5] | solar air heater duct having multi V-shaped ribs on the absorber plate | ![]() | The maximum value of the thermal performance parameter was 1.93 for the range of parameters investigated. |
| A.M. Aboghrara et al. [6] | solar air heater with jet impingement on corrugated absorber plate | ![]() | The thermal efficiency of proposed design duct is observed almost 14% more as compared to the smooth duct. |
| A.A. El-Sebaii, H. Al-Snani [7] | flat plate solar air heaters-double pass flat and v-corrugated plate | ![]() | The annual average of a nickel–tin selectively coated absorber is higher than that with a black painted absorber by 29.23%. |
| B.M. Ramani et al. [8] | double pass solar air collector with and without porous material | ![]() | Thermal efficiency of double pass solar air collector with porous absorbing material is 20–25% higher than that of collector without porous absorbing material. |
| A.P. Omojaro et al. [9] | a double pass solar air heater with fins attached and using a steel wire mesh as absorber plate | ![]() | The efficiency of the double pass is found to be higher than the single pass by 7–19.4%. |
| S. Bouadila et al. [10] | a solar air heater with packed-bed latent storage energy | ![]() | The daily energy efficiency varied between 32% and 45%. While the daily exergy efficiency varied between 13% and 25%. |
| C.Q. Chen et al. [11] | double glazing flat-plate solar air collectors | ![]() | The efficiency factor and total heat loss coefficient of Model 4 are 0.62707 and 2.21745, respectively. |
| Floor Area/m2 | The Ratio of Window to Wall in South Façade/% | Shape Coefficient | SHGC of Windows | Heat Transfer Coefficient (W/m2·°C) | |||
|---|---|---|---|---|---|---|---|
| External Walls | Floor | Roof | Window | ||||
| 75 | 21.2 | 0.468 | 0.43 | 0.42 | 0.48 | 0.45 | 2.1 |
| Layer | Construction |
|---|---|
| External walls | 20 mm plaster + 370 mm solid brick + 70 mm polystyrene board |
| Internal walls | 240 mm solid brick |
| Floor | 50 mm wood floor + 50 mm poured concrete + 100 mm loess + 50 mm polystyrene board |
| Roof | 20 mm plaster + 200 mm steel concrete + 50 mm polystyrene board + 20 mm tile |
| window | double glazing + aluminum alloy window frames |
| Parameter | Dimensions | Parameter | Dimensions |
|---|---|---|---|
| Collectors tilt angle | 90 | Plate thickness | 3 mm |
| Absorber surface area | 1.05 m2 | Glass emissivity | 0.9 |
| Thickness of air gap | 300 mm | Absorber plate emissivity | 0.4 |
| Thickness of insulation | 3 mm | Glass transmissivity | 0.85 |
| Air duct diameter | 100 mm | Absorber absorptivity | 0.9 |
| Glass cover thickness | 1 mm | Ratio between the solar wall and the floor area | 0.23 |
| Monitored Parameters | Instrument Name | Accuracy | Photos |
|---|---|---|---|
| Surface temperature and heat flow | JTNT-B Temperature test system | ±0.1 °C ±0.01 W/m2 | ![]() |
| Air temperature and relative humidity | TR-72U Temperature and humidity recorder | ±0.1 °C ±1% | ![]() |
| Solar irradiance Air temperature and relative humidity | E-log Outdoor weather station | ±1 W/m2 ±0.01 m/s ±0.1 °C | ![]() |
| Air velocity | KANOMAX-6004 Hot-wire anemometer | ±0.01 m/s | ![]() |
| temperature field | FLIR T440 Infrared thermal imager | ±1 °C | ![]() |
| The Average Deviation | Interface Temperature of South Wall | Outlet Temperature | Indoor Air Temperature |
|---|---|---|---|
| 10.5% | 11.7% | 5.4% | |
| 12.7% | 14.3% | 6.4% |
Publisher’s Note: MDPI stays neutral with regard to jurisdictional claims in published maps and institutional affiliations. |
© 2021 by the authors. Licensee MDPI, Basel, Switzerland. This article is an open access article distributed under the terms and conditions of the Creative Commons Attribution (CC BY) license (https://creativecommons.org/licenses/by/4.0/).
Share and Cite
Zhao, X.; Zhu, J.; Li, R.; Li, W.; Chen, B. Thermal Characteristics and Parametric Analysis of an Improved Solar Wall. Appl. Sci. 2021, 11, 6325. https://doi.org/10.3390/app11146325
Zhao X, Zhu J, Li R, Li W, Chen B. Thermal Characteristics and Parametric Analysis of an Improved Solar Wall. Applied Sciences. 2021; 11(14):6325. https://doi.org/10.3390/app11146325
Chicago/Turabian StyleZhao, Xi, Jiayin Zhu, Ruixin Li, Weilin Li, and Bin Chen. 2021. "Thermal Characteristics and Parametric Analysis of an Improved Solar Wall" Applied Sciences 11, no. 14: 6325. https://doi.org/10.3390/app11146325
APA StyleZhao, X., Zhu, J., Li, R., Li, W., & Chen, B. (2021). Thermal Characteristics and Parametric Analysis of an Improved Solar Wall. Applied Sciences, 11(14), 6325. https://doi.org/10.3390/app11146325













