Effects of O2 Addition on the Discharge Parameters and Production of Reactive Species of a Transferred Atmospheric Pressure Plasma Jet
Abstract
:1. Introduction
2. Materials and Methods
3. Results and Discussion
3.1. Effects on APPJ Electrical Parameters
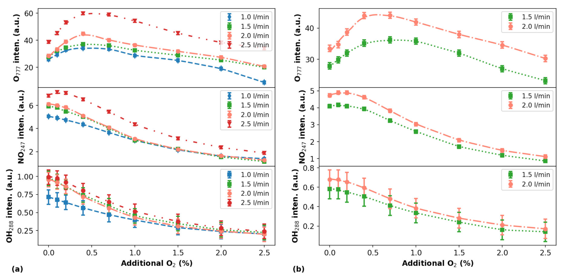
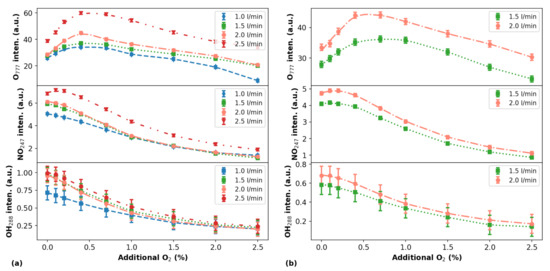
3.2. Effects on the Production of Reactive Species
3.3. Effects on APPJ Thermal Parameters
4. Conclusions
Author Contributions
Funding
Data Availability Statement
Acknowledgments
Conflicts of Interest
References
- Brandenburg, R. Dielectric barrier discharges: Progress on plasma sources and on the understanding of regimes and single filaments. Plasma Sources Sci. Technol. 2017, 26, 53001. [Google Scholar] [CrossRef]
- Bekeschus, S.; Favia, P.; Robert, E.; Woedtke, T.V. White paper on plasma for medicine and hygiene: Future in plasma health sciences. Plasma Process. Polym. 2019, 16, 1800033. [Google Scholar] [CrossRef] [Green Version]
- Busco, G.; Robert, E.; Chettouh-Hammas, N.; Pouvesle, J.M.; Grillon, C. The emerging potential of cold atmospheric plasma in skin biology. Free. Radic. Biol. Med. 2020, 161, 290–304. [Google Scholar] [CrossRef] [PubMed]
- Laroussi, M. Cold Plasma in Medicine and Healthcare: The New Frontier in Low Temperature Plasma Applications. Front. Phys. 2020, 8. [Google Scholar] [CrossRef]
- Liu, D.; Zhang, Y.; Xu, M.; Chen, H.; Lu, X.; Ostrikov, K.K. Cold atmospheric pressure plasmas in dermatology: Sources, reactive agents, and therapeutic effects. Plasma Process. Polym. 2020, e1900218. [Google Scholar] [CrossRef]
- Lu, X.; Naidis, G.V.; Laroussi, M.; Reuter, S.; Graves, D.B.; Ostrikov, K. Reactive species in non-equilibrium atmospheric-pressure plasmas: Generation, transport, and biological effects. Phys. Rep. 2016, 630, 1–84. [Google Scholar] [CrossRef] [Green Version]
- Cheng, X.; Sherman, J.; Murphy, W.; Ratovitski, E.; Canady, J.; Keidar, M. The Effect of Tuning Cold Plasma Composition on Glioblastoma Cell Viability. PLoS ONE 2014, 9, e98652, Publisher: Public Library of Science. [Google Scholar] [CrossRef] [PubMed] [Green Version]
- Chen, T.W.; Liu, C.T.; Chen, C.Y.; Wu, M.C.; Chien, P.C.; Cheng, Y.C.; Wu, J.S. Analysis of Hydroxyl Radical and Hydrogen Peroxide Generated in Helium-Based Atmospheric-Pressure Plasma Jet and in Different Solutions Treated by Plasma for Bioapplications. ECS J. Solid State Sci. Technol. 2020, 9, 115002. [Google Scholar] [CrossRef]
- Kim, D.H.; Park, C.S.; Shin, B.J.; Seo, J.H.; Tae, H.S. Uniform Area Treatment for Surface Modification by Simple Atmospheric Pressure Plasma Treatment Technique. IEEE Access 2019, 7, 103727–103737. [Google Scholar] [CrossRef]
- Nishime, T.M.C.; Wagner, R.; Kostov, K.G. Study of Modified Area of Polymer Samples Exposed to a He Atmospheric Pressure Plasma Jet Using Different Treatment Conditions. Polymers 2020, 12, 1028. [Google Scholar] [CrossRef]
- Wang, X.; Tan, Z.; Pan, J.; Chen, X. Effects of Oxygen Concentration on Pulsed Dielectric Barrier Discharge in Helium-Oxygen Mixture at Atmospheric Pressure. Plasma Sci. Technol. 2016, 18, 837–843. [Google Scholar] [CrossRef]
- Dai, Y.; Zhang, M.; Li, Q.; Wen, L.; Wang, H.; Chu, J. Separated Type Atmospheric Pressure Plasma Microjets Array for Maskless Microscale Etching. Micromachines 2017, 8, 173. [Google Scholar] [CrossRef] [Green Version]
- Fang, Z.; Wang, X.; Shao, T.; Zhang, C. Influence of Oxygen Content on Argon/Oxygen Dielectric Barrier Discharge Plasma Treatment of Polyethylene Terephthalate Film. IEEE Trans. Plasma Sci. 2017, 45, 310–317. [Google Scholar] [CrossRef]
- Yue, Y.; Pei, X.; Gidon, D.; Wu, F.; Wu, S.; Lu, X. Investigation of plasma dynamics and spatially varying O and OH concentrations in atmospheric pressure plasma jets impinging on glass, water and metal substrates. Plasma Sources Sci. Technol. 2018, 27, 064001. [Google Scholar] [CrossRef]
- Li, J.; Wu, F.; Nie, L.; Lu, X.; Ostrikov, K. The Production Efficiency of Reactive Oxygen and Nitrogen Species (RONS) of AC and Pulse-DC Plasma Jet. IEEE Trans. Plasma Sci. 2020, 48, 4204–4214. [Google Scholar] [CrossRef]
- Korolov, I.; Steuer, D.; Bischoff, L.; Hübner, G.; Liu, Y.; Gathen, V.S.v.d.; Böke, M.; Mussenbrock, T.; Schulze, J. Atomic oxygen generation in atmospheric pressure RF plasma jets driven by tailored voltage waveforms in mixtures of He and O2. J. Phys. D Appl. Phys. 2021, 54, 125203. [Google Scholar] [CrossRef]
- Liu, F.; Chu, H.; Zhuang, Y.; Fang, Z.; Zhou, R.; Cullen, P.J.; Ostrikov, K.K. Uniform and stable plasma reactivity: Effects of nanosecond pulses and oxygen addition in atmospheric-pressure dielectric barrier discharges. J. Appl. Phys. 2021, 129, 033302. [Google Scholar] [CrossRef]
- Huang, C.; Yu, Q.; Hsieh, F.H.; Duan, Y. Bacterial Deactivation Using a Low Temperature Argon Atmospheric Plasma Brush with Oxygen Addition. Plasma Process. Polym. 2007, 4, 77–87. [Google Scholar] [CrossRef]
- Fang, Z.; Zhou, Y.; Yao, Z. The Influences of Water and Oxygen Contents on Length of Atmospheric Pressure Plasma Jets in Ar/H2O and Ar/O2 Mixtures. IEEE Trans. Plasma Sci. 2014, 42, 2618–2619. [Google Scholar] [CrossRef]
- Sarani, A.; Nicula, C.; Gonzales, X.F.; Thiyagarajan, M. Characterization of Kilohertz-Ignited Nonthermal He and He/O2 Plasma Pencil for Biomedical Applications. IEEE Trans. Plasma Sci. 2014, 42, 3148–3160. [Google Scholar] [CrossRef]
- Niu, J.; Liu, D.; Ji, L.; Xia, Y.; Bi, Z.; Song, Y.; Ma, Y.; Huang, Z.; Wang, W.; Yang, W. Propagation of Brush-Shaped He/O2 Plasma Plumes in Ambient Air. IEEE Trans. Plasma Sci. 2015, 43, 1993–1998. [Google Scholar] [CrossRef]
- Fatima, S.S.; Rehman, N.U.; Younus, M.; Ahmad, I. Optical characterization of atmospheric-pressure plasma needle. Contrib. Plasma Phys. 2017, 57, 387–394. [Google Scholar] [CrossRef]
- Barkhordari, A.; Ganjovi, A.; Mirzaei, I.; Falahat, A. Study of the physical discharge properties of a Ar/O2 DC plasma jet. Indian J. Phys. 2018, 92, 1177–1186. [Google Scholar] [CrossRef]
- Wu, S.; Wu, F.; Liu, X.; Mao, W.; Zhang, C. A Bipolar DC-Driven Touchable Helium Plasma Jet Operated in Self-Pulsed Mode. IEEE Trans. Plasma Sci. 2018, 46, 4091–4098. [Google Scholar] [CrossRef]
- Wang, S.; Wan, J. Oxygen Effects on a He/O2 Plasma Jet at Atmospheric Pressure. IEEE Trans. Plasma Sci. 2009, 37, 551–554. [Google Scholar] [CrossRef]
- Pang, H.; Chen, Q.; Li, B.; Fei, F.; Yang, S. The Role of Oxygen in a Large Area of RF-Powered Atmospheric Pressure Dielectric Barrier Glow Discharge Plasma in Sterilization. IEEE Trans. Plasma Sci. 2011, 39, 1689–1694. [Google Scholar] [CrossRef]
- Lazzaroni, C.; Chabert, P. A comparison between micro hollow cathode discharges and atmospheric pressure plasma jets in Ar/O2gas mixtures. Plasma Sources Sci. Technol. 2016, 25, 65015. [Google Scholar] [CrossRef]
- Brandenburg, R.; Maiorov, V.A.; Golubovskii, Y.B.; Wagner, H.E.; Behnke, J.; Behnke, J.F. Diffuse barrier discharges in nitrogen with small admixtures of oxygen: Discharge mechanism and transition to the filamentary regime. J. Phys. D Appl. Phys. 2005, 38, 2187–2197. [Google Scholar] [CrossRef] [Green Version]
- Stancampiano, A.; Chung, T.; Dozias, S.; Pouvesle, J.; Mir, L.M.; Robert, E. Mimicking of Human Body Electrical Characteristic for Easier Translation of Plasma Biomedical Studies to Clinical Applications. IEEE Trans. Radiat. Plasma Med. Sci. 2020, 4, 335–342. [Google Scholar] [CrossRef]
- Hołub, M. On the measurement of plasma power in atmospheric pressure DBD plasma reactors. Int. J. Appl. Electromagn. Mech. 2012, 39, 81–87. [Google Scholar] [CrossRef]
- Ashpis, D.E.; Laun, M.C.; Griebeler, E.L. Progress Toward Accurate Measurement of Dielectric Barrier Discharge Plasma Actuator Power. AIAA J. 2017, 55, 2254–2268. [Google Scholar] [CrossRef] [PubMed]
- Pipa, A.V.; Brandenburg, R. The Equivalent Circuit Approach for the Electrical Diagnostics of Dielectric Barrier Discharges: The Classical Theory and Recent Developments. Atoms 2019, 7, 14. [Google Scholar] [CrossRef] [Green Version]
- Moon, S.Y.; Choe, W. A comparative study of rotational temperatures using diatomic OH, O2 and N2+ molecular spectra emitted from atmospheric plasmas. Spectrochim. Acta Part B At. Spectrosc. 2003, 58, 249–257. [Google Scholar] [CrossRef]
- Bruggeman, P.J.; Sadeghi, N.; Schram, D.C.; Linss, V. Gas temperature determination from rotational lines in non-equilibrium plasmas: A review. Plasma Sources Sci. Technol. 2014, 23, 023001. [Google Scholar] [CrossRef] [Green Version]
- Zhang, Q.Y.; Shi, D.Q.; Xu, W.; Miao, C.Y.; Ma, C.Y.; Ren, C.S.; Zhang, C.; Yi, Z. Determination of vibrational and rotational temperatures in highly constricted nitrogen plasmas by fitting the second positive system of N2 molecules. AIP Adv. 2015, 5, 057158. [Google Scholar] [CrossRef] [Green Version]
- Ono, R. Optical diagnostics of reactive species in atmospheric-pressure nonthermal plasma. J. Phys. D Appl. Phys. 2016, 49, 083001. [Google Scholar] [CrossRef]
- Voráč, J.; Synek, P.; Potočňáková, L.; Hnilica, J.; Kudrle, V. Batch processing of overlapping molecular spectra as a tool for spatio-temporal diagnostics of power modulated microwave plasma jet. Plasma Sources Sci. Technol. 2017, 26, 025010. [Google Scholar] [CrossRef]
- Voráč, J.; Synek, P.; Procházka, V.; Hoder, T. State-by-state emission spectra fitting for non-equilibrium plasmas: OH spectra of surface barrier discharge at argon/water interface. J. Phys. D Appl. Phys. 2017, 50, 294002. [Google Scholar] [CrossRef]
- Verreycken, T.; Bruggeman, P.J. OH Dynamics in a Nanosecond Pulsed Plasma Filament in Atmospheric Pressure He–H2O upon the Addition of O2. Plasma Chem Plasma Process 2014, 34, 605–619. [Google Scholar] [CrossRef]
- Deng, G.; Jin, Q.; Yin, S.; Zheng, C.; Liu, Z.; Yan, K. Experimental study on bacteria disinfection using a pulsed cold plasma jet with helium/oxygen mixed gas. Plasma Sci. Technol. 2018, 20, 115503. [Google Scholar] [CrossRef] [Green Version]
- Lambert, J.D. Vibration–vibration energy transfer in gaseous collisions. Q. Rev. Chem. Soc. 1967, 21, 67–78. [Google Scholar] [CrossRef]
- Smith, R.R.; Killelea, D.R.; DelSesto, D.F.; Utz, A.L. Preference for Vibrational over Translational Energy in a Gas-Surface Reaction. Science 2004, 304, 992–995. [Google Scholar] [CrossRef]
- Wang, R.; Xu, H.; Zhao, Y.; Zhu, W.; Ostrikov, K.K.; Shao, T. Effect of dielectric and conductive targets on plasma jet behaviour and thin film properties. J. Phys. D Appl. Phys. 2018, 52, 074002. [Google Scholar] [CrossRef]
- Nascimento, F.d.; Moshkalev, S.; Machida, M. The role of vibrational temperature variations in a pulsed dielectric barrier discharge plasma device. Contrib. Plasma Phys. 2020, 60, e202000046. [Google Scholar] [CrossRef]







Publisher’s Note: MDPI stays neutral with regard to jurisdictional claims in published maps and institutional affiliations. |
© 2021 by the authors. Licensee MDPI, Basel, Switzerland. This article is an open access article distributed under the terms and conditions of the Creative Commons Attribution (CC BY) license (https://creativecommons.org/licenses/by/4.0/).
Share and Cite
Nascimento, F.; Petroski, K.; Kostov, K. Effects of O2 Addition on the Discharge Parameters and Production of Reactive Species of a Transferred Atmospheric Pressure Plasma Jet. Appl. Sci. 2021, 11, 6311. https://doi.org/10.3390/app11146311
Nascimento F, Petroski K, Kostov K. Effects of O2 Addition on the Discharge Parameters and Production of Reactive Species of a Transferred Atmospheric Pressure Plasma Jet. Applied Sciences. 2021; 11(14):6311. https://doi.org/10.3390/app11146311
Chicago/Turabian StyleNascimento, Fellype, Kleber Petroski, and Konstantin Kostov. 2021. "Effects of O2 Addition on the Discharge Parameters and Production of Reactive Species of a Transferred Atmospheric Pressure Plasma Jet" Applied Sciences 11, no. 14: 6311. https://doi.org/10.3390/app11146311
APA StyleNascimento, F., Petroski, K., & Kostov, K. (2021). Effects of O2 Addition on the Discharge Parameters and Production of Reactive Species of a Transferred Atmospheric Pressure Plasma Jet. Applied Sciences, 11(14), 6311. https://doi.org/10.3390/app11146311

