Cyclic Tests and Numerical Analyses on Bolt-Connected Precast Reinforced Concrete Deep Beams
Abstract
1. Introduction
2. Materials and Methods
2.1. Material Properties
2.2. Test Specimens
2.3. Setup and Measurements of Test Specimens
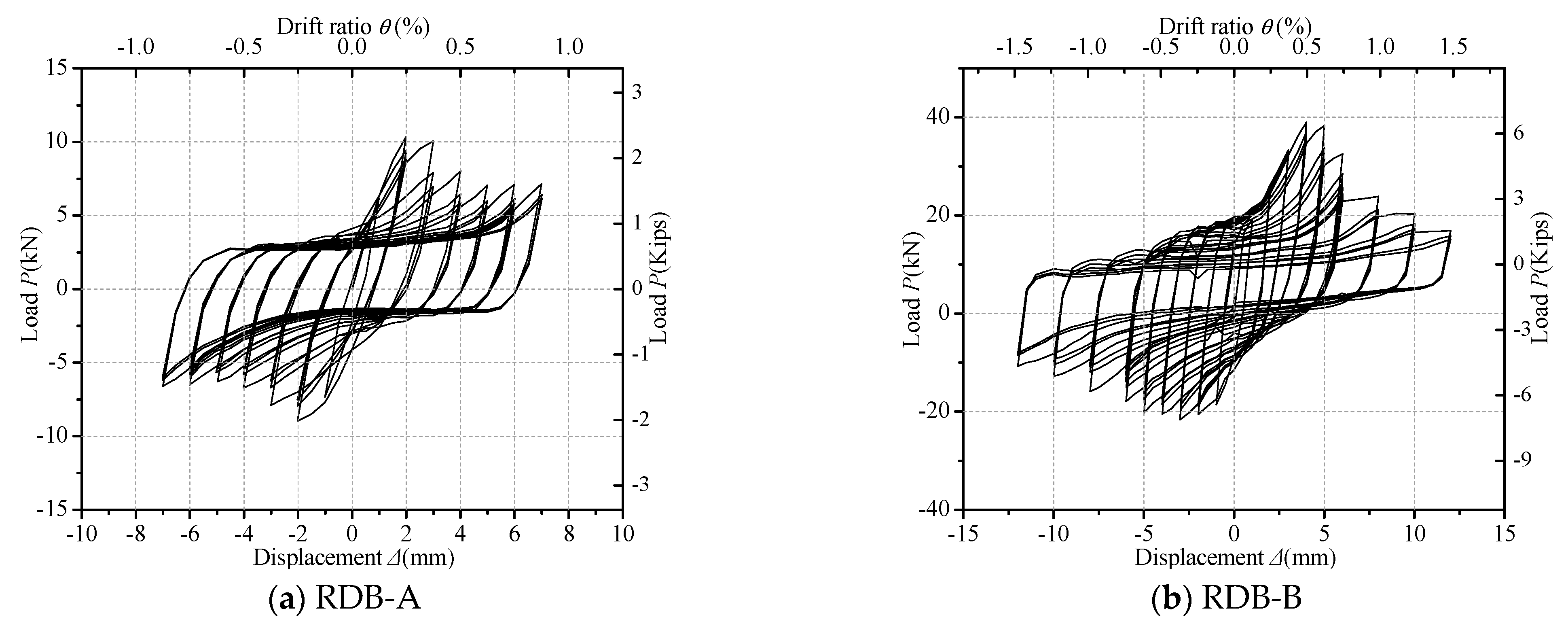
3. Test Results
3.1. Failure Mode and Hysteretic Behavior
3.2. Ductility and Energy Dissipation
3.3. Elastic Stiffness
3.4. Mechanical Behavior of the Bolt Connection
4. Numerical Study
4.1. Validation of Finite Element Model
4.2. Parametric Analysis Study
5. Conclusions and Discussions
- (1)
- The first crack formed at the corner of RDB-A due to large normal stress, but the first crack of RDB-B formed at the center region due to large shear stress. Besides, the RDB-A failed with a bending–shear failure mode for both typical horizontal and diagonal cracks that developed in the RDB-A; while the RDB-B failed with a shear dominating failure mode, as only diagonal cracks were observed in RDB-B. This indicates the bending–shear dominated mechanical behavior of RDB-A and the shear dominated mechanical behavior of RDB-B;
- (2)
- By comparing the RDB with the height-to-length ratio of 2.0, the ultimate capacity, initial lateral stiffness and displacement-based ductility of the RDB with a height-to-length ratio of 0.75 increased 277%, 429% and 141%, respectively. This indicates that the height-to-length ratio is a good choice to adjust the capacity and stiffness of RDB to cater to the performance requirement of building structures;
- (3)
- According to the parametric analysis, the shear resistance, elastic lateral stiffness and displacement-based ductility are significantly enhanced when decreasing the height-to-length ratio of RDB, which is similar to the test results. The height-to-thickness ratio shows a general influence on the seismic performance of RDBs, but the effect of concrete strength on the seismic performance of RDBs is relatively small.
Author Contributions
Funding
Institutional Review Board Statement
Informed Consent Statement
Data Availability Statement
Acknowledgments
Conflicts of Interest
Nomenclature
| Py | yield strength; |
| Δy | yield displacement; |
| φy | yield drift ratio; |
| Pmax | maximum strength; |
| Δmax | maximum displacement; |
| φmax | maximum drift ratio; |
| μΔ | displacement ductility coefficient; |
| E | energy dissipation coefficient; |
| F | lateral force of the RDBs; |
| h | effective height of the RDBs; |
| l | effective length of the RDBs; |
| t | effective thickness of the RDBs; |
| Δw | lateral displacement of the RDBs; |
| ΔwM | bending deformation of the RDBs; |
| ΔwV | shearing deformation of the RDBs; |
| Iw | moment of inertia of the RDBs; |
| Ec | elastic modulus of the concrete; |
| G | elastic shear modulus of the concrete; |
| A | cross-section area of the RDBs; |
| Ke | elastic stiffness of the RDBs; |
| Ke-theoretical | theoretical elastic stiffness of the RDBs; |
| Ke-experimental | experimental elastic stiffness of the RDBs; |
| Vw | shear force of the RDBs; |
| Nv | shear force of a bolt due to lateral load; |
| n | the number of bolts; |
| Nm | shear force of a bolt due to bending moment; |
| D | distance between bolt connections; |
| NvuI | friction force of the high strength bolts at phase I; |
| NvuII | ultimate shear resistance of the high strength bolts at phase II; |
| nf | the number of frictional faces; |
| μ | anti-sliding coefficient; |
| P | pre-tensile force of the high strength bolts; |
| d0 | clear diameter of the bolts; |
| fv | yield shear strength of the bolts; |
| α | height-to-length ratio; |
| β | height-to-thickness ratio. |
References
- Tong, X.; Hajjar, J.F.; Schultz, A.E.; Shield, C.K. Cyclic behavior of steel frame structures with composite reinforced concrete infill walls and partially-restrained connections. J. Constr. Steel Res. 2005, 61, 531–552. [Google Scholar] [CrossRef]
- Wallace, J.W. Behavior, design, and modeling of structural walls and coupling beams—Lessons from recent laboratory tests and earthquakes. Int. J. Concr. Struct. Mater. 2012, 6, 3–18. [Google Scholar] [CrossRef]
- Xu, W.; Yang, X.; Wang, F. Experimental investigation on the seismic behavior of newly-developed precast reinforced concrete block masonry shear walls. Appl. Sci. 2018, 8, 1071. [Google Scholar] [CrossRef]
- Sun, L.; Guo, H.; Liu, Y. Experimental Study on Seismic Behavior of Steel Frames with Infilled Recycled Aggregate Concrete Shear Walls. Appl. Sci. 2019, 9, 4723. [Google Scholar] [CrossRef]
- Magliulo, G.; Ercolino, M.; Cimmino, M.; Capozzi, V.; Manfredi, G. Cyclic shear test on a dowel beam-to-column connection of precast buildings. Earthq. Struct. 2015, 9, 541–562. [Google Scholar] [CrossRef]
- Fischinger, M.; Kante, P.; Isakovic, T. Shake-Table Response of a Coupled RC Wall with Thin T-Shaped Piers. J. Struct. Eng. 2017, 143, 04017004. [Google Scholar] [CrossRef]
- Brunesi, E.; Peloso, S.; Pinho, R.; Nascimbene, R. Cyclic tensile testing of a three-way panel connection for precast wall-slab-wall structures. Struct. Concr. 2019, 20, 1307–1315. [Google Scholar] [CrossRef]
- Jiang, L.; Zheng, H.; Hu, Y. Experimental seismic performance of steel- and composite steel-panel wall strengthened steel frames. Arch. Civ. Mech. Eng. 2017, 17, 520–534. [Google Scholar] [CrossRef]
- Ju, R.-S.; Lee, H.-J.; Chen, C.-C.; Tao, C.-C. Experimental study on separating reinforced concrete infill walls from steel moment frames. J. Constr. Steel Res. 2012, 71, 119–128. [Google Scholar] [CrossRef]
- Gribniak, V.; Misiūnaitė, I.; Rimkus, A.; Sokolov, A.; Šapalas, A. Deformations of FRP–Concrete Composite Beam: Experiment and Numerical Analysis. Appl. Sci. 2019, 9, 5164. [Google Scholar] [CrossRef]
- Salih, R.; Zhou, F.; Abbas, N.; Mastoi, A.K. Experimental Investigation of Reinforced Concrete Beam with Openings Strengthened Using FRP Sheets under Cyclic Load. Materials 2020, 13, 3127. [Google Scholar] [CrossRef]
- Kahn, L.F.; Hanson, R.D. Infilled Walls for Earthquake Strengthening. J. Struct. Div. 1979, 105, 283–296. [Google Scholar] [CrossRef]
- Horii, H.; Kabele, P.; Takeuchi, S. On the Prediction Method for the Structural Performance of Repaired/Retrofitted Structures, Fracture Mechanics in Concrete Structures: Proceedings of FRAMCOS-3; AEDIFICATIO Publishers: Freiburg, Germany, 1998. [Google Scholar]
- Kesner, K.E.; Bilington, S.L. Investigation of infill panels made from engineered cementitious composites for seismic strengthening and retrofit. J. Struct. Eng. 2015, 131, 1712–1720. [Google Scholar] [CrossRef]
- Yanagisawa, M. An experimental study on structural performance of RC frame with non-structural slit wall-part 1 result of test. Proc. Architect. Inst. Jpn. 2008, 48, 261–264. (In Japanese) [Google Scholar]
- Hong, S.-G.; Cho, B.-H.; Chung, K.-S.; Moon, J.-H. Behavior of framed modular building system with double skin steel panels. J. Constr. Steel Res. 2011, 67, 936–946. [Google Scholar] [CrossRef]
- Jiang, L.; Zheng, H.; Liu, Y.; Yuan, X. Experimental investigation of composite steel plate deep beam infill steel frame. Int. J. Steel Struct. 2014, 14, 479–488. [Google Scholar] [CrossRef]
- Jiang, L.; Zheng, H.; Hu, Y. Effects of configuration parameters on seismic performance of steel frames equipped with composite steel panel wall. Struct. Des. Tall Spéc. Build. 2018, 27, e1542. [Google Scholar] [CrossRef]
- Jiang, L.; Jiang, L.; Hu, Y.; Ye, J.; Zheng, H. Seismic life-cycle cost assessment of steel frames equipped with steel panel walls. Eng. Struct. 2020, 211, 110399. [Google Scholar] [CrossRef]
- Jiang, L.; Jiang, L.; Ye, J.; Zheng, H. Macroscopic modelling of steel frames equipped with bolt-connected reinforced concrete panel wall. Eng. Struct. 2020, 213, 110549. [Google Scholar] [CrossRef]
- Lim, W.-Y.; Hong, S.-G. Cyclic loading tests for precast concrete cantilever walls with C-type connections. Earthq. Struct. 2014, 7, 753–777. [Google Scholar] [CrossRef]
- Singhal, S.; Chourasia, A.; Chellappa, S.; Parashar, J. Precast reinforced concrete shear walls: State of the art review. Struct. Concr. 2019, 20, 886–898. [Google Scholar] [CrossRef]
- Zoubek, B.; Fischinger, M.; Isaković, T. Cyclic response of hammer-head strap cladding-to-structure connections used in RC precast building. Eng. Struct. 2016, 119, 135–148. [Google Scholar] [CrossRef]
- Jiang, H.; Qiu, H.; Sun, J.; Yang, Y. Behavior of steel–concrete composite bolted connector in precast reinforced concrete shear wall. Adv. Struct. Eng. 2019, 22, 2572–2582. [Google Scholar] [CrossRef]
- Seifi, P.; Henry, R.S.; Ingham, J.M. In-plane cyclic testing of precast concrete wall panels with grouted metal duct base connections. Eng. Struct. 2019, 184, 85–98. [Google Scholar] [CrossRef]
- Kinnane, O.; West, R.; Hegarty, R.O. Structural shear performance of insulated precast concrete sandwich panels with steel plate connectors. Eng. Struct. 2020, 215, 110691. [Google Scholar] [CrossRef]
- GB/T 50081—Standard for Test Method of Mechanical Properties on Ordinary Concrete; Chinese Architecture & Building Press: Beijing, China, 2002.
- JGJ 101—Specification of Testing Methods for Earthquake Resistant Building; Chinese Architecture & Building Press: Beijing, China, 1997.
- Mansour, M.; El-Ariss, B.; El-Maaddawy, T. Effect of Support Conditions on Performance of Continuous Reinforced Concrete Deep Beams. Buildings 2020, 10, 212. [Google Scholar] [CrossRef]













| Material | Item | Result |
|---|---|---|
| Concrete | Average cube compressive strength, fcu | 45.3 MPa |
| Reinforcing bars | Diameter, D | 7.8 mm |
| Yield strength, fy | 237.0 MPa | |
| Tensile strength, fu | 536.7 MPa | |
| Elastic modulus, Es | 207.2 × 103 MPa | |
| Elongation ratio, Δ | 36.6% |
| Test Specimen | Yield Value | Maximum Value | Ductility Value μΔ = Δmax/Δy | ||||
|---|---|---|---|---|---|---|---|
| Py (kN) | Δy (mm) | φy (%) | Pmax (kN) | Δmax (mm) | φmax (%) | ||
| RDB-A | 9.23 | 3.07 | 0.34 | 10.35 | 3.63 | 0.40 | 1.18 |
| RDB-B | 25.69 | 2.08 | 0.23 | 39.06 | 5.90 | 0.65 | 2.84 |
| Specimen | Elastic Lateral Stiffness (kN/mm) | Error | |
|---|---|---|---|
| Ke-theoretical | Ke-experimental | ||
| RDB-A | 13.08 | 11.06 | 15.4% |
| RDB-B | 69.71 | 58.48 | 16.1% |
| Specimens | Effects | h/mm | t/mm | l/mm | Concrete | Parameters | |
|---|---|---|---|---|---|---|---|
| α | β | ||||||
| RDB-1 | Height-to-length ratio of RDB (α = h/l) | 900 | 60 | 450 | C30 | 2.0 | 15 |
| RDB-2 | 900 | 60 | 600 | C30 | 1.5 | 15 | |
| RDB-3 | 900 | 60 | 750 | C30 | 1.2 | 15 | |
| RDB-4 | 900 | 60 | 900 | C30 | 1.0 | 15 | |
| RDB-5 | 900 | 60 | 1050 | C30 | 0.75 | 15 | |
| RDB-6 | Strength of concrete material | 900 | 60 | 600 | C25 | 1.2 | 15 |
| RDB-7 | 900 | 60 | 600 | C35 | 1.2 | 15 | |
| RDB-8 | Height-to-thickness ratio (β = h/t) | 900 | 80 | 600 | C30 | 1.5 | 11.25 |
| RDB-9 | 900 | 100 | 600 | C30 | 1.5 | 9 | |
Publisher’s Note: MDPI stays neutral with regard to jurisdictional claims in published maps and institutional affiliations. |
© 2021 by the authors. Licensee MDPI, Basel, Switzerland. This article is an open access article distributed under the terms and conditions of the Creative Commons Attribution (CC BY) license (https://creativecommons.org/licenses/by/4.0/).
Share and Cite
Li, J.; Jiang, L.; Zheng, H.; Jiang, L.; Zhou, L. Cyclic Tests and Numerical Analyses on Bolt-Connected Precast Reinforced Concrete Deep Beams. Appl. Sci. 2021, 11, 5356. https://doi.org/10.3390/app11125356
Li J, Jiang L, Zheng H, Jiang L, Zhou L. Cyclic Tests and Numerical Analyses on Bolt-Connected Precast Reinforced Concrete Deep Beams. Applied Sciences. 2021; 11(12):5356. https://doi.org/10.3390/app11125356
Chicago/Turabian StyleLi, Jing, Lizhong Jiang, Hong Zheng, Liqiang Jiang, and Lingyu Zhou. 2021. "Cyclic Tests and Numerical Analyses on Bolt-Connected Precast Reinforced Concrete Deep Beams" Applied Sciences 11, no. 12: 5356. https://doi.org/10.3390/app11125356
APA StyleLi, J., Jiang, L., Zheng, H., Jiang, L., & Zhou, L. (2021). Cyclic Tests and Numerical Analyses on Bolt-Connected Precast Reinforced Concrete Deep Beams. Applied Sciences, 11(12), 5356. https://doi.org/10.3390/app11125356
