Investigation of the Thermal Conductivity of Silicon-Base Composites: The Effect of Filler Materials and Characteristic on Thermo-Mechanical Response of Silicon Composite
Abstract
1. Introduction
2. Materials and Methods
2.1. Materials
2.2. Formualtion Preaparation and Thermal Curing
2.3. Characterization
2.3.1. Attenuated Total Reflection-Fourier Transform Infrared Spectroscopy (ART-FTIR)
2.3.2. Differential Scanning Calorimetry (DSC)
2.3.3. Dynamic Mechanical Thermal Analysis (DMTA)
2.3.4. Tensile Test
2.3.5. Scanning Electron Microscopy (SEM)
2.3.6. Thermal Analysis
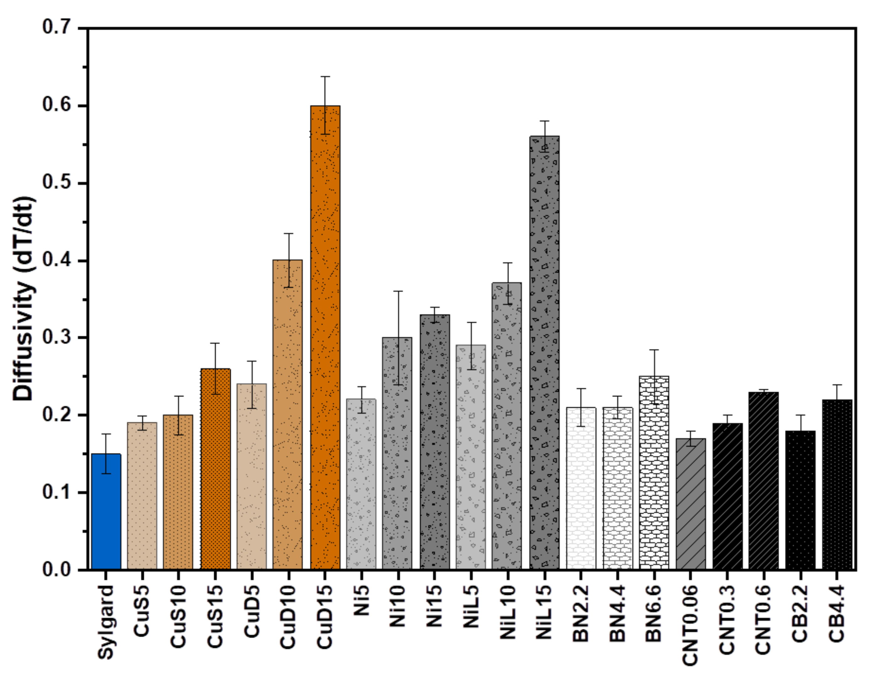
3. Results and Discussion
3.1. Thermal Curing
3.2. Morphology of the Composite
3.3. Thermal-Mechanical Properties
4. Conclusions
Supplementary Materials
Author Contributions
Funding
Conflicts of Interest
References
- Sim, L.C.; Ramanan, S.R.; Ismail, H.; Seetharamu, K.N.; Goh, T.J. Thermal characterization of Al2O3 and ZnO reinforced silicone rubber as thermal pads for heat dissipation purposes. Thermochim. Acta 2005, 430, 155–165. [Google Scholar] [CrossRef]
- Huang, Z.; Wu, W.; Drummer, D.; Liu, C.; Wang, Y.; Wang, Z. Enhanced the Thermal Conductivity of Polydimethylsiloxane via a Three-Dimensional Hybrid Boron Nitride@Silver Nanowires Thermal Network Filler. Polymers 2021, 13, 248. [Google Scholar] [CrossRef] [PubMed]
- Mamunya, Y.P.; Davydenko, V.V.; Pissis, P.; Lebedev, E. V Electrical and thermal conductivity of polymers filled.pdf. Eur. Polym. J. 2002, 38, 1887–1897. [Google Scholar] [CrossRef]
- Sanada, K.; Tada, Y.; Shindo, Y. Thermal conductivity of polymer composites with close-packed structure of nano and micro fillers. Compos. Part A Appl. Sci. Manuf. 2009, 40, 724–730. [Google Scholar] [CrossRef]
- Sangermano, M.; Razza, N.; Graham, G.; Barandiaran, I.; Kortaberria, G. Electrically insulating polymeric nanocomposites with enhanced thermal conductivity by visible-light curing of epoxy-boron nitride nanotube formulations. Polym. Int. 2017, 66, 1935–1939. [Google Scholar] [CrossRef]
- Pezzana, L.; Riccucci, G.; Spriano, S.; Battegazzore, D.; Sangermano, M.; Chiappone, A. 3D Printing of PDMS-Like Poly-mer Nanocomposites with Enhanced Thermal Conductivity: Boron Nitride Based Photocuring System. Nanomaterials 2021, 11, 373. [Google Scholar] [CrossRef] [PubMed]
- Mu, Q.; Feng, S. Thermal conductivity of graphite/silicone rubber prepared by solution intercalation. Thermochim. Acta 2007, 462, 70–75. [Google Scholar] [CrossRef]
- Shen, M.-X.; Cui, Y.-X.; He, J.; Zhang, Y.-M. Thermal conductivity model of filled polymer composites. Int. J. Miner. Met. Mater. 2011, 18, 623–631. [Google Scholar] [CrossRef]
- Chen, H.; Ginzburg, V.; Yang, J.; Yang, Y.; Liu, W.; Huang, Y.; Du, L.; Chen, B. Thermal conductivity of polymer-based composites: Fundamentals and applications. Prog. Polym. Sci. 2016, 59, 41–85. [Google Scholar] [CrossRef]
- Guo, Y.; Ruan, K.; Shi, X.; Yang, X.; Gu, J. Factors affecting thermal conductivities of the polymers and polymer composites: A review. Compos. Sci. Technol. 2020, 193, 108134. [Google Scholar] [CrossRef]
- Wang, M.; Pan, N. Predictions of effective physical properties of complex multiphase materials. Mater. Sci. Eng. R Rep. 2008, 63, 1–30. [Google Scholar] [CrossRef]
- Han, Z.; Fina, A. Thermal conductivity of carbon nanotubes and their polymer nanocomposites: A review. Prog. Polym. Sci. 2011, 36, 914–944. [Google Scholar] [CrossRef]
- Balandin, A.A. Thermal properties of graphene and nanostructured carbon materials. Nat. Mater. 2011, 10, 569–581. [Google Scholar] [CrossRef] [PubMed]
- Mokhena, T.C.; Mochane, M.J.; Sefadi, J.S.; Motloung, S.V.; Andala, D.M. Thermal Conductivity of Graphite-Based Polymer Composites. Impact Therm. Conduct. Energy Technol. 2018, 181. [Google Scholar] [CrossRef]
- Liu, C.H.; Huang, H.; Wu, Y.; Fan, S.S. Thermal conductivity improvement of silicone elastomer with carbon nanotube loading. Appl. Phys. Lett. 2004, 84, 4248–4250. [Google Scholar] [CrossRef]
- Tessema, A.; Zhao, D.; Moll, J.; Xu, S.; Yang, R.; Li, C.; Kumar, S.K.; Kidane, A. Effect of filler loading, geometry, dispersion and temperature on thermal conductivity of polymer nanocomposites. Polym. Test. 2017, 57, 101–106. [Google Scholar] [CrossRef]
- Che, J.; Wu, K.; Lin, Y.; Wang, K.; Fu, Q. Largely improved thermal conductivity of HDPE/expanded graphite/carbon nanotubes ternary composites via filler network-network synergy. Compos. Part A Appl. Sci. Manuf. 2017, 99, 32–40. [Google Scholar] [CrossRef]
- Zhao, Y.-H.; Zhang, Y.-F.; Bai, S.-L. High thermal conductivity of flexible polymer composites due to synergistic effect of multilayer graphene flakes and graphene foam. Compos. Part A Appl. Sci. Manuf. 2016, 85, 148–155. [Google Scholar] [CrossRef]
- Yi, P.; Awang, R.A.; Rowe, W.; Kalantar-Zadeh, K.; Khoshmanesh, K. PDMS nanocomposites for heat transfer enhancement in microfluidic platforms. Lab A Chip 2014, 14, 3419–3426. [Google Scholar] [CrossRef]
- Zhou, W.-Y.; Qi, S.-H.; Zhao, H.-Z.; Liu, N.-L. Thermally conductive silicone rubber reinforced with boron nitride particle. Polym. Compos. 2007, 28, 23–28. [Google Scholar] [CrossRef]
- Gu, J.; Meng, X.; Tang, Y.; Li, Y.; Zhuang, Q.; Kong, J. Hexagonal boron nitride/polymethyl-vinyl siloxane rubber dielectric thermally conductive composites with ideal thermal stabilities. Compos. Part A Appl. Sci. Manuf. 2017, 92, 27–32. [Google Scholar] [CrossRef]
- Kemaloglu, S.; Ozkoc, G.; Aytac, A. Properties of thermally conductive micro and nano size boron nitride reinforced silicon rubber composites. Thermochim. Acta 2010, 499, 40–47. [Google Scholar] [CrossRef]
- Fu, Y.-X.; He, Z.-X.; Mo, D.-C.; Lu, S.-S. Thermal conductivity enhancement with different fillers for epoxy resin adhesives. Appl. Therm. Eng. 2014, 66, 493–498. [Google Scholar] [CrossRef]
- Tekce, H.S.; Kumlutas, D.; Tavman, I.H. Effect of Particle Shape on Thermal Conductivity of Copper Reinforced Polymer Composites. J. Reinf. Plast. Compos. 2007, 26, 113–121. [Google Scholar] [CrossRef]
- Boudenne, A.; Ibos, L.; Fois, M.; Majesté, J.; Géhin, E. Electrical and thermal behavior of polypropylene filled with copper particles. Compos. Part A Appl. Sci. Manuf. 2005, 36, 1545–1554. [Google Scholar] [CrossRef]
- Yin, C.-G.; Liu, Z.-J.; Mo, R.; Fan, J.-C.; Shi, P.-H.; Xu, Q.-J.; Min, Y.-L. Copper nanowires embedded in boron nitride nanosheet-polymer composites with enhanced thermal conductivities for thermal management. Polymer 2020, 195, 122455. [Google Scholar] [CrossRef]
- Wolf, M.P.; Salieb-Beugelaar, G.B.; Hunziker, P. PDMS with designer functionalities—Properties, modifications strategies, and applications. Prog. Polym. Sci. 2018, 83, 97–134. [Google Scholar] [CrossRef]
- Murphy, E.C.; Dumont, J.H.; Park, C.H.; Kestell, G.; Lee, K.; Labouriau, A. Tailoring properties and processing of Sylgard 184: Curing time, adhesion, and water affinity. J. Appl. Polym. Sci. 2020, 137, 1–10. [Google Scholar] [CrossRef]
- D20 Committee. Test Method for Tensile Properties of Thin Plastic Sheeting; ASTM International: West Conshohocken, PA, USA, 2018. [Google Scholar]
- ISO. ISO 22007-2 Plastics—Determination of Thermal Conductivity and Thermal Diffusivity—Part 2: Transient Plane Heat Source (Hot Disc) Method; ISO: Geneva, Switzerland, 2015. [Google Scholar]
- González-Rivera, J.; Iglio, R.; Barillaro, G.; Duce, C.; Tinè, M.R. Structural and Thermoanalytical Characterization of 3D Porous PDMS Foam Materials: The Effect of Impurities Derived from a Sugar Templating Process. Polymers 2018, 10, 616. [Google Scholar] [CrossRef] [PubMed]
- Zhao, Y.; Drummer, D. Influence of Filler Content and Filler Size on the Curing Kinetics of an Epoxy Resin. Polymers 2019, 11, 1797. [Google Scholar] [CrossRef] [PubMed]
- Yaman, K.; Taga, Ö. Thermal and Electrical Conductivity of Unsaturated Polyester Resin Filled with Copper Filler Composites. Int. J. Polym. Sci. 2018, 2018, 8190190. [Google Scholar] [CrossRef]
- Ha, J.-U.; Hong, J.; Kim, M.; Choi, J.K.; Park, D.W.; Shim, S.E. Improvement of Thermal Conductivity of Poly(dimethyl siloxane) Composites Filled with Boron Nitride and Carbon Nanotubes. Polym. Korea 2013, 37, 722–729. [Google Scholar] [CrossRef][Green Version]









| Entry | Acronym | Sylgard Matrix + CURING Agent (Vol %) | Type of Filler | Filler (Vol %) | Filler (wt.%) |
|---|---|---|---|---|---|
| 1 | Sylgard | 100.00 | / | 0.00 | 0.00 |
| 2 | CuS5 | 95.00 | Spheroidal copper powder | 5.00 | 30.95 |
| 3 | CuS10 | 90.00 | Spheroidal copper powder | 10.00 | 48.60 |
| 4 | CuS15 | 85.00 | Spheroidal copper powder | 15.00 | 60.00 |
| 5 | CuD5 | 95.00 | Dendritic copper powder | 5.00 | 30.95 |
| 6 | CuD10 | 90.00 | Dendritic copper powder | 10.00 | 48.60 |
| 7 | CuD15 | 85.00 | Dendritic copper powder | 15.00 | 60.00 |
| 8 | Ni5 | 95.00 | Nickel powder (3–7 μm) | 5.00 | 30.80 |
| 9 | Ni10 | 90.00 | Nickel powder (3–7 μm) | 10.00 | 48.50 |
| 10 | Ni15 | 85.00 | Nickel powder (3–7 μm) | 15.00 | 59.95 |
| 11 | NiL5 | 95.00 | Nickel powder (<45 μm) | 5.00 | 30.80 |
| 12 | NiL10 | 90.00 | Nickel powder (<45 μm) | 10.00 | 48.50 |
| 13 | NiL15 | 85.00 | Nickel powder (<45 μm) | 15.00 | 59.95 |
| 14 | BN2.2 | 97.80 | Boron nitride nanoparticles | 2.20 | 4.70 |
| 15 | BN4.4 | 95.60 | Boron nitride nanoparticles | 4.40 | 9.12 |
| 16 | BN6.6 | 93.40 | Boron nitride nanoparticles | 6.60 | 13.30 |
| 17 | CNT0.06 | 99.94 | Carbon nanotubes | 0.06 | 0.10 |
| 18 | CNT0.3 | 99.70 | Carbon nanotubes | 0.30 | 0.50 |
| 19 | CNT0.6 | 99.40 | Carbon nanotubes | 0.60 | 1.00 |
| 20 | CB2.2 | 97.80 | Carbon black | 2.20 | 3.90 |
| 21 | CB4.4 | 95.60 | Carbon black | 4.40 | 7.65 |
| Entry | Acronym | Time Curing Peak (s) | Tg (°C) |
|---|---|---|---|
| 1 | Sylgard | 9 | −121 |
| 2 | CuS5 | - | −120 |
| 3 | CuS10 | - | −119 |
| 4 | CuS15 | 13 | −116 |
| 5 | CuD5 | - | −119 |
| 6 | CuD10 | - | −118 |
| 7 | CuD15 | 9 | −116 |
| 8 | Ni5 | - | −118 |
| 9 | Ni10 | - | −117 |
| 10 | Ni15 | 11 | −116 |
| 11 | NiL5 | - | −118 |
| 12 | NiL10 | - | −115 |
| 13 | NiL15 | 12 | −114 |
| 14 | BN2.2 | - | −120 |
| 15 | BN4.4 | - | −119 |
| 16 | BN6.6 | 10 | −118 |
| 17 | CNT0.06 | - | −118 |
| 18 | CNT0.3 | - | −118 |
| 19 | CNT0.6 | 8 | −118 |
| 20 | CB2.2 | - | −120 |
| 21 | CB4.4 | 8 | −119 |
Publisher’s Note: MDPI stays neutral with regard to jurisdictional claims in published maps and institutional affiliations. |
© 2021 by the authors. Licensee MDPI, Basel, Switzerland. This article is an open access article distributed under the terms and conditions of the Creative Commons Attribution (CC BY) license (https://creativecommons.org/licenses/by/4.0/).
Share and Cite
Riccucci, G.; Pezzana, L.; Lantean, S.; Tori, A.; Spriano, S.; Sangermano, M. Investigation of the Thermal Conductivity of Silicon-Base Composites: The Effect of Filler Materials and Characteristic on Thermo-Mechanical Response of Silicon Composite. Appl. Sci. 2021, 11, 5663. https://doi.org/10.3390/app11125663
Riccucci G, Pezzana L, Lantean S, Tori A, Spriano S, Sangermano M. Investigation of the Thermal Conductivity of Silicon-Base Composites: The Effect of Filler Materials and Characteristic on Thermo-Mechanical Response of Silicon Composite. Applied Sciences. 2021; 11(12):5663. https://doi.org/10.3390/app11125663
Chicago/Turabian StyleRiccucci, Giacomo, Lorenzo Pezzana, Simone Lantean, Alice Tori, Silvia Spriano, and Marco Sangermano. 2021. "Investigation of the Thermal Conductivity of Silicon-Base Composites: The Effect of Filler Materials and Characteristic on Thermo-Mechanical Response of Silicon Composite" Applied Sciences 11, no. 12: 5663. https://doi.org/10.3390/app11125663
APA StyleRiccucci, G., Pezzana, L., Lantean, S., Tori, A., Spriano, S., & Sangermano, M. (2021). Investigation of the Thermal Conductivity of Silicon-Base Composites: The Effect of Filler Materials and Characteristic on Thermo-Mechanical Response of Silicon Composite. Applied Sciences, 11(12), 5663. https://doi.org/10.3390/app11125663

