Structure-Property Relation of Trimethyl Ammonium Ionic Liquids for Battery Applications
Abstract
Featured Application
Abstract
1. Introduction
2. Materials and Methods
2.1. Synthesis of the Ionic Liquids
2.2. Thermal Transitions
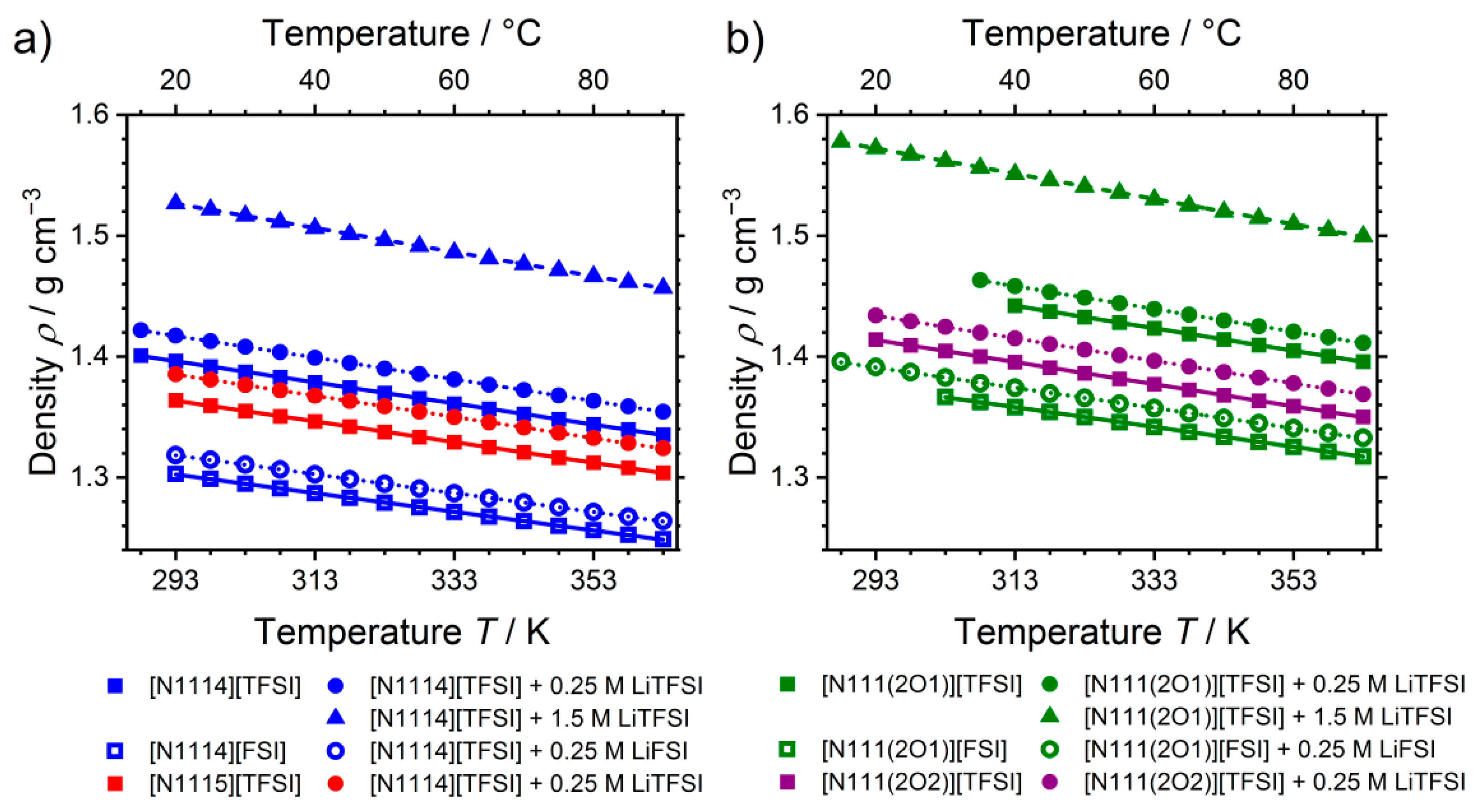
2.3. Density
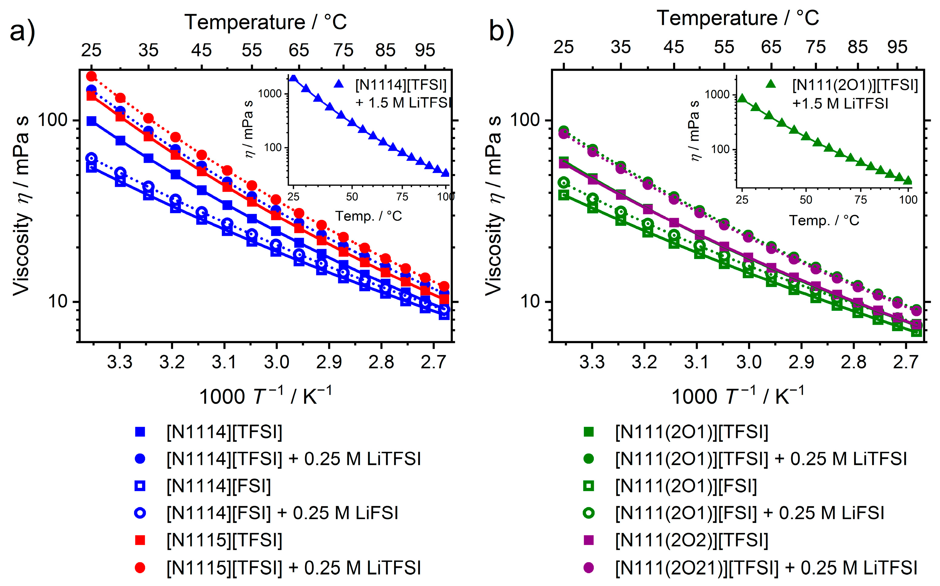
2.4. Viscosity
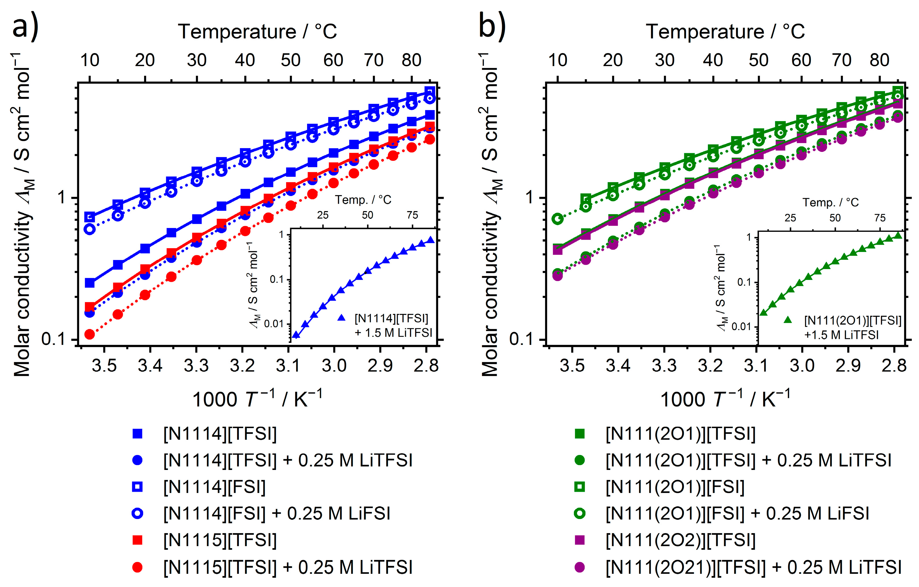
2.5. Conductivity
2.6. Self-Diffusion Coefficients
2.7. Fitting of the Transport Properties
2.8. Electrochemistry
2.9. IR Spectroscopy
3. Results and Discussion
3.1. Molecular Structure, Thermal Properties and Density
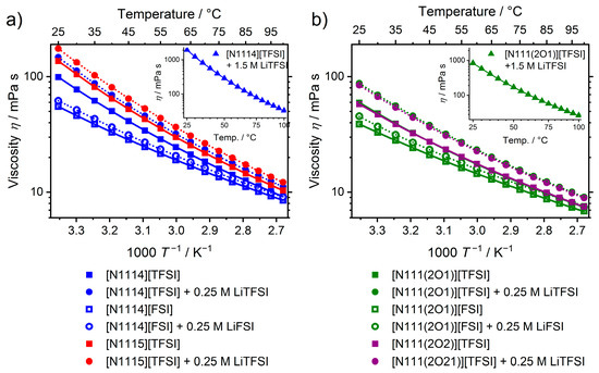
3.2. Viscosity
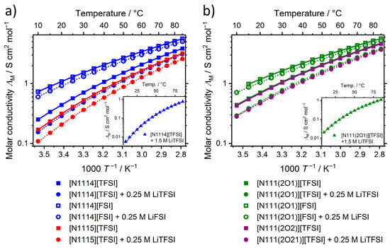
3.3. Conductivity
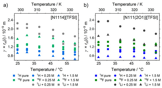
3.4. Self-Diffusion Coefficients
3.5. Linear Sweep Voltammetry and Application in Li-ion Based Half-Cells
4. Conclusions
Supplementary Materials
Author Contributions
Funding
Institutional Review Board Statement
Informed Consent Statement
Data Availability Statement
Acknowledgments
Conflicts of Interest
References
- Welton, T. Ionic liquids: A brief history. Biophys. Rev. 2018, 10, 691–706. [Google Scholar] [CrossRef]
- Singh, S.; Savoy, A.W. Ionic liquids synthesis and applications: An overview. J. Mol. Liq. 2020, 297, 112038. [Google Scholar] [CrossRef]
- Watanabe, M.; Thomas, M.L.; Zhang, S.; Ueno, K.; Yasuda, T.; Dokko, K. Application of Ionic Liquids to Energy Storage and Conversion Materials and Devices. Chem. Rev. 2017, 117, 7190–7239. [Google Scholar] [CrossRef] [PubMed]
- Gao, X.; Wu, F.; Mariani, A.; Passerini, S. Concentrated Ionic-Liquid-Based Electrolytes for High-Voltage Lithium Batteries with Improved Performance at Room Temperature. ChemSusChem 2019, 12, 4185–4193. [Google Scholar] [CrossRef] [PubMed]
- Yang, Q.; Zhang, Z.; Sun, X.-G.; Hu, Y.-S.; Xing, H.; Dai, S. Ionic liquids and derived materials for lithium and sodium batteries. Chem. Soc. Rev. 2018, 47, 2020–2064. [Google Scholar] [CrossRef]
- Navarra, M.A. Ionic liquids as safe electrolyte components for Li-metal and Li-ion batteries. MRS Bull. 2013, 38, 548–553. [Google Scholar] [CrossRef]
- Hofmann, A.; Schulz, M.; Indris, S.; Heinzmann, R.; Hanemann, T. Mixtures of Ionic Liquid and Sulfolane as Electrolytes for Li-Ion Batteries. Electrochim. Acta 2014, 147, 704–711. [Google Scholar] [CrossRef]
- Tsurumaki, A.; Agostini, M.; Poiana, R.; Lombardo, L.; Lufrano, E.; Simari, C.; Matic, A.; Nicotera, I.; Panero, S.; Navarra, M.A. Enhanced safety and galvanostatic performance of high voltage lithium batteries by using ionic liquids. Electrochim. Acta 2019, 316, 1–7. [Google Scholar] [CrossRef]
- Wilken, S.; Xiong, S.; Scheers, J.; Jacobsson, P.; Johansson, P. Ionic liquids in lithium battery electrolytes: Composition versus safety and physical properties. J. Power Sources 2015, 275, 935–942. [Google Scholar] [CrossRef]
- Osada, I.; De Vries, H.; Scrosati, B.; Passerini, S. Ionic-Liquid-Based Polymer Electrolytes for Battery Applications. Angew. Chem. Int. Ed. 2016, 55, 500–513. [Google Scholar] [CrossRef]
- Sano, H.; Kitta, M.; Shikano, M.; Matsumoto, H. Effect of Temperature on Li Electrodeposition Behavior in Room-Temperature Ionic Liquids Comprising Quaternary Ammonium Cation. J. Electrochem. Soc. 2019, 166, A2973–A2979. [Google Scholar] [CrossRef]
- Ruether, T.; Bhatt, A.I.; Best, A.S.; Harris, K.R.; Hollenkamp, A.F. Electrolytes for Lithium (Sodium) Batteries Based on Ionic Liquids: Highlighting the Key Role Played by the Anion. Batter. Supercaps 2020, 3, 793–827. [Google Scholar] [CrossRef]
- Jeong, S.; Li, S.; Appetecchi, G.B.; Passerini, S. Asymmetric ammonium-based ionic liquids as electrolyte components for safer, high-energy, electrochemical storage devices. Energy Storage Mater. 2019, 18, 1–9. [Google Scholar] [CrossRef]
- Shkrob, I.A.; Marin, T.W.; Zhu, Y.; Abraham, D.P. Why Bis(fluorosulfonyl)imide Is a “Magic Anion” for Electrochemistry. J. Phys. Chem. C 2014, 118, 19661–19671. [Google Scholar] [CrossRef]
- Hayamizu, K.; Tsuzuki, S.; Seki, S. Transport and Electrochemical Properties of Three Quaternary Ammonium Ionic Liquids and Lithium Salts Doping Effects Studied by NMR Spectroscopy. J. Chem. Eng. Data 2014, 59, 1944–1954. [Google Scholar] [CrossRef]
- Balducci, A. Ionic Liquids in Lithium-Ion Batteries. Top. Curr. Chem. 2017, 375, 20. [Google Scholar] [CrossRef]
- Xiao, J. How lithium dendrites form in liquid batteries. Science 2019, 366, 426–427. [Google Scholar] [CrossRef]
- Xu, W.; Wang, J.; Ding, F.; Chen, X.; Nasybulin, E.N.; Zhang, Y.; Zhang, J.-G. Lithium metal anodes for rechargeable batteries. Energy Environ. Sci. 2014, 7, 513–537. [Google Scholar] [CrossRef]
- Cheng, X.-B.; Zhang, R.; Zhao, C.-Z.; Zhang, Q. Toward Safe Lithium Metal Anode in Rechargeable Batteries: A Review. Chem. Rev. 2017, 117, 10403–10473. [Google Scholar] [CrossRef]
- Liu, K.; Wang, Z.; Shi, L.; Jungsuttiwong, S.; Yuan, S. Ionic liquids for high performance lithium metal batteries. J. Energy Chem. 2021, 59, 320–333. [Google Scholar] [CrossRef]
- Liu, B.; Zhang, J.-G.; Xu, W. Advancing Lithium Metal Batteries. Joule 2018, 2, 833–845. [Google Scholar] [CrossRef]
- Tikekar, M.D.; Choudhury, S.; Tu, Z.; Archer, L.A. Design principles for electrolytes and interfaces for stable lithium-metal batteries. Nat. Energy 2016, 1, 16114. [Google Scholar] [CrossRef]
- Hu, M.; Pang, X.; Zhou, Z. Recent progress in high-voltage lithium ion batteries. J. Power Sources 2013, 237, 229–242. [Google Scholar] [CrossRef]
- Xu, W.; Cooper, E.I.; Angell, C.A. Ionic Liquids: Ion Mobilities, Glass Temperatures, and Fragilities. J. Phys. Chem. B 2003, 107, 6170–6178. [Google Scholar] [CrossRef]
- Wang, X.; Chi, Y.; Mu, T. A review on the transport properties of ionic liquids. J. Mol. Liq. 2014, 193, 262–266. [Google Scholar] [CrossRef]
- Harris, K.R.; Kanakubo, M. Self-Diffusion Coefficients and Related Transport Properties for a Number of Fragile Ionic Liquids. J. Chem. Eng. Data 2016, 61, 2399–2411. [Google Scholar] [CrossRef]
- Sippel, P.; Lunkenheimer, P.; Krohns, S.; Thoms, E.; Loidl, A. Importance of liquid fragility for energy applications of ionic liquids. Sci. Rep. 2015, 5, 13922. [Google Scholar] [CrossRef] [PubMed]
- Green, S.M.; Ries, M.E.; Moffat, J.; Budtova, T. NMR and Rheological Study of Anion Size Influence on the Properties of Two Imidazolium-based Ionic Liquids. Sci. Rep. 2017, 7, 1–12. [Google Scholar] [CrossRef] [PubMed]
- Calvar, N.; Domínguez, Á. Thermal Behaviour of Pure Ionic Liquids. In Ionic Liquids Current State of the Art; IntechOpen: London, UK, 2015; pp. 199–208. [Google Scholar]
- Girard, G.M.A.; Hilder, M.; Zhu, H.; Nucciarone, D.; Whitbread, K.; Zavorine, S.; Moser, M.; Forsyth, M.; MacFarlane, D.R.; Howlett, P.C. Electrochemical and physicochemical properties of small phosphonium cation ionic liquid electrolytes with high lithium salt content. Phys. Chem. Chem. Phys. 2015, 17, 8706–8713. [Google Scholar] [CrossRef]
- Le, M.L.P.; Tran, N.A.; Ngo, H.P.K.; Nguyen, T.G.; Tran, V.M. Liquid Electrolytes Based on Ionic Liquids for Lithium-Ion Batteries. J. Solut. Chem. 2015, 44, 2332–2343. [Google Scholar] [CrossRef]
- Galiński, M.; Lewandowski, A.; Stępniak, I. Ionic liquids as electrolytes. Electrochimica Acta 2006, 51, 5567–5580. [Google Scholar] [CrossRef]
- Sangoro, J.R.; Kremer, F. Charge Transport and Glassy Dynamics in Ionic Liquids. Accounts Chem. Res. 2012, 45, 525–532. [Google Scholar] [CrossRef]
- Armel, V.; Velayutham, D.; Sun, J.; Howlett, P.C.; Forsyth, M.; Macfarlane, D.R.; Pringle, J.M. Ionic liquids and organic ionic plastic crystals utilizing small phosphonium cations. J. Mater. Chem. 2011, 21, 7640–7650. [Google Scholar] [CrossRef]
- Yunis, R.; Al-Masri, D.; Hollenkamp, A.F.; Doherty, C.M.; Zhu, H.; Pringle, J.M. Plastic Crystals Utilising Small Ammonium Cations and Sulfonylimide Anions as Electrolytes for Lithium Batteries. J. Electrochem. Soc. 2020, 167, 070529. [Google Scholar] [CrossRef]
- Philippi, F.; Rauber, D.; Zapp, J.; Präsang, C.; Scheschkewitz, D.; Hempelmann, R. Multiple Ether-Functionalized Phosphonium Ionic Liquids as Highly Fluid Electrolytes. ChemPhysChem 2019, 20, 443–455. [Google Scholar] [CrossRef]
- Philippi, F.; Rauber, D.; Kuttich, B.; Kraus, T.; Kay, C.W.M.; Hempelmann, R.; Hunt, P.A.; Welton, T. Ether functionalisation, ion conformation and the optimisation of macroscopic properties in ionic liquids. Phys. Chem. Chem. Phys. 2020, 22, 23038–23056. [Google Scholar] [CrossRef]
- Martinelli, A.; Matic, A.; Jacobsson, P.; Börjesson, L.; Fernicola, A.; Scrosati, B. Phase Behavior and Ionic Conductivity in Lithium Bis(trifluoromethanesulfonyl)imide-Doped Ionic Liquids of the Pyrrolidinium Cation and Bis(trifluoromethanesulfonyl)imide Anion. J. Phys. Chem. B 2009, 113, 11247–11251. [Google Scholar] [CrossRef] [PubMed]
- Bayley, P.M.; Best, A.S.; Macfarlane, D.R.; Forsyth, M. Transport Properties and Phase Behaviour in Binary and Ternary Ionic Liquid Electrolyte Systems of Interest in Lithium Batteries. ChemPhysChem 2011, 12, 823–827. [Google Scholar] [CrossRef] [PubMed]
- Kerner, M.; Plylahan, N.; Scheers, J.; Johansson, P. Ionic liquid based lithium battery electrolytes: Fundamental benefits of utilising both TFSI and FSI anions? Phys. Chem. Chem. Phys. 2015, 17, 19569–19581. [Google Scholar] [CrossRef]
- Angell, C. Perspective on the glass transition. J. Phys. Chem. Solids 1988, 49, 863–871. [Google Scholar] [CrossRef]
- Araque, J.C.; Hettige, J.J.; Margulis, C.J. Modern Room Temperature Ionic Liquids, a Simple Guide to Understanding Their Structure and How It May Relate to Dynamics. J. Phys. Chem. B 2015, 119, 12727–12740. [Google Scholar] [CrossRef] [PubMed]
- Tsuzuki, S.; Hayamizu, K.; Seki, S. Origin of the Low-Viscosity of [emim][(FSO2)2N] Ionic Liquid and Its Lithium Salt Mixture: Experimental and Theoretical Study of Self-Diffusion Coefficients, Conductivities, and Intermolecular Interactions. J. Phys. Chem. B 2010, 114, 16329–16336. [Google Scholar] [CrossRef]
- Triolo, A.; Russina, O.; Caminiti, R.; Shirota, H.; Lee, H.Y.; Santos, C.S.; Murthy, N.S.; Castner, J.E.W. Comparing intermediate range order for alkyl- vs. ether-substituted cations in ionic liquids. Chem. Commun. 2012, 48, 4959–4961. [Google Scholar] [CrossRef]
- Russina, O.; Triolo, A.; Gontrani, L.; Caminiti, R.; Xiao, D.; Jr, L.G.H.; A Bartsch, R.; Quitevis, E.L.; Pleckhova, N.; Seddon, K.R. Morphology and intermolecular dynamics of 1-alkyl-3-methylimidazolium bis{(trifluoromethane)sulfonyl}amide ionic liquids: Structural and dynamic evidence of nanoscale segregation. J. Physics Condens. Matter 2009, 21, 424121. [Google Scholar] [CrossRef]
- Shimizu, K.; Bernardes, C.E.S.; Triolo, A.; Lopes, J.N.C. Nano-segregation in ionic liquids: Scorpions and vanishing chains. Phys. Chem. Chem. Phys. 2013, 15, 16256–16262. [Google Scholar] [CrossRef] [PubMed]
- Chen, Z.; Huo, Y.; Cao, J.; Xu, L.; Zhang, S. Physicochemical Properties of Ether-Functionalized Ionic Liquids: Understanding Their Irregular Variations with the Ether Chain Length. Ind. Eng. Chem. Res. 2016, 55, 11589–11596. [Google Scholar] [CrossRef]
- Hayamizu, K.; Tsuzuki, S.; Seki, S.; Ohno, Y.; Miyashiro, H.; Kobayashi, Y. Quaternary Ammonium Room-Temperature Ionic Liquid Including an Oxygen Atom in Side Chain/Lithium Salt Binary Electrolytes: Ionic Conductivity and1H,7Li, and19F NMR Studies on Diffusion Coefficients and Local Motions. J. Phys. Chem. B 2008, 112, 1189–1197. [Google Scholar] [CrossRef] [PubMed]
- Castiglione, F.; Famulari, A.; Raos, G.; Meille, S.V.; Mele, A.; Appetecchi, G.B.; Passerini, S. Pyrrolidinium-Based Ionic Liquids Doped with Lithium Salts: How Does Li+ Coordination Affect Its Diffusivity? J. Phys. Chem. B 2014, 118, 13679–13688. [Google Scholar] [CrossRef]
- Schreiner, C.; Zugmann, S.; Hartl, R.; Gores, H.J. Temperature Dependence of Viscosity and Specific Conductivity of Fluoroborate-Based Ionic Liquids in Light of the Fractional Walden Rule and Angell’s Fragility Concept†. J. Chem. Eng. Data 2010, 55, 4372–4377. [Google Scholar] [CrossRef]
- Rüther, T.; Kanakubo, M.; Best, A.S.; Harris, K.R. The importance of transport property studies for battery electrolytes: Revisiting the transport properties of lithium–N-methyl-N-propylpyrrolidinium bis(fluorosulfonyl)imide mixtures. Phys. Chem. Chem. Phys. 2017, 19, 10527–10542. [Google Scholar] [CrossRef]
- Harris, K.R. On the Use of the Angell–Walden Equation To Determine the “Ionicity” of Molten Salts and Ionic Liquids. J. Phys. Chem. B 2019, 123, 7014–7023. [Google Scholar] [CrossRef]
- Giffin, G.A.; Moretti, A.; Jeong, S.; Pilar, K.; Brinkkötter, M.; Greenbaum, S.G.; Schönhoff, M.; Passerini, S.; Brinkkoetter, M.; Greenbaum, S.; et al. Connection between Lithium Coordination and Lithium Diffusion in [Pyr 12O1 ][FTFSI] Ionic Liquid Electrolytes. ChemSusChem 2018, 11, 1981–1989. [Google Scholar] [CrossRef]
- Shimizu, M.; Yamaguchi, K.; Usui, H.; Ieuji, N.; Yamashita, T.; Komura, T.; Domi, Y.; Nokami, T.; Itoh, T.; Sakaguchi, H. Piperidinium-Based Ionic Liquids as an Electrolyte Solvent for Li-Ion Batteries: Effect of Number and Position of Oxygen Atom in Cation Side Chain on Electrolyte Property. J. Electrochem. Soc. 2020, 167, 070516. [Google Scholar] [CrossRef]
- Yamaguchi, T.; Yonezawa, T.; Koda, S. Study on the temperature-dependent coupling among viscosity, conductivity and structural relaxation of ionic liquids. Phys. Chem. Chem. Phys. 2015, 17, 19126–19133. [Google Scholar] [CrossRef] [PubMed]
- Tokuda, H.; Hayamizu, K.; Ishii, K.; Susan, M.A.B.H.; Watanabe, M. Physicochemical Properties and Structures of Room Temperature Ionic Liquids. 2. Variation of Alkyl Chain Length in Imidazolium Cation. J. Phys. Chem. B 2005, 109, 6103–6110. [Google Scholar] [CrossRef]
- Hayamizu, K.; Tsuzuki, S.; Seki, S.; Fujii, K.; Suenaga, M.; Umebayashi, Y. Studies on the translational and rotational motions of ionic liquids composed of N-methyl-N-propyl-pyrrolidinium (P13) cation and bis(trifluoromethanesulfonyl)amide and bis(fluorosulfonyl)amide anions and their binary systems including lithium salts. J. Chem. Phys. 2010, 133, 194505. [Google Scholar] [CrossRef]
- Schmidt, J.R.; Skinner, J.L. Hydrodynamic boundary conditions, the Stokes–Einstein law, and long-time tails in the Brownian limit. J. Chem. Phys. 2003, 119, 8062–8068. [Google Scholar] [CrossRef]
- Nordness, O.; Brennecke, J.F. Ion Dissociation in Ionic Liquids and Ionic Liquid Solutions. Chem. Rev. 2020, 120, 12873–12902. [Google Scholar] [CrossRef]
- Harris, K.R. Relations between the Fractional Stokes−Einstein and Nernst−Einstein Equations and Velocity Correlation Coefficients in Ionic Liquids and Molten Salts. J. Phys. Chem. B 2010, 114, 9572–9577. [Google Scholar] [CrossRef]
- Ueno, K.; Tokuda, H.; Watanabe, M. Ionicity in ionic liquids: Correlation with ionic structure and physicochemical properties. Phys. Chem. Chem. Phys. 2010, 12, 1649–1658. [Google Scholar] [CrossRef] [PubMed]
- Tong, J.; Wu, S.; Von Solms, N.; Liang, X.; Huo, F.; Zhou, Q.; He, H.; Zhang, S. The Effect of Concentration of Lithium Salt on the Structural and Transport Properties of Ionic Liquid-Based Electrolytes. Front. Chem. 2020, 7, 1–10. [Google Scholar] [CrossRef]
- Figueiredo, P.H.; Siqueira, L.; Ribeiro, M.C.C. The Equilibrium Structure of Lithium Salt Solutions in Ether-Functionalized Ammonium Ionic Liquids. J. Phys. Chem. B 2012, 116, 12319–12324. [Google Scholar] [CrossRef] [PubMed]
- Li, Z.; Smith, G.D.; Bedrov, D. Li+ Solvation and Transport Properties in Ionic Liquid/Lithium Salt Mixtures: A Molecular Dynamics Simulation Study. J. Phys. Chem. B 2012, 116, 12801–12809. [Google Scholar] [CrossRef] [PubMed]
- Brinkkötter, M.; Mariani, A.; Jeong, S.; Passerini, S.; Schönhoff, M. Ionic Liquid in Li Salt Electrolyte: Modifying the Li + Transport Mechanism by Coordination to an Asymmetric Anion. Adv. Energy Sustain. Res. 2021, 2, 2000078. [Google Scholar] [CrossRef]
- Philippi, F.; Quinten, A.; Rauber, D.; Springborg, M.; Hempelmann, R. Density Functional Theory Descriptors for Ionic Liquids and the Introduction of a Coulomb Correction. J. Phys. Chem. A 2019, 123, 4188–4200. [Google Scholar] [CrossRef]
- Feng, G.; Chen, M.; Bi, S.; Goodwin, Z.A.H.; Postnikov, E.B.; Brilliantov, N.; Urbakh, M.; Kornyshev, A.A. Free and Bound States of Ions in Ionic Liquids, Conductivity, and Underscreening Paradox. Phys. Rev. X 2019, 9, 021024. [Google Scholar] [CrossRef]
- Lassègues, J.-C.; Grondin, J.; Aupetit, C.; Johansson, P. Spectroscopic Identification of the Lithium Ion Transporting Species in LiTFSI-Doped Ionic Liquids. J. Phys. Chem. A 2009, 113, 305–314. [Google Scholar] [CrossRef]
- Hofmann, A.; Werth, F.; Höweling, A.; Hanemann, T. Investigation of the Oxidative Stability of Li-Ion Battery Electrolytes Using Cathode Materials. ECS Electrochem. Lett. 2015, 4, A141–A144. [Google Scholar] [CrossRef]









| Ionic Liquid | /mol·dm−3 | ||||||
|---|---|---|---|---|---|---|---|
| [N1114][TFSI] | - | −30 | - | - | −103 [a]; −100 [b]; −38 [b] 9 [b] | 18 | 1.3919 |
| [N1114][TFSI] | 0.25 | - | −78 | −25 | - | 9 | 1.4173 |
| [N1114][TFSI] | 1.5 | - | −48 | −15 | - | 19 | 1.5268 |
| [N111(2O1)][TFSI] | - | −17 | - | - | - | 38 | −[c] |
| [N111(2O1)][TFSI] | 0.25 | −36 | - | - | - | 36 | −[c] |
| [N111(2O1)][TFSI] | 1.5 | - | −56 | - | - | - | 1.5725 |
| [N1114][FSI] | - | −18 | - | - | −34 [a]; −35 [b] 9 [b] | 22 | 1.3028 |
| [N1114][FSI] | 0.25 | −30 | - | - | −32 [a]; −28 [b]; 8 [b] | 15 | 1.3186 |
| [N111(2O1)][FSI] | - | 12 | - | - | - | 34 | −[c] |
| [N111(2O1)][FSI] | 0.25 | −18 | - | - | −33 [a]; −28 [b] 9 [b] | 18 | 1.3914 |
| [N1115][TFSI] | - | −17 | - | - | −2 [b]; 19 [b] | 29 | 1.3638 |
| [N1115][TFSI] | 0.25 | - | −72 | −48 | −8 [b]; 8 [b] | 17 | 1.3854 |
| [N111(2O2)][TFSI] | - | - | −83 | −66 | −55 [b] | 0 | 1.4141 |
| [N111(2O2)][TFSI] | 0.25 | - | −79 | −18 | - | −3 | 1.4341 |
| Ionic Liquid | /mol·dm−3 | ||||||
|---|---|---|---|---|---|---|---|
| [N1114][TFSI] | - | 99.2 | 1.772 | 784.9 | 174.1 | 4.51 | 32.9 |
| [N1114][TFSI] | 0.25 | 147.3 | 2.073 | 760.4 | 182.3 | 4.17 | 36.0 |
| [N1114][TFSI] | 1.5 | 1933 | 1.229 | 979.4 | 196.8 | 4.98 | 58.6 |
| [N111(2O1)][TFSI] | - | 59.6 | 2.805 | 632.7 | 180.1 | 3.51 | 29.0 |
| [N111(2O1)][TFSI] | 0.25 | 87.7 | 2.138 | 746.5 | 174.1 | 4.29 | 31.3 |
| [N111(2O1)][TFSI] | 1.5 | 833.9 | 1.675 | 926.5 | 189.3 | 4.89 | 48.9 |
| [N1114][FSI] | - | 55.1 | 2.053 | 835.4 | 148.8 | 5.61 | 25.1 |
| [N1114][FSI] | 0.25 | 62.0 | 2.183 | 819.7 | 153.1 | 5.35 | 25.9 |
| [N111(2O1)][FSI] | - | 38.9 | 1.996 | 800.9 | 146.3 | 5.47 | 23.3 |
| [N111(2O1)][FSI] | 0.25 | 45.5 | 4.502 | 550.0 | 178.8 | 3.08 | 24.7 |
| [N1115][TFSI] | - | 136.9 | 1.650 | 806.0 | 178.2 | 4.52 | 35.9 |
| [N1115][TFSI] | 0.25 | 174.8 | 1.710 | 831.0 | 178.3 | 4.66 | 37.0 |
| [N111(2O2)][TFSI] | - | 57.8 | 2.116 | 731.9 | 167.7 | 4.36 | 28.1 |
| [N111(2O2)][TFSI] | 0.25 | 84.3 | 2.124 | 745.4 | 173.6 | 4.29 | 31.0 |
| Ionic Liquid | |||||||
|---|---|---|---|---|---|---|---|
| [N1114][TFSI] | - | 0.567 | 197.2 | −719.5 | 175.3 | 4.10 | 30.6 |
| [N1114][TFSI] | 0.25 | 0.377 | 234.5 | −793.8 | 174.7 | 4.54 | 33.6 |
| [N1114][TFSI] | 1.5 | 0.025 | 199.2 | −886.2 | 199.7 | 4.44 | 55.6 |
| [N111(2O1)][TFSI] | - | 0.874 | 203.4 | −728.9 | 164.3 | 4.43 | 26.6 |
| [N111(2O1)][TFSI] | 0.25 | 0.623 | 173.6 | −711.1 | 171.8 | 4.14 | 28.8 |
| [N111(2O1)][TFSI] | 1.5 | 0.067 | 192.3 | −894.1 | 185.8 | 4.81 | 44.6 |
| [N1114][FSI] | - | 1.292 | 228.9 | −786.3 | 146.3 | 5.37 | 22.9 |
| [N1114][FSI] | 0.25 | 1.105 | 175.7 | −713.8 | 157.3 | 4.54 | 23.8 |
| [N111(2O1)][FSI] | - | 1.393 | 157.2 | −675.0 | 155.3 | 4.35 | 22.0 |
| [N111(2O1)][FSI] | 0.25 | 1.240 | 177.9 | −734.6 | 150.2 | 4.89 | 22.4 |
| [N1115][TFSI] | - | 0.409 | 177.1 | −712.4 | 180.8 | 3.94 | 32.9 |
| [N1115][TFSI] | 0.25 | 0.277 | 199.3 | −769.7 | 181.1 | 4.25 | 35.8 |
| [N111(2O2)][TFSI] | - | 0.849 | 189.4 | −713.4 | 166.1 | 4.29 | 26.7 |
| [N111(2O2)][TFSI] | 0.25 | 0.591 | 239.9 | −826.0 | 160.6 | 5.14 | 28.7 |
| Ionic Liquid | |||||
|---|---|---|---|---|---|
| [N1114][TFSI] | - | 38.8 | 38.4 | - | 38.6 |
| [N1114][TFSI] | 0.25 | 43.9 | 42.4 | 45.9 | 44.1 |
| [N1114][TFSI] | 1.5 | 70.6 | 65.2 | 73.1 | 68.7 |
| [N111(2O1)][TFSI] | - | 33.0 | 34.7 | - | 33.8 |
| [N111(2O1)][TFSI] | 0.25 | 35.6 | 40.5 | 40.4 | 40.3 |
| [N111(2O1)][TFSI] | 1.5 | 53.4 | 53.3 | 59.1 | 55.2 |
| [N1114][FSI] | - | 32.7 | 29.7 | - | 31.2 |
| [N1114][FSI] | 0.25 | 30.6 | 29.1 | 33.9 | 31.4 |
| [N111(2O1)][FSI] | - | 28.3 | 27.6 | - | 27.9 |
| [N111(2O1)][FSI] | 0.25 | 29.7 | 29.0 | 27.2 | 28.2 |
| [N1115][TFSI] | - | 43.3 | 38.8 | - | 41.0 |
| [N1115][TFSI] | 0.25 | 44.1 | 44.8 | 51.7 | 48.0 |
| [N111(2O2)][TFSI] | - | 34.5 | 33.8 | - | 34.2 |
| [N111(2O2)][TFSI] | 0.25 | 37.6 | 39.1 | 40.0 | 39.5 |
| Ionic Liquid | Tangent Approach | Lithium Plating | |||||
|---|---|---|---|---|---|---|---|
| [N1114][TFSI] | - | >6.5 | 5.5 | - | - | - | - |
| [N1114][TFSI] | 0.25 | 5.5 | 5.2 | 100 | 100 | 84 | yes |
| [N1114][TFSI] | 1.5 | 5.5 | 5.3 | - | - | - | - |
| [N111(2O1)][TFSI] | - | >6.5 | >6.5 | - | - | - | - |
| [N111(2O1)][TFSI] | 0.25 | >6.5 | 6.2 | 100 | 99 | 100 | yes |
| [N111(2O1)][TFSI] | 1.5 | 5.4 | 5.1 | - | - | - | - |
| [N1114][FSI] | - | 6.2 | 4.9 | - | - | - | - |
| [N1114][FSI] | 0.25 | 5.3 | 4.5 | 86 | n.a. | 98 | yes |
| [N111(2O1)][FSI] | - | 6.2 | 5.5 | - | - | - | - |
| [N111(2O1)][FSI] | 0.25 | 6.4 | 4.5 | n.a. | n.a | n.a. | yes |
| [N1115][TFSI] | - | >6.5 | 5.4 | - | - | - | - |
| [N1115][TFSI] | 0.25 | 5.5 | 5.0 | 99 | 100 | 64 | yes |
| [N111(2O2)][TFSI] | - | 5.2 | 5.6 | - | - | - | - |
| [N111(2O2)][TFSI] | 0.25 | 5.3 | 5.2 | 99 | 95 | 86 | yes |
Publisher’s Note: MDPI stays neutral with regard to jurisdictional claims in published maps and institutional affiliations. |
© 2021 by the authors. Licensee MDPI, Basel, Switzerland. This article is an open access article distributed under the terms and conditions of the Creative Commons Attribution (CC BY) license (https://creativecommons.org/licenses/by/4.0/).
Share and Cite
Rauber, D.; Hofmann, A.; Philippi, F.; Kay, C.W.M.; Zinkevich, T.; Hanemann, T.; Hempelmann, R. Structure-Property Relation of Trimethyl Ammonium Ionic Liquids for Battery Applications. Appl. Sci. 2021, 11, 5679. https://doi.org/10.3390/app11125679
Rauber D, Hofmann A, Philippi F, Kay CWM, Zinkevich T, Hanemann T, Hempelmann R. Structure-Property Relation of Trimethyl Ammonium Ionic Liquids for Battery Applications. Applied Sciences. 2021; 11(12):5679. https://doi.org/10.3390/app11125679
Chicago/Turabian StyleRauber, Daniel, Andreas Hofmann, Frederik Philippi, Christopher W. M. Kay, Tatiana Zinkevich, Thomas Hanemann, and Rolf Hempelmann. 2021. "Structure-Property Relation of Trimethyl Ammonium Ionic Liquids for Battery Applications" Applied Sciences 11, no. 12: 5679. https://doi.org/10.3390/app11125679
APA StyleRauber, D., Hofmann, A., Philippi, F., Kay, C. W. M., Zinkevich, T., Hanemann, T., & Hempelmann, R. (2021). Structure-Property Relation of Trimethyl Ammonium Ionic Liquids for Battery Applications. Applied Sciences, 11(12), 5679. https://doi.org/10.3390/app11125679

