Vortex Breakdown Control by the Plasma Swirl Injector
Abstract
1. Introduction
2. Layout of the Experimental Setup
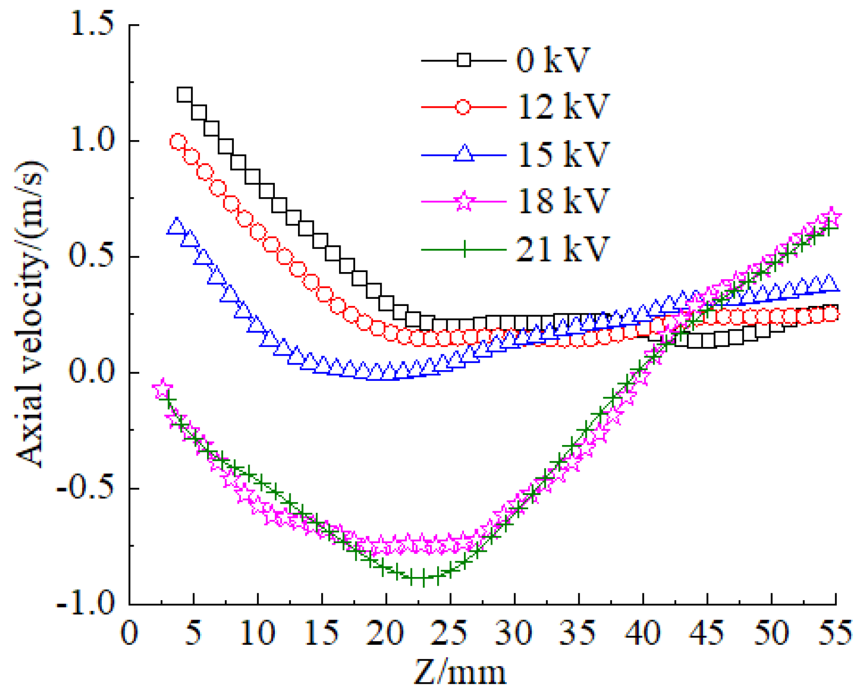
3. Results and Discussion
4. Conclusions
Author Contributions
Funding
Acknowledgments
Conflicts of Interest
References
- Roth, J.R.; Sherman, D.M.; Wilkinson, P.S. Electrohydrodynamic flow control with a glow-discharge surface plasma. AIAA J. 2000, 38, 1166–1172. [Google Scholar] [CrossRef]
- Moreau, E. Airflow control by non-thermal plasma actuators. J. Phys. D Appl. Phys. 2007, 40, 605–636. [Google Scholar] [CrossRef]
- Corke, T.C.; Enloe, C.L.; Wilkinson, S.P. Dielectric Barrier Discharge Plasma Actuators for Flow Control. Annu. Rev. Fluid Mech. 2010, 42, 505–529. [Google Scholar] [CrossRef]
- Wang, J.J.; Choi, K.S.; Feng, L.H.; Timothy, D.W. Richard, Recent developments in DBD plasma flow control. Prog. Aerosp. Sci. 2013, 62, 52–78. [Google Scholar] [CrossRef]
- Kriegseis, J.; Simon, B.; Grundmann, S. Towards in-flight applications? A review on dielectric barrier discharge-based boundary-layer control. Appl. Mech. Rev. 2016, 68, 020802. [Google Scholar] [CrossRef]
- Leonov, S.B.; Adamovich, I.V.; Soloviev, V.R. Dynamics of near-surface electric discharges and mechanisms of their interaction with the airflow. Plasma Sources Sci. Technol. 2016, 25, 063001. [Google Scholar] [CrossRef]
- Konstantinidis, E. Active Control of Bluff-Body Flows Using Plasma Actuators. Actuators 2019, 8, 66. [Google Scholar] [CrossRef]
- Roupassov, D.V.; Nikipelov, A.A.; Nudnova, M.M.; Starikovskii, A.Y. Flow Separation Control by Plasma Actuator with Nanosecond Pulsed-Periodic Discharge. AIAA J. 2009, 47, 168–185. [Google Scholar] [CrossRef]
- Little, J.; Takashima, K.; Nishihara, M.; Adamovich, I.; Samimy, M. Separation Control with Nanosecond-Pulse-Driven Dielectric Barrier Discharge Plasma Actuators. AIAA J. 2012, 50, 350–365. [Google Scholar] [CrossRef]
- Fujii, K. Three Flow Features behind the Flow Control Authority of DBD Plasma Actuator: Result of High-Fidelity Simulations and the Related Experiments. Appl. Sci. 2018, 8, 546. [Google Scholar] [CrossRef]
- Shyy, W.; Jayaraman, B.; Andersson, A. Modeling of glow discharge-induced fluid dynamics. J. Appl. Phys. 2002, 92, 6434–6443. [Google Scholar] [CrossRef]
- Hasan, M.; Atkinson, M. Investigation of a Dielectric Barrier Discharge Plasma Actuator to Control Turbulent Boundary Layer Separation. Appl. Sci. 2020, 10, 1911. [Google Scholar] [CrossRef]
- Skourides, C.; Nyfantis, D.; Leyland, P.; Bosse, H.; Ott, P. Mechanisms of Control Authority by Nanosecond Pulsed Dielectric Barrier Discharge Actuators on Flow Separation. Appl. Sci. 2019, 9, 2989. [Google Scholar] [CrossRef]
- Pescini, E.; de Giorgi, M.G.; Suma, A.; Francioso, L.; Ficarella, A. Separation control by a microfabricated SDBD plasma actuator for small engine turbine applications: Influence of the excitation waveform. Aerosp. Sci. Technol. 2018, 76, 442–454. [Google Scholar] [CrossRef]
- Lo, K.-H.; Sriram, R.; Kontis, K. Wake flow characteristics over an articulated lorry model with/without AC-DBD plasma actuation. Appl. Sci. 2019, 9, 2426. [Google Scholar] [CrossRef]
- Go, D.B.; Garimella, S.V.; Fisher, T.S.; Mongia, R.K. Ionic winds for locally enhanced cooling. J. Appl. Phys. 2007, 102, 053302. [Google Scholar] [CrossRef]
- Roy, S.; Wang, C.-C. Plasma actuated heat transfer. Appl. Phys. Lett. 2008, 92, 231501. [Google Scholar] [CrossRef]
- Audier, P.; Fenot, M.; Benard, N.; Moreau, E. Film cooling effectiveness enhancement using surface dielectric barrier discharge plasma actuator. Int. J. Heat Fluid Flow 2016, 62, 247–257. [Google Scholar] [CrossRef]
- Xiao, Y.; Dai, S.; He, L.; Jin, T.; Zhang, Q.; Hou, P. Investigation of film cooling from cylindrical hole with plasma actuator on flat plate. Heat Mass Transf. 2016, 52, 1571–1583. [Google Scholar] [CrossRef]
- Kim, Y.J.; Kim, G.M.; Shin, Y.; Kwak, J.S. Experimental Investigation on the Effects of DBD Plasma on the Film Cooling Effectiveness of a 30-Degree Slot. Appl. Sci. 2017, 7, 633. [Google Scholar] [CrossRef]
- Uehara, S.; Takana, H. Surface cooling by dielectric barrier discharge plasma actuator in confinement channel. J. Electrost. 2020, 104, 103417. [Google Scholar] [CrossRef]
- Hebrero, F.C.; Adamo, J.D.; Sosa, R.; Artana, G. Vortex induced vibrations suppression for a cylinder with plasma actuators. J. Sound Vib. 2020, 468, 115121. [Google Scholar] [CrossRef]
- Yokoyama, H.; Tanimoto, I.; Iida, A. Experimental Tests and Aeroacoustic Simulations of the Control of Cavity Tone by Plasma Actuators. Appl. Sci. 2017, 7, 790. [Google Scholar] [CrossRef]
- de Jong, A.; Bijl, H. Corner-type plasma actuators for cavity flow-induced noise control. AIAA J. 2014, 52, 33–42. [Google Scholar] [CrossRef]
- da Silva, G.P.G.; Eguea, J.P.; Croce, J.A.G.; Catalano, M.F. Slat aerodynamic noise reduction using dielectric barrier discharge plasma actuators. Aerosp. Sci. Technol. 2020, 97, 105642. [Google Scholar] [CrossRef]
- Sato, S.; Yokoyama, H.; Iida, A. Control of Flow around an Oscillating Plate for Lift Enhancement by Plasma Actuators. Appl. Sci. 2019, 9, 776. [Google Scholar] [CrossRef]
- Motta, V.; Malzacher, L.; Peitsch, D. Numerical Assessment of Virtual Control Surfaces for Load Alleviation on Compressor Blades. Appl. Sci. 2018, 8, 125. [Google Scholar] [CrossRef]
- Roy, S.; Wang, C.-C. Bulk flow modification with horseshoe and serpentine plasma actuators. J. Phys. D Appl. Phys. 2008, 42, 032004. [Google Scholar] [CrossRef]
- Hoskinson, A.R.; Hershkowitz, N.; Ashpis, D.E. Force measurements of single and double barrier DBD plasma actuators in quiescent air. J. Phys. D Appl. Phys. 2008, 41, 245209. [Google Scholar] [CrossRef][Green Version]
- Pescini, E.; Francioso, L.; De Giorgi, M.G.; Ficarella, A. Investigation of a micro dielectric barrier discharge plasma actuator for regional aircraft active flow control. IEEE Trans. Plasma Sci. 2015, 43, 3668–3680. [Google Scholar] [CrossRef]
- Moreau, E.; Cazour, J.; Benard, N. Influence of the air-exposed active electrode shape on the electrical, optical and mechanical characteristics of a surface dielectric barrier discharge plasma actuator. J. Electrost. 2018, 93, 146–153. [Google Scholar] [CrossRef]
- Benard, N.; Audier, P.; Moreau, E.; Takashima, K.; Mizuno, A. Active plasma grid for on-demand airflow mixing increase. J. Electrost. 2017, 88, 15–23. [Google Scholar] [CrossRef]
- Peckham, D.H.; Atkinson, S.A. Preliminary Results of Low Speed Wind Tunnel Test on a Ghotic Wing of Aspect Ratio 1.0; British Aeronautical Research Council: London, UK, 1957. [Google Scholar]
- Sarpkaya, T. On stationary and travelling vortex breakdowns. J. Fluid Mech. 1971, 45, 545–559. [Google Scholar] [CrossRef]
- Sarpkaya, T. Vortex Breakdown in Swirling Conical Flows. AIAA J. 1971, 9, 1792–1799. [Google Scholar] [CrossRef]
- Leibovich, S. The Structure of Vortex Breakdown. Annu. Rev. Fluid Mech. 1978, 10, 221–246. [Google Scholar] [CrossRef]
- Benjamin, T.B. Theory of the vortex breakdown phenomenon. J. Fluid Mech. 1962, 14, 593–629. [Google Scholar] [CrossRef]
- Gartshore, I.S. Recent Work in Swirling Incompressible Flow; Report LR-343; National Research Council Canada: Ottawa, OT, Canada, 1962. [Google Scholar]
- Leibovich, S.; Stewartson, K. A sufficient condition for the instability of columnar vortices. J. Fluid Mech. 1983, 126, 335–356. [Google Scholar] [CrossRef]
- Shtern, V. Cellular Flows; Cambridge University Press: New York, NY, USA, 2018. [Google Scholar]
- Althaus, W.; Krause, E.; Hofhaus, J.; Weimer, M. Vortex breakdown: Transition between bubble- and spiral-type breakdown. Meccanica 1994, 29, 373–382. [Google Scholar] [CrossRef]
- Herrada, M.A.; Shtern, V. Control of vortex breakdown by temperature gradients. Phys. Fluids 2003, 15, 3468–3477. [Google Scholar] [CrossRef]
- Srigrarom, S.; Kurosaka, M. Shaping of delta-wing planform to suppress vortex breakdown. AIAA J. 2012, 38, 183–186. [Google Scholar] [CrossRef]
- Schmucker, A.; Gersten, K. Vortex breakdown and its control on delta wings. Fluid Dyn. Res. 1998, 3, 268. [Google Scholar] [CrossRef]
- Gutmark, E.J.; Guillot, S.A. Control of vortex breakdown over highly swept wings. AIAA J. 2005, 43, 2065–2069. [Google Scholar] [CrossRef]
- Mununga, L.; Jacono, D.L.; Sorensen, J.N.; Leweke, T.; Thompson, M.C.; Hourigan, K. Control of confined vortex breakdown with partial rotating lids. J. Fluid Mech. 2014, 738, 5–33. [Google Scholar] [CrossRef]
- Husain, H.S.; Shtern, V.; Hussain, F. Control of vortex breakdown by addition of near-axis swirl. Phys. Fluids 2003, 15, 271–279. [Google Scholar] [CrossRef]
- Zheltovodov, A.; Pimonov, E.; Knight, D. Supersonic Vortex Breakdown Control by Energy Deposition. In Proceedings of the 43rd AIAA Aerospace Sciences Meeting and Exhibit, Reno, NV, USA, 10–13 January 2005; p. 1048. [Google Scholar]
- Mitchell, A.M.; Delery, J. Research into vortex breakdown control. Prog. Aerosp. Sci. 2001, 37, 385–418. [Google Scholar] [CrossRef]
- Li, G.; Jiang, X. Effects of electrical parameters on the performance of a plasma swirler. Phys. Scr. 2019, 94, 095601. [Google Scholar] [CrossRef]
- Li, G.; Shao, W.; Xu, Y.; Hu, H.; Liu, Y.; Nie, C.; Zhu, J. Swirl diffusion flame control by the plasma swirler. Sci. China Ser. E Technol. Sci. 2011, 54, 1820–1825. [Google Scholar] [CrossRef]
- Li, G.; Jiang, X.; Zhao, Y.; Liu, C.; Chen, Q.; Xu, G.; Liu, F. Jet flow and premixed jet flame control by plasma swirler. Phys. Lett. A 2017, 381, 1158–1162. [Google Scholar] [CrossRef]
- Li, G.; Jiang, X.; Zhu, J.; Yang, J.; Liu, C.; Mu, Y.; Xu, G. Combustion control using a lobed swirl injector and a plasma swirler. Appl. Therm. Eng. 2019, 152, 92–102. [Google Scholar] [CrossRef]
- Li, G.; Jiang, X.; Chen, Q.; Wang, Z. Flame lift-off height control by a combined vane-plasma swirler. J. Phys. D Appl. Phys. 2018, 51, 345205. [Google Scholar] [CrossRef]
- Li, G.; Jiang, X.; Jiang, L.; Lei, Z.; Zhu, J.; Mu, Y.; Xu, G. Design and experimental evaluation of a plasma swirler with helical shaped actuators. Sens. Actuators A Phys. 2020, 315, 112250. [Google Scholar] [CrossRef]







| Test Case | Actuator Status | Waveform Type | Voltage Amplitude (kV) | Voltage Frequency (kHz) | Power Inputs (W) |
|---|---|---|---|---|---|
| 1 | OFF | - | - | - | - |
| 2 | ON | Sinusoidal | 12 | 9 | 31 |
| 3 | ON | Sinusoidal | 15 | 9 | 45 |
| 4 | ON | Sinusoidal | 18 | 9 | 60 |
| 5 | ON | Sinusoidal | 21 | 9 | 76 |
Publisher’s Note: MDPI stays neutral with regard to jurisdictional claims in published maps and institutional affiliations. |
© 2021 by the authors. Licensee MDPI, Basel, Switzerland. This article is an open access article distributed under the terms and conditions of the Creative Commons Attribution (CC BY) license (https://creativecommons.org/licenses/by/4.0/).
Share and Cite
Li, G.; Jiang, X.; Du, W.; Yang, J.; Liu, C.; Mu, Y.; Xu, G. Vortex Breakdown Control by the Plasma Swirl Injector. Appl. Sci. 2021, 11, 5537. https://doi.org/10.3390/app11125537
Li G, Jiang X, Du W, Yang J, Liu C, Mu Y, Xu G. Vortex Breakdown Control by the Plasma Swirl Injector. Applied Sciences. 2021; 11(12):5537. https://doi.org/10.3390/app11125537
Chicago/Turabian StyleLi, Gang, Xi Jiang, Wei Du, Jinhu Yang, Cunxi Liu, Yong Mu, and Gang Xu. 2021. "Vortex Breakdown Control by the Plasma Swirl Injector" Applied Sciences 11, no. 12: 5537. https://doi.org/10.3390/app11125537
APA StyleLi, G., Jiang, X., Du, W., Yang, J., Liu, C., Mu, Y., & Xu, G. (2021). Vortex Breakdown Control by the Plasma Swirl Injector. Applied Sciences, 11(12), 5537. https://doi.org/10.3390/app11125537

