Halloysite and Laponite Hybrid Pigments Synthesis with Copper Chlorophyll
Abstract
1. Introduction
2. Materials and Methods
2.1. Materials
2.2. Synthesis Process
2.3. Biocomposite Generation
2.4. Characterization
2.5. Statistical Design of Experiments
3. Results and Discussion
3.1. Chlorophyll Adsorption
3.2. UV-VIS-NIR
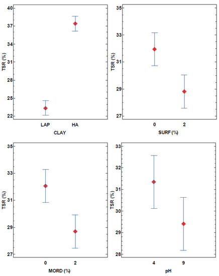
3.2.1. Total Solar Reflectance %
3.2.2. Chromatic Diagrams
3.3. XRD
3.4. Thermal Analysis DTA
3.5. Colour Fastness
4. Conclusions
Author Contributions
Funding
Institutional Review Board Statement
Informed Consent Statement
Acknowledgments
Conflicts of Interest
References
- Kuo, L.; Chang, B.-G. The Affecting Factors of Circular Economy Information and Its Impact on Corporate Economic Sustainability-Evidence from China. Sustain. Prod. Consum. 2021, 27, 986–997. [Google Scholar] [CrossRef]
- Bechtold, T.; Mussak, R. Handbook of Natural Colorants; John Wiley & Sons: Hoboken, NJ, USA, 2009. [Google Scholar]
- Micó-Vicent, B.; Viqueira, V.; Ramos, M.; Luzi, F.; Dominici, F.; Torre, L.; Jiménez, A.; Puglia, D.; Garrigós, M.C. Effect of Lemon Waste Natural Dye and Essential Oil Loaded into Laminar Nanoclays on Thermomechanical and Color Properties of Polyester Based Bionanocomposites. Polymers 2020, 12, 1451. [Google Scholar] [CrossRef] [PubMed]
- Shalini, S.; Prasanna, S.; Mallick, T.K.; Senthilarasu, S. Review on Natural Dye Sensitized Solar Cells: Operation, Materials and Methods. Renew. Sustain. Energy Rev. 2015, 51, 1306–1325. [Google Scholar] [CrossRef]
- Heinonen, J.; Farahmandazad, H.; Vuorinen, A.; Kallio, H.; Yang, B.; Sainio, T. Extraction and Purification of Anthocyanins from Purple-Fleshed Potato. Food Bioprod. Process. 2016, 99, 136–146. [Google Scholar] [CrossRef]
- Keppler, K.; Humpf, H.-U. Metabolism of Anthocyanins and Their Phenolic Degradation Products by the Intestinal Microflora. Bioorg. Med. Chem. 2005, 13, 5195–5205. [Google Scholar] [CrossRef] [PubMed]
- Taniguchi, M.; Lindsey, J.S. Synthetic Chlorins, Possible Surrogates for Chlorophylls, Prepared by Derivatization of Porphyrins. Chem. Rev. 2017, 117, 344–535. [Google Scholar] [CrossRef]
- Mandal, R.; Dutta, G. From Photosynthesis to Biosensing: Chlorophyll Proves to Be a Versatile Molecule. Sens. Int. 2020, 1, 100058. [Google Scholar] [CrossRef]
- Dhafina, W.A.; Daud, M.Z.; Salleh, H. The Sensitization Effect of Anthocyanin and Chlorophyll Dyes on Optical and Photovoltaic Properties of Zinc Oxide Based Dye-Sensitized Solar Cells. Optik 2019, 207, 163808. [Google Scholar] [CrossRef]
- Nan, H.; Shen, H.-P.; Wang, G.; Xie, S.-D.; Yang, G.-J.; Lin, H. Studies on the Optical and Photoelectric Properties of Anthocyanin and Chlorophyll as Natural Co-Sensitizers in Dye Sensitized Solar Cell. Opt. Mater. 2017, 73, 172–178. [Google Scholar] [CrossRef]
- Di Natale, C.; Monti, D.; Paolesse, R. Chemical Sensitivity of Porphyrin Assemblies. Mater. Today 2010, 13, 46–52. [Google Scholar] [CrossRef]
- Au, P.-I.; Hassan, S.; Liu, J.; Leong, Y.-K. Behaviour of LAPONITE® Gels: Rheology, Ageing, PH Effect and Phase State in the Presence of Dispersant. Chem. Eng. Res. Des. 2015, 101, 65–73. [Google Scholar] [CrossRef]
- Coelho Leandro, G.; Capello, C.; Luiza Koop, B.; Garcez, J.; Rodrigues Monteiro, A.; Ayala Valencia, G. Adsorption-Desorption of Anthocyanins from Jambolan (Syzygium Cumini) Fruit in Laponite® Platelets: Kinetic Models, Physicochemical Characterization, and Functional Properties of Biohybrids. Food Res. Int. 2021, 140, 109903. [Google Scholar] [CrossRef] [PubMed]
- Charaabi, S.; Tchara, L.; Marminon, C.; Bouaziz, Z.; Holtzinger, G.; Pensé-Lhéritier, A.-M.; Le Borgne, M.; Issa, S. A Comparative Adsorption Study of Benzophenone-3 onto Synthesized Lipophilic Organosilicate, Laponite and Montmorillonite. Appl. Clay Sci. 2019, 170, 114–124. [Google Scholar] [CrossRef]
- Salleres, S.; López Arbeloa, F.; Martínez, V.; Corcóstegui, C.; López Arbeloa, I. Effect of Surfactant C12TMA Molecules on the Self-Association of R6G Dye in Thin Films of Laponite Clay. Mater. Chem. Phys. 2009, 116, 550–556. [Google Scholar] [CrossRef]
- Park, M.; Shim, I.-K.; Jung, E.-Y.; Choy, J.-H. Modification of External Surface of Laponite by Silane Grafting. J. Phys. Chem. Solids 2004, 65, 499–501. [Google Scholar] [CrossRef]
- Kausar, A.; Iqbal, M.; Javed, A.; Aftab, K.; Nazli, Z.-H.; Bhatti, H.N.; Nouren, S. Dyes Adsorption Using Clay and Modified Clay: A Review. J. Mol. Liq. 2018, 256, 395–407. [Google Scholar] [CrossRef]
- Micó-Vicent, B.; Martínez-Verdú, F.M.; Novikov, A.; Stavitskaya, A.; Vinokurov, V.; Rozhina, E.; Fakhrullin, R.; Yendluri, R.; Lvov, Y. Stabilized Dye–Pigment Formulations with Platy and Tubular Nanoclays. Adv. Funct. Mater. 2018, 28, 1703553. [Google Scholar] [CrossRef]
- Riela, S.; Barattucci, A.; Barreca, D.; Campagna, S.; Cavallaro, G.; Lazzara, G.; Massaro, M.; Pizzolanti, G.; Salerno, T.M.G.; Bonaccorsi, P.; et al. Boosting the Properties of a Fluorescent Dye by Encapsulation into Halloysite Nanotubes. Dyes Pigments 2021, 187, 109094. [Google Scholar] [CrossRef]
- Kanani-Jazi, M.H.; Akbari, S. Amino-Dendritic and Carboxyl Functionalized Halloysite Nanotubes for Highly Efficient Removal of Cationic and Anionic Dyes: Kinetic, Isotherm, and Thermodynamic Studies. J. Environ. Chem. Eng. 2021, 9, 105214. [Google Scholar] [CrossRef]
- Alam, Q.; Bartczak, P.; Paananen, H.; Suvanto, M.; Pakkanen, T.T. Modification of Halloysite Nanotubes with Xanthene Dyes and Their Application in Luminescent Polymer Nanocomposites. J. Lumin. 2020, 221, 117096. [Google Scholar] [CrossRef]
- Marchante Rodríguez, V.; Martínez-Verdú, F.M.; Beltrán Rico, M.I.; Marcilla Gomis, A. Mechanical, Thermal and Colorimetric Properties of LLDPE Coloured with a Blue Nanopigment and Conventional Blue Pigments. Pigment Resin Technol. 2012, 41, 263–269. [Google Scholar] [CrossRef]
- Raha, S.; Ivanov, I.; Quazi, N.H.; Bhattacharya, S.N. Photo-Stability of Rhodamine-B/Montmorillonite Nanopigments in Polypropylene Matrix. Appl. Clay Sci. 2009, 42, 661–666. [Google Scholar] [CrossRef]
- Bee, S.L.; Abdullah, M.A.A.; Bee, S.T.; Sin, L.T.; Rahmat, A.R. Polymer Nanocomposites Based on Silylated-Montmorillonite: A Review. Prog. Polym. Sci. 2018, 85, 57–82. [Google Scholar] [CrossRef]
- Tornuk, F.; Sagdic, O.; Hancer, M.; Yetim, H. Development of LLDPE Based Active Nanocomposite Films with Nanoclays Impregnated with Volatile Compounds. Food Res. Int. 2018, 107, 337–345. [Google Scholar] [CrossRef] [PubMed]
- Park, H.-M.; Lee, W.-K.; Park, C.-Y.; Cho, W.-J.; Ha, C.-S. Environmentally Friendly Polymer Hybrids Part I Mechanical, Thermal, and Barrier Properties of Thermoplastic Starch/Clay Nanocomposites. J. Mater. Sci. 2003, 38, 909–915. [Google Scholar] [CrossRef]
- Porter, D.; Metcalfe, E.; Thomas, M.J.K. Nanocomposite Fire Retardants—A Review. Fire Mater. 2000, 24, 45–52. [Google Scholar] [CrossRef]
- Acharya, H.; Srivastava, S.K.; Bhowmick, A.K. Synthesis of Partially Exfoliated EPDM/LDH Nanocomposites by Solution Intercalation: Structural Characterization and Properties. Compos. Sci. Technol. 2007, 67, 2807–2816. [Google Scholar] [CrossRef]
- Krarti, M. Integrated Design of Energy Efficient Cities. In Optimal Design and Retrofit of Energy Efficient Buildings, Communities, and Urban Centers; Butterworth-Heinemann: Oxford, UK, 2018. [Google Scholar] [CrossRef]
- Santamouris, M. Cooling the Cities—A Review of Reflective and Green Roof Mitigation Technologies to Fight Heat Island and Improve Comfort in Urban Environments. Sol. Energy 2014, 103, 682–703. [Google Scholar] [CrossRef]
- Maharjan, S.; Liao, K.S.; Wang, A.J.; Curran, S.A. Highly Effective Hydrophobic Solar Reflective Coating for Building Materials: Increasing Total Solar Reflectance via Functionalized Anatase Immobilization in an Organosiloxane Matrix. Constr. Build. Mater. 2020, 243, 118189. [Google Scholar] [CrossRef]
- Micó-Vicent, B.; Jordán, J.; Perales, E.; Martínez-Verdú, F.; Cases, F. Finding the Additives Incorporation Moment in Hybrid Natural Pigments Synthesis to Improve Bioresin Properties. Coatings 2019, 9, 34. [Google Scholar] [CrossRef]
- Asgar, H.; Jin, J.; Miller, J.; Kuzmenko, I.; Gadikota, G. Contrasting Thermally-Induced Structural and Microstructural Evolution of Alumino-Silicates with Tubular and Planar Arrangements: Case Study of Halloysite and Kaolinite. Colloids Surf. A Physicochem. Eng. Asp. 2021, 613, 126106. [Google Scholar] [CrossRef]
- Krasilin, A.A.; Danilovich, D.P.; Yudina, E.B.; Bruyere, S.; Ghanbaja, J.; Ivanov, V.K. Crystal Violet Adsorption by Oppositely Twisted Heat-Treated Halloysite and Pecoraite Nanoscrolls. Appl. Clay Sci. 2019, 173, 1–11. [Google Scholar] [CrossRef]
- Belkassa, K.; Khelifa, M.; Batonneau-Gener, I.; Marouf-Khelifa, K.; Khelifa, A. Understanding of the Mechanism of Crystal Violet Adsorption on Modified Halloysite: Hydrophobicity, Performance, and Interaction. J. Hazard. Mater. 2021, 415, 125656. [Google Scholar] [CrossRef]
- Rozza, R.; Ferrante, F. Computational Study of Water Adsorption on Halloysite Nanotube in Different PH Environments. Appl. Clay Sci. 2020, 190, 105589. [Google Scholar] [CrossRef]
- ASTM. Standard Tables for Reference Solar Spectral Irradiances: Direct Normal and Hemispherical on 37° Tilted Surface; ASTM International: West Conshohocken, PA, USA, 2013; pp. 1–21. [Google Scholar] [CrossRef]
- Albdiry, M.T.; Yousif, B.F. Morphological Structures and Tribological Performance of Unsaturated Polyester Based Untreated/Silane-Treated Halloysite Nanotubes. Mater. Des. 2013, 48, 68–76. [Google Scholar] [CrossRef]
- Grum, F.; Witzel, R.F.; Stensby, P. Evaluation of Whiteness. J. Opt. Soc. Am. 1974, 64, 210–215. [Google Scholar] [CrossRef] [PubMed]
- Zhu, H.; Du, M.; Zou, M.; Xu, C.; Fu, Y. Green Synthesis of Au Nanoparticles Immobilized on Halloysite Nanotubes for Surface-Enhanced Raman Scattering Substrates. Dalt. Trans. 2012, 41, 10465–10471. [Google Scholar] [CrossRef] [PubMed]
- Yuan, P.; Southon, P.D.; Liu, Z.; Green, M.E.R.; Hook, J.M.; Antill, S.J.; Kepert, C.J. Functionalization of Halloysite Clay Nanotubes by Grafting with γ-Aminopropyltriethoxysilane. J. Phys. Chem. C 2008, 112, 15742–15751. [Google Scholar] [CrossRef]
- Bordeepong, S.; Bhongsuwan, D.; Pungrassami, T.; Bhongsuwan, T. Characterization of Halloysite from Thung Yai District, Nakhon Si Thammarat Province, in Southern Thailand. Songklanakarin J. Sci. Technol. 2011, 33, 599–607. [Google Scholar]
- Zatta, L.; da Costa Gardolinski, J.E.F.; Wypych, F. Raw Halloysite as Reusable Heterogeneous Catalyst for Esterification of Lauric Acid. Appl. Clay Sci. 2011, 51, 165–169. [Google Scholar] [CrossRef]
- Mehraban, Z.; Farzaneh, F.; Shafiekhani, A. Synthesis and Characterization of a New Organic–Inorganic Hybrid NiO–Chlorophyll-a as Optical Material. Opt. Mater. 2007, 29, 927–931. [Google Scholar] [CrossRef]
- Kohno, Y.; Totsuka, K.; Ikoma, S.; Yoda, K.; Shibata, M.; Matsushima, R.; Tomita, Y.; Maeda, Y.; Kobayashi, K. Photostability Enhancement of Anionic Natural Dye by Intercalation into Hydrotalcite. J. Colloid Interface Sci. 2009, 337, 117–121. [Google Scholar] [CrossRef] [PubMed]
















| Sample Code | pH 1 | SURF 2 | MORD 2 | SIL 2 |
|---|---|---|---|---|
| GLAP.1 | 4 | 0 | 0 | 0 |
| GLAP.2 | 9 | 0 | 0 | 2 |
| GLAP.3 | 4 | 2 | 0 | 2 |
| GLAP.4 | 9 | 2 | 0 | 0 |
| GLAP.5 | 4 | 0 | 2 | 2 |
| GLAP.6 | 9 | 0 | 2 | 0 |
| GLAP.7 | 4 | 2 | 2 | 0 |
| GLAP.8 | 9 | 2 | 2 | 2 |
| GHA.1 | 4 | 0 | 0 | 0 |
| GHA.2 | 9 | 0 | 0 | 2 |
| GHA.3 | 4 | 2 | 0 | 2 |
| GHA.4 | 9 | 2 | 0 | 0 |
| GHA.5 | 4 | 0 | 2 | 2 |
| GHA.3 | 9 | 0 | 2 | 0 |
| GHA.3 | 4 | 2 | 2 | 0 |
| GHA.8 | 9 | 2 | 2 | 2 |
| REF | Abs λ (405.4 nm) | Ads (%) |
|---|---|---|
| GLAP.1 | 0.1267876 | 97.91 |
| GLAP.2 | 0.4166450 | 80.21 |
| GLAP.3 | 0.1168471 | 98.51 |
| GLAP.4 | 0.1445317 | 96.82 |
| GLAP.5 | 0.1220899 | 98.19 |
| GLAP.6 | 0.1101210 | 98.92 |
| GLAP.7 | 0.1197555 | 98.34 |
| GLAP.8 | 0.1242313 | 98.06 |
| GHA.1 | 0.1197628 | 98.34 |
| GHA.2 | 0.2486290 | 90.47 |
| GHA.3 | 0.1279232 | 97.84 |
| GHA.4 | 0.6237080 | 67.57 |
| GHA.5 | 0.1153758 | 98.60 |
| GHA.6 | 0.1140121 | 98.69 |
| GHA.7 | 0.1160737 | 98.56 |
| GHA.8 | 0.1136496 | 98.71 |
| Source | Sum of Squares | f.d. | Medium Square | F-Ratio | p-Value |
|---|---|---|---|---|---|
| A:pH | 201.863 | 1 | 201.863 | 4.72 | 0.0526 |
| C:MORD | 228.084 | 1 | 228.084 | 5.33 | 0.0414 |
| AC | 211.765 | 1 | 211.765 | 4.95 | 0.0479 |
| Block (nanoclay) | 20.7034 | 1 | 20.7034 | 0.48 | 0.5010 |
| Total Error | 470.507 | 11 | 42.7734 | ||
| Total (corr.) | 1132.92 | 15 |
| Source | Sum of Squares | f.d. | Medium Square | F-Ratio | p-Value |
|---|---|---|---|---|---|
| B:SURF | 6.50922 | 1 | 6.50922 | 4.26 | 0.0562 |
| C:MORD | 2.5302 | 1 | 2.5302 | 1.62 | 0.2297 |
| AD | 2.30904 | 1 | 2.30904 | 1.48 | 0.2499 |
| Block (nanoclay) | 505.654 | 1 | 505.654 | 323.14 | 0.0000 |
| Total Error | 17.2128 | 11 | 1.5648 | ||
| Total (corr.) | 534.215 | 15 |
| Source | Sum of Squares | f.d. | Medium Square | F-Ratio | p-Value |
|---|---|---|---|---|---|
| A:pH | 6.40622 | 1 | 6.40622 | 3.34 | 0.0950 |
| B:SURF | 11.6339 | 1 | 11.6339 | 6.06 | 0.0316 |
| D:SIL | 2.74599 | 1 | 2.74599 | 1.43 | 0.2569 |
| Block (nanoclay) | 769.524 | 1 | 769.524 | 400.68 | 0.0000 |
| Total Error | 21.1259 | 11 | 1.92053 | ||
| Total (corr.) | 811.436 | 15 |
Publisher’s Note: MDPI stays neutral with regard to jurisdictional claims in published maps and institutional affiliations. |
© 2021 by the authors. Licensee MDPI, Basel, Switzerland. This article is an open access article distributed under the terms and conditions of the Creative Commons Attribution (CC BY) license (https://creativecommons.org/licenses/by/4.0/).
Share and Cite
Micó-Vicent, B.; Perales Romero, E.; Jordán-Núñez, J.; Viqueira, V. Halloysite and Laponite Hybrid Pigments Synthesis with Copper Chlorophyll. Appl. Sci. 2021, 11, 5568. https://doi.org/10.3390/app11125568
Micó-Vicent B, Perales Romero E, Jordán-Núñez J, Viqueira V. Halloysite and Laponite Hybrid Pigments Synthesis with Copper Chlorophyll. Applied Sciences. 2021; 11(12):5568. https://doi.org/10.3390/app11125568
Chicago/Turabian StyleMicó-Vicent, Bàrbara, Esther Perales Romero, Jorge Jordán-Núñez, and Valentín Viqueira. 2021. "Halloysite and Laponite Hybrid Pigments Synthesis with Copper Chlorophyll" Applied Sciences 11, no. 12: 5568. https://doi.org/10.3390/app11125568
APA StyleMicó-Vicent, B., Perales Romero, E., Jordán-Núñez, J., & Viqueira, V. (2021). Halloysite and Laponite Hybrid Pigments Synthesis with Copper Chlorophyll. Applied Sciences, 11(12), 5568. https://doi.org/10.3390/app11125568

