What Is the Impact of a CAM Impingement on the Gait Cycle in Patients with Progressive Osteoarthritis of the Hip?
Abstract
:1. Introduction
2. Materials and Methods
- end-stage, therapy-resistant osteoarthritis of the hip in patients with ages between 18 and 75 years on the day of surgery;
- no deficiency in the motoric and neurologic function of the lower extremity, documented by the preoperative clinical examination.
- cardiovascular disease as contraindication for physical exercise, e.g., cardiac insufficiency (NYHA class IV);
- intake of drugs affecting the patient’s balance;
- changes in balance and sensitivity affecting the lower extremity due to diseases such as Ménière’s disease, complete loss of eyesight, polyneuropathy, multiple sclerosis;
- previous bony surgery on the affected hip;
- arthrodesis or replacement of the knee or ankle joint.
2.1. Gait Cycle Analysis
2.2. Statistics
3. Results
3.1. Heel Strike
3.2. Toe off
4. Discussion
5. Conclusions
Author Contributions
Funding
Institutional Review Board Statement
Informed Consent Statement
Data Availability Statement
Conflicts of Interest
References
- Bijlsma, J.W.; Berenbaum, F.; Lafeber, F.P. Osteoarthritis: An update with relevance for clinical practice. Lancet 2011, 377, 2115–2126. [Google Scholar] [CrossRef]
- Bennett, D.; Ogonda, L.; Elliott, D.; Humphreys, L.; Beverland, D.E. Comparison of gait kinematics in patients receiving minimally invasive and traditional hip replacement surgery: A prospective blinded study. Gait Posture 2006, 23, 374–382. [Google Scholar] [CrossRef] [PubMed]
- Foucher, K.C.; Schlink, B.R.; Shakoor, N.; Wimmer, M.A. Sagittal plane hip motion reversals during walking are associated with disease severity and poorer function in subjects with hip osteoarthritis. J. Biomech. 2012, 45, 1360–1365. [Google Scholar] [CrossRef] [PubMed]
- Tanaka, R.; Shigematsu, M.; Motooka, T.; Mawatari, M.; Hotokebuchi, T. Factors influencing the improvement of gait ability after total hip arthroplasty. J. Arthroplasty 2010, 25, 982–985. [Google Scholar] [CrossRef]
- Mariconda, M.; Galasso, O.; Costa, G.G.; Recano, P.; Cerbasi, S. Quality of life and functionality after total hip arthroplasty: A long-term follow-up study. BMC Musculoskelet Disord. 2011, 12, 222. [Google Scholar] [CrossRef] [Green Version]
- Ganz, R.; Leunig, M.; Leunig-Ganz, K.; Harris, W.H. The etiology of osteoarthritis of the hip: An integrated mechanical concept. Clin. Orthop. Relat. Res. 2008, 466, 264–272. [Google Scholar] [CrossRef] [Green Version]
- Ganz, R.; Parvizi, J.; Beck, M.; Leunig, M.; Notzli, H.; Siebenrock, K.A. Femoroacetabular impingement: A cause for osteoarthritis of the hip. Clin. Orthop. Relat. Res. 2003, 112–120. [Google Scholar] [CrossRef]
- Philippon, M.J.; Maxwell, R.B.; Johnston, T.L.; Schenker, M.; Briggs, K.K. Clinical presentation of femoroacetabular impingement. Knee Surg. Sports Traumatol. Arthrosc. 2007, 15, 1041–1047. [Google Scholar] [CrossRef]
- Byrd, J.W. Femoroacetabular impingement in athletes, part 1: Cause and assessment. Sports Health 2010, 2, 321–333. [Google Scholar] [CrossRef]
- Kapron, A.L.; Anderson, A.E.; Peters, C.L.; Phillips, L.G.; Stoddard, G.J.; Petron, D.J.; Toth, R.; Aoki, S.K. Hip internal rotation is correlated to radiographic findings of cam femoroacetabular impingement in collegiate football players. Arthroscopy 2012, 28, 1661–1670. [Google Scholar] [CrossRef] [PubMed]
- Farkas, G.J.; Cvetanovich, G.L.; Rajan, K.B.; Espinoza Orias, A.A.; Nho, S.J. Impact of Femoroacetabular Impingement Morphology on Gait Assessment in Symptomatic Patients. Sports Health 2015, 7, 429–436. [Google Scholar] [CrossRef] [Green Version]
- Samaan, M.A.; Schwaiger, B.J.; Gallo, M.C.; Sada, K.; Link, T.M.; Zhang, A.L.; Majumdar, S.; Souza, R.B. Joint Loading in the Sagittal Plane During Gait Is Associated With Hip Joint Abnormalities in Patients With Femoroacetabular Impingement. Am. J. Sports Med. 2017, 45, 810–818. [Google Scholar] [CrossRef]
- Catelli, D.S.; Ng, K.C.G.; Kowalski, E.; Beaule, P.E.; Lamontagne, M. Modified gait patterns due to cam FAI syndrome remain unchanged after surgery. Gait Posture 2019, 72, 135–141. [Google Scholar] [CrossRef]
- Alradwan, H.; Khan, M.; Grassby, M.H.; Bedi, A.; Philippon, M.J.; Ayeni, O.R. Gait and lower extremity kinematic analysis as an outcome measure after femoroacetabular impingement surgery. Arthroscopy 2015, 31, 339–344. [Google Scholar] [CrossRef]
- Brisson, N.; Lamontagne, M.; Kennedy, M.J.; Beaule, P.E. The effects of cam femoroacetabular impingement corrective surgery on lower-extremity gait biomechanics. Gait Posture 2013, 37, 258–263. [Google Scholar] [CrossRef]
- Notzli, H.P.; Wyss, T.F.; Stoecklin, C.H.; Schmid, M.R.; Treiber, K.; Hodler, J. The contour of the femoral head-neck junction as a predictor for the risk of anterior impingement. J. Bone Jt. Surg. Br. 2002, 84, 556–560. [Google Scholar] [CrossRef]
- Kutzner, K.P.; Freitag, T.; Donner, S.; Kovacevic, M.P.; Bieger, R. Outcome of extensive varus and valgus stem alignment in short-stem THA: Clinical and radiological analysis using EBRA-FCA. Arch. Orthop. Trauma Surg. 2017, 137, 431–439. [Google Scholar] [CrossRef] [Green Version]
- Kutzner, K.P.; Kovacevic, M.P.; Roeder, C.; Rehbein, P.; Pfeil, J. Reconstruction of femoro-acetabular offsets using a short-stem. Int. Orthop. 2015, 39, 1269–1275. [Google Scholar] [CrossRef] [PubMed] [Green Version]
- Floerkemeier, T.; Budde, S.; Lewinski, G.V.; Windhagen, H.; HurSchler, C.; Schwarze, M. Greater early migration of a short-stem total hip arthroplasty is not associated with an increased risk of osseointegration failure: 5th-year results from a prospective RSA study with 39 patients, a follow-up study. Acta Orthop. 2020, 91, 266–271. [Google Scholar] [CrossRef] [Green Version]
- Schwarze, M.; Budde, S.; von Lewinski, G.; Windhagen, H.; Keller, M.C.; Seehaus, F.; Hurschler, C.; Floerkemeier, T. No effect of conventional vs. minimally invasive surgical approach on clinical outcome and migration of a short stem total hip prosthesis at 2-year follow-up: A randomized controlled study. Clin. Biomech. 2018, 51, 105–112. [Google Scholar] [CrossRef] [PubMed]
- Kadaba, M.P.; Ramakrishnan, H.K.; Wootten, M.E.; Gainey, J.; Gorton, G.; Cochran, G.V. Repeatability of kinematic, kinetic, and electromyographic data in normal adult gait. J. Orthop. Res. 1989, 7, 849–860. [Google Scholar] [CrossRef] [PubMed]
- Rutherford, D.J.; Moreside, J.; Wong, I. Differences in Hip Joint Biomechanics and Muscle Activation in Individuals With Femoroacetabular Impingement Compared With Healthy, Asymptomatic Individuals: Is Level-Ground Gait Analysis Enough? Orthop. J. Sports. Med. 2018, 6. [Google Scholar] [CrossRef] [PubMed]
- Diamond, L.E.; Wrigley, T.V.; Bennell, K.L.; Hinman, R.S.; O’Donnell, J.; Hodges, P.W. Hip joint biomechanics during gait in people with and without symptomatic femoroacetabular impingement. Gait Posture 2016, 43, 198–203. [Google Scholar] [CrossRef] [Green Version]
- Ng, K.C.G.; Mantovani, G.; Modenese, L.; Beaule, P.E.; Lamontagne, M. Altered Walking and Muscle Patterns Reduce Hip Contact Forces in Individuals With Symptomatic Cam Femoroacetabular Impingement. Am. J. Sports Med. 2018, 46, 2615–2623. [Google Scholar] [CrossRef] [PubMed]
- Kennedy, M.J.; Lamontagne, M.; Beaule, P.E. Femoroacetabular impingement alters hip and pelvic biomechanics during gait Walking biomechanics of FAI. Gait Posture 2009, 30, 41–44. [Google Scholar] [CrossRef]
- Catelli, D.S.; Kowalski, E.; Beaule, P.E.; Smit, K.; Lamontagne, M. Asymptomatic Participants With a Femoroacetabular Deformity Demonstrate Stronger Hip Extensors and Greater Pelvis Mobility During the Deep Squat Task. Orthop. J. Sports Med. 2018, 6. [Google Scholar] [CrossRef] [Green Version]
- Shrier, I.; Platt, R.W. Reducing bias through directed acyclic graphs. BMC Med. Res. Methodol. 2008, 8, 70. [Google Scholar] [CrossRef] [Green Version]





| Mean ± SD | −cam (n = 22) | +cam (n = 33) | 95% CI |
|---|---|---|---|
| Age | 59.5 ± 8.2 | 56.7 ± 8.5 | −1.8; 7.4 |
| BMI | 28.3 ± 6.1 | 26.6 ± 3.1 | −1.2; 4.5 |
| Gender (♂/♀) | 10/12 | 21/12 | >0.05 |
| Approach (Lat./Ant.-lat.) | 8/14 | 19/14 | >0.05 |
| Offset preop. | 44.9 ± 10.1 | 47.7 ± 6.4 | −7.2; 1.8 |
| Offset 12M FU | 52.6 ± 7.8 | 54.0 ± 7.5 | −5.7; 2.8 |
| difference offset | 7.7 ± 6.6 | 6.2 ± 6.5 | −2.1; 5.1 |
| CCD preop. | 131.8 ± 9.7 | 130.7 ± 5.2 | −1.0; 7.2 |
| CCD 12M FU | 130.9 ± 5.9 | 130.8 ± 4.6 | −2.8; 2.9 |
| Difference CCD | −0.9 ± 6.9 | 0.09 ± 5.7 | −5.5; 1.6 |
| HHS preop. | 51.7 ± 11.9 | 53.7 ± 11.4 | −8.4; 4.4 |
| HHS 12M FU | 95.7 ± 7.0 | 94.6 ± 9.9 | −3.9; 6.1 |
| Difference HHS | 43.6 ± 13.9 | 42.9 ± 15.8 | −7.8; 9.2 |
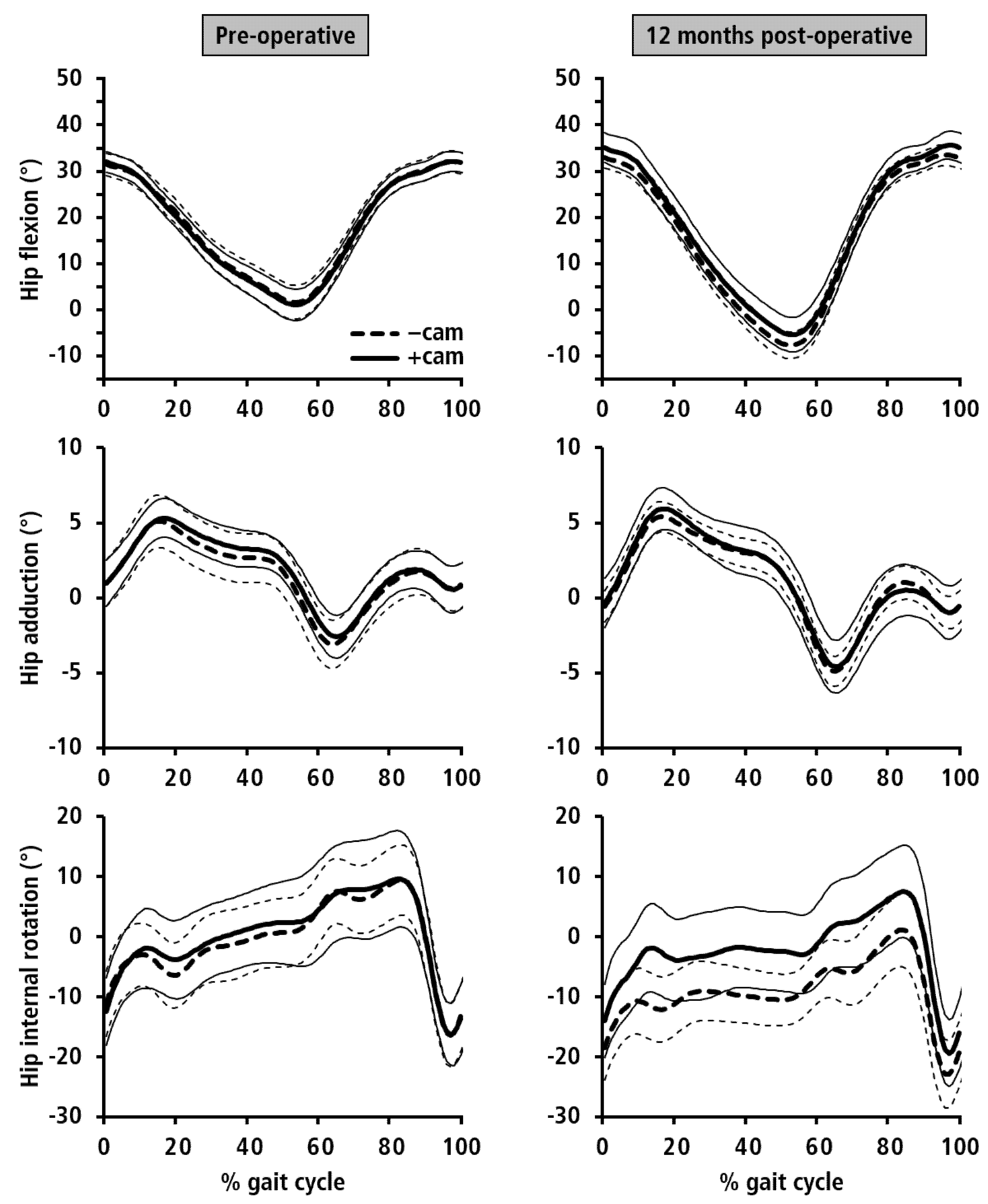
| Heel Strike | −cam | +cam | Difference −/+cam | 95% CI |
|---|---|---|---|---|
| Hip sag. preop. | 32.9 ± 6.2 | 30.5 ± 5.7 | 2.4 | −0.89; 5.7 |
| Hip sag. 12 M FU | 34.6 ± 7.8 | 33.5 ± 6.2 | 1.1 | −3.0; 5.0 |
| difference preop. − 12 M | 1.7 ± 10.7 | 3.1 ± 7.9 | 1.4 | −6.4; 3.7 |
| Hip front. preop. | 1.7 ± 3.0 | 0.01 ± 4.2 | 1.69 | −0.42; 3.8 |
| Hip front. 12 M FU | −1.1 ± 3.1 | −0.05 ± 3.6 | 1.05 | −3.0; 0.8 |
| difference preop. − 12 M | −2.8 ± 4.1 | −0.06 ± 3.6 | 2.74 | −4.9; −0.66 |
| Hip trans. preop. | −12.1 ± 16.2 | −10.8 ± 11.7 | 1.3 | −8.8; 6.2 |
| Hip trans. 12 M FU | −18.1 ± 17.0 | −15.8 ± 11.5 | 2.3 | −9.9; 5.4 |
| difference preop. − 12 M | −5.9 ± 22.2 | −5.0 ± 10.6 | 0.9 | −9.9; 8.0 |
| Toe off | −cam | +cam | Difference −/+cam | 95% CI |
|---|---|---|---|---|
| Hip sag. preop. | 2.2 ± 7.8 | 2.1 ± 10.2 | 0.1 | −5.1; 5.2 |
| Hip sag. 12 M FU | −3.2 ± 9.1 | −6.3 ± 8.0 | 3.1 | −1.6; 7.7 |
| Difference preop. − 12 M | −5.4 ± 10.3 | −8.4 ± 8.8 | 3.0 | −2.2; 8.2 |
| Hip front. preop. | −0.7 ± 2.9 | −1.1 ± 4.5 | 0.4 | −1.8; 2.5 |
| Hip front. 12 M FU | −1.2 ± 4.1 | −1.1 ± 2.8 | 0.1 | −2.0; 1.7 |
| Difference preop. − 12 M | −0.5 ± 3.8 | 0.02 ± 4.5 | 0.51 | −2.8; 1.8 |
| Hip trans. preop. | 3.0 ± 17.4 | 2.1 ± 15.7 | 0.9 | −8.2; 9.9 |
| Hip trans. 12 M FU | −4.0 ± 14.7 | −8.2 ± 10.7 | 4.2 | −2.8; 11.0 |
| Difference preop. − 12 M | −7.0 ± 18.5 | −10.3 ± 18.0 | 3.3 | −6.8; 13.3 |
Publisher’s Note: MDPI stays neutral with regard to jurisdictional claims in published maps and institutional affiliations. |
© 2021 by the authors. Licensee MDPI, Basel, Switzerland. This article is an open access article distributed under the terms and conditions of the Creative Commons Attribution (CC BY) license (https://creativecommons.org/licenses/by/4.0/).
Share and Cite
Franken, E.; Floerkemeier, T.; Jakubowitz, E.; Derksen, A.; Budde, S.; Windhagen, H.; Wirries, N. What Is the Impact of a CAM Impingement on the Gait Cycle in Patients with Progressive Osteoarthritis of the Hip? Appl. Sci. 2021, 11, 6024. https://doi.org/10.3390/app11136024
Franken E, Floerkemeier T, Jakubowitz E, Derksen A, Budde S, Windhagen H, Wirries N. What Is the Impact of a CAM Impingement on the Gait Cycle in Patients with Progressive Osteoarthritis of the Hip? Applied Sciences. 2021; 11(13):6024. https://doi.org/10.3390/app11136024
Chicago/Turabian StyleFranken, Eike, Thilo Floerkemeier, Eike Jakubowitz, Alexander Derksen, Stefan Budde, Henning Windhagen, and Nils Wirries. 2021. "What Is the Impact of a CAM Impingement on the Gait Cycle in Patients with Progressive Osteoarthritis of the Hip?" Applied Sciences 11, no. 13: 6024. https://doi.org/10.3390/app11136024
APA StyleFranken, E., Floerkemeier, T., Jakubowitz, E., Derksen, A., Budde, S., Windhagen, H., & Wirries, N. (2021). What Is the Impact of a CAM Impingement on the Gait Cycle in Patients with Progressive Osteoarthritis of the Hip? Applied Sciences, 11(13), 6024. https://doi.org/10.3390/app11136024

