More Than Just Concrete: Acoustically Efficient Porous Concrete with Different Aggregate Shape and Gradation
Abstract
Featured Application
Abstract
1. Introduction
2. Materials and Methods
- (1)
- Selection of different concrete mix design and preparation of samples for the measurements.
- (2)
- Selection of different mounting methods.
- (3)
- Measurement of the frequency-dependent sound absorption αs in the SSRR.
- (4)
- Computation of the weighted sound absorption coefficients as single index αw and comparisons.
2.1. Tested Concretes
2.2. Sound Absorption Coefficient Measurements
3. Results
3.1. Effect of Sample Thickness and Concrete Type
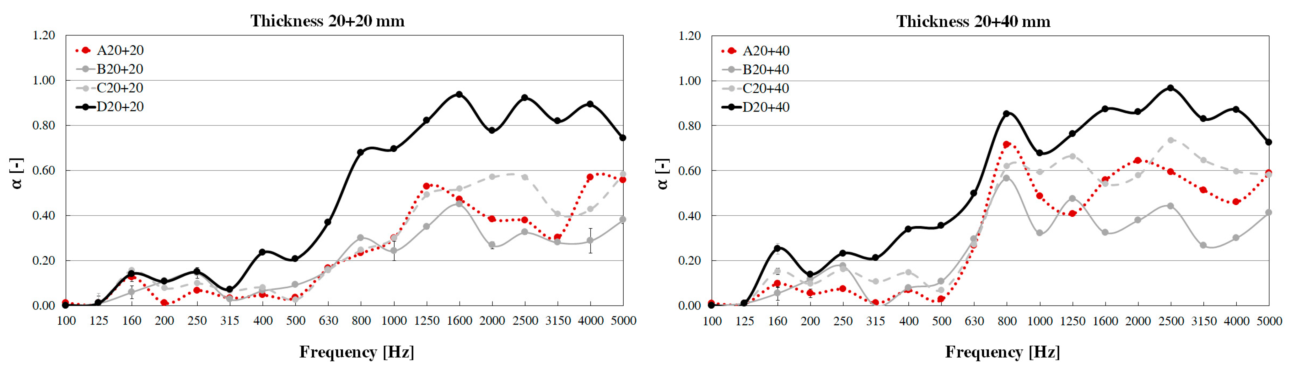
3.2. Effect of Sample Mounting in Multiple Layers
3.3. Effect of Sample Mounting with an Air Gap
Effect of Sample Mounting with an Air Gap Filled with Porous Material
3.4. Single Number Acoustic Index αw
4. Discussion
5. Conclusions
- (i)
- The mix design with the smallest round lightweight aggregate dimensions (0.5–1 mm), referred to as panel D, gave the most effective sound absorption coefficient for all the three sample thicknesses as well as for the mounting condition with an air gap at their back. It was shown that the worst performing mix design feature round lightweight aggregate with the greater dimensions (4–8 mm) referred to as panel B.
- (ii)
- Samples with crushed normal weight aggregates of 4–8 mm, referred to as panel A, showed higher values of absorption coefficients compared to samples with round lightweight aggregates of the same dimensions. The performance is comparable to that of the sample with round lightweight aggregates of smaller gradation (2–4 mm) referred to as panel C. This was attributed to the pores dimensions and inner distribution which affects the pores tortuosity.
- (iii)
- The sound-absorbing performances of the porous concrete panels tend to increase at low frequencies for greater panel thicknesses. In most cases, solutions with single panels or double-layered panels of an equivalent thickness provide similar performances. This mounting solution could be useful in practice for modular solutions and to limit the need for different formwork thicknesses.
- (iv)
- The mounting method is shown to greatly influence the sound-absorbing performances. For all porous concrete types considered, the sound absorption performances are enhanced for lower frequencies by leaving a 50 mm air gap behind the panel. However, the air gap significantly lowers the high frequencies performance of the thinnest samples (20 mm).
- (v)
- The frequency dependent absorption coefficient and the weighted absorption coefficient αw comparisons showed that, depending on the mounting method, the performance of the concrete samples with aggregate dimensions of 0.5–1 mm, i.e., panel D, can be further improved. The αw reaches values 0.50 and 0.75 for the condition with an empty air gap of 50 mm and air gap completely filled with a rock wool layer, respectively. These values are comparable to those of most used conventional porous materials.
Author Contributions
Funding
Institutional Review Board Statement
Informed Consent Statement
Data Availability Statement
Acknowledgments
Conflicts of Interest
Appendix A
| Mix Design Variable | Effect [Refs] | Details | Method | Main Findings |
|---|---|---|---|---|
| Aggregate size | Influence [11] | 0–2 mm/1–5 mm/1–3 mm | Single sized | 1–3 mm and 1–5 mm aggr. result in higher α |
| Influence [19,21] | 2.36–4.75 mm/4.75–9.5 mm/9.5–12 mm | Single sized | Concrete with 2.36–4.75 mm and 4.75–9.5 mm aggr. provide higher α than that with 9.5–12 mm aggr. | |
| Blended | The effect of blending aggr. on α varies depending on the aggr. size. Best performance with blends of 2.36–4.75 mm and 4.75–9.5 mm aggr. | |||
| Limited influence [22] | 4–8 mm/8–12 mm/12–19 mm | Single sized | Slight increase in α for smaller aggr. (4–8 mm) compared to bigger ones | |
| Influence [12,13] | >5 mm/1.25–5 mm/<1.25 mm | Single sized | Concrete with aggr. dimensions >5 mm feature higher α than alternatives with smaller aggr. | |
| Layered | Three-layered solutions with the aggr. dimensions (from exterior layer) of >5 mm/1.25–5 mm/<1.25 mm result in the higher α | |||
| No influence [22] | 8–13 mm/13–19 mm | Layered | The variation of aggr. dimensions in the back layer does not affect the α | |
| Aggregate material | Influence [11] | Expanded perlite/slag/clay ceramsite | Single type | Expanded perlite aggr. provides the highest α with respect to slag and clay ceramsite |
| Expanded perlite/slag | % replacement | The α decrease with the relative increase in content of slag over expanded perlite aggr. | ||
| Layered | The combination of 8 cm slag (lower layer) and 12 cm expanded perlite (upper layer) is the most performing one among those considered | |||
| Influence [22] | LW + NW aggr./only LW aggr. | Layered | Layered solution with LW aggr. in the exterior layer and NW aggr. in the back layer outperform single layer with LW aggr. | |
| Limited influence [22] | NW/LW aggr. | Single type | A slight increase in α is reported for crushed NW aggr. in comparison to rounded LW ones with similar sizes. The results do not seem consistent when varying the thickness of the concrete panel | |
| Influence [13] | Bottom ash vs. normal aggr. | Single type | Bottom ash concrete results in higher or comparable α than a typical porous concrete sample | |
| Influence [23] | Crumb rubber/fine normal aggr. | % replacement | Replacing fine aggr. with crumb rubber ones increase α, for increasing percentages of replacement (up to 20%) | |
| Influence [24] | Bottom ash/recycled/LS aggr. | % replacement | The replacement of LS aggr. with bottom ash and recycled aggr. result in higher α; the 2 nd peak shifts towards the higher frequencies for higher percentages of replacement | |
| No influence [20] | Recycled aggr./LS aggr. | % replacement | With equal target void ratio, the effect of replacing LS aggr. with recycled ones had very slight influence | |
| Influence [25] | Cenosphere addition | Single type | The increase of volume fraction of cenospheres result in increased α from 0 to 20 to 40%; further increases result in lower performance | |
| Aggregate shape | Limited influence [22] | Crushed/rounded aggr. | Single type | A slight increase of α is reported for crushed NW aggregates in comparison to rounded LW ones with similar sizes. The results do not seem consistent when varying the thickness of the concrete panel |
| Thickness | Influence [13,18,21] | Panel thickness variation | Single layer | The peak of the α is displaced to lower frequencies for increasing panel thicknesses |
Appendix B



References
- Sanchez, G.M.E.; Van Renterghem, T.; Thomas, P.; Botteldooren, D. The Effect of Street Canyon Design on Traffic Noise Exposure along Roads. Build. Environ. 2016, 97, 96–110. [Google Scholar] [CrossRef]
- Badino, E.; Manca, R.; Shtrepi, L.; Calleri, C.; Astolfi, A. Effect of Façade Shape and Acoustic Cladding on Reduction of Leisure Noise Levels in a Street Canyon. Build. Environ. 2019, 157, 242–256. [Google Scholar] [CrossRef]
- Calleri, C.; Shtrepi, L.; Armando, A.; Astolfi, A. Evaluation of the Influence of Building Façade Design on the Acoustic Characteristics and Auditory Perception of Urban Spaces. Build. Acoust. 2018, 25, 77–95. [Google Scholar] [CrossRef]
- Taghipour, A.; Sievers, T.; Eggenschwiler, K. Acoustic Comfort in Virtual Inner Yards with Various Building Facades. Int. J. Environ. Res. Public Health 2019, 16, 249. [Google Scholar] [CrossRef] [PubMed]
- Yang, W.; Jeon, J.Y. Design Strategies and Elements of Building Envelope for Urban Acoustic Environment. Build. Environ. 2020, 182. [Google Scholar] [CrossRef]
- Adams, T. Sound Materials; Frame Publisher: Amsterdam, The Netherlands, 2016; ISBN 94-92311-01-1. [Google Scholar]
- Cox, T.J.; D’Antonio, P. Acoustic Absorbers and Diffusers: Theory, Design and Application, 3rd ed.; Taylor & Francis: Abingdon-on-Thames, UK, 2017; ISBN 978-0-367-65841-0. [Google Scholar]
- Neithalath, N.; Weiss, J.; Olek, J. Characterizing Enhanced Porosity Concrete Using Electrical Impedance to Predict Acoustic and Hydraulic Performance. Cem. Concr. Res. 2006, 36, 2074–2085. [Google Scholar] [CrossRef]
- Ibrahim, A.; Mahmoud, E.; Yamin, M.; Patibandla, V.C. Experimental Study on Portland Cement Pervious Concrete Mechanical and Hydrological Properties. Constr. Build. Mater. 2014, 50, 524–529. [Google Scholar] [CrossRef]
- Scholz, M.; Grabowiecki, P. Review of Permeable Pavement Systems. Build. Environ. 2007, 42, 3830–3836. [Google Scholar] [CrossRef]
- Zhao, C.; Wang, P.; Wang, L.; Liu, D. Reducing Railway Noise with Porous Sound-Absorbing Concrete Slabs. Adv. Mater. Sci. Eng. 2014, 2014, 1–11. [Google Scholar] [CrossRef]
- Arenas, C.; Vilches, L.F.; Cifuentes, H.; Leiva, C.; Vale, J.; Fernández-Pereira, C. Development of Acoustic Barriers Mainly Composed of Co-Combustion Bottom Ash. In Proceedings of the World of Coal Ash (WOCA) Conference, Denver, CO, USA, 9–12 May 2011. [Google Scholar]
- Arenas, C.; Leiva, C.; Vilches, L.F.; Cifuentes, H. Use of Co-Combustion Bottom Ash to Design an Acoustic Absorbing Material for Highway Noise Barriers. Waste Manag. 2013, 33, 2316–2321. [Google Scholar] [CrossRef] [PubMed]
- ACI Committee 522-10. Report on Pervious Concrete; American Concrete Institute: Farmington Hills, MI, USA, 2010; ISBN 978-0-87031-364-6. [Google Scholar]
- Kovác, M.; Sicáková, A. Pervious Concrete as a Sustainable Solution for Pavementsin Urban Areas. In Proceedings of the 10th International Conference “Environmental Engineering”; VGTU Technika, Vilnius, Lithuania, 27–28 April 2017. [Google Scholar]
- Kosmatka, S.H.; Wilson, M.L. Design and Control. of Concrete Mixtures, 15th ed.; Portland Cement Association: Skokie, IL, USA, 2011; Volume EB001, ISBN 0-89312-272-6. [Google Scholar]
- Tie, T.S.; Mo, K.H.; Putra, A.; Loo, S.C.; Alengaram, U.J.; Ling, T.-C. Sound Absorption Performance of Modified Concrete: A Review. J. Build. Eng. 2020, 30, 101219. [Google Scholar] [CrossRef]
- Neithalath, N. Development and Characterization of Acoustically Efficient Cementitious Materials. Ph.D. Thesis, Purdue University, West Lafayette, IN, USA, 2004. [Google Scholar]
- Neithalath, N.; Weiss, J.; Olek, J. Improving the Acoustic Absorption of Enhanced Porosity Concrete with Fiber Reinforcement. In Proceedings of the International RILEM Symposium on Concrete Science and Engineering: A Tribute to Arnon Bentur, Evanston, IL, USA, 21–24 March 2004; Kovler, K., Marchand, J., Mindess, S., Weiss, J., Eds.; RILEM Publications SARL: Paris, France, 2004. [Google Scholar]
- Park, S.B.; Seo, D.S.; Lee, J. Studies on the Sound Absorption Characteristics of Porous Concrete Based on the Content of Recycled Aggregate and Target Void Ratio. Cem. Concr. Res. 2005, 35, 1846–1854. [Google Scholar] [CrossRef]
- Marolf, A.; Neithalath, N.; Sell, E.; Wegner, K.; Weiss, J.; Olek, J. Influence of Aggregate Size and Gradation on Acoustic Absorption of Enhanced Porosity Concrete. ACI Mater. J. 2004, 101, 82–91. [Google Scholar]
- Kim, H.K.; Lee, H.K. Influence of Cement Flow and Aggregate Type on the Mechanical and Acoustic Characteristics of Porous Concrete. Appl. Acoust. 2010, 71, 607–615. [Google Scholar] [CrossRef]
- Sukontasukkul, P. Use of Crumb Rubber to Improve Thermal and Sound Properties of Pre-Cast Concrete Panel. Constr. Build. Mater. 2009, 23, 1084–1092. [Google Scholar] [CrossRef]
- Ngohpok, C.; Sata, V.; Satiennam, T.; Klungboonkrong, P.; Chindaprasirt, P. Mechanical Properties, Thermal Conductivity, and Sound Absorption of Pervious Concrete Containing Recycled Concrete and Bottom Ash Aggregates. KSCE J. Civ. Eng. 2018, 22, 1369–1376. [Google Scholar] [CrossRef]
- Tiwari, V.; Shukla, A.; Bose, A. Acoustic Properties of Cenosphere Reinforced Cement and Asphalt Concrete. Appl. Acoust. 2004, 65, 263–275. [Google Scholar] [CrossRef]
- Fediuk, R.; Amran, M.; Vatin, N.; Vasilev, Y.; Lesovik, V.; Ozbakkaloglu, T. Acoustic Properties of Innovative Concretes: A Review. Materials 2021, 14, 398. [Google Scholar] [CrossRef]
- EN 933-2:2020. Tests for Geometrical Properties of Aggregates. Part. 2: Determination of Particle Size Distribution-Test. Sieves, Nominal Size of Apertures; The British Standards Institution: London, UK, 2020. [Google Scholar]
- EN 1097-6:2013. Tests for Mechanical and Physical Properties of Aggregates. Part. 6: Determination of Particle Density and Water Absorption; The British Standards Institution: London, UK, 2013. [Google Scholar]
- ASTM C1754/C1754M. Standard Test. Method for Density and Void Content of Hardened Pervious Concrete; ASTM International: West Conshohocken, PA, USA, 2012. [Google Scholar]
- EN 12390-5:2019. Testing Hardened Concrete. Part 5: Flexural Strength of Test. Specimens; The British Standards Institution: London, UK, 2019. [Google Scholar]
- ASTM D2434−19. Test. Method for Permeability of Granular Soils (Constant Head); ASTM International: West Conshohocken, PA, USA, 2019. [Google Scholar]
- ISO 354:2003. Acoustics-Measurement of Sound Absorption in a Reverberation Room; International Organization for Standardization: Geneva, Switzerland, 2003. [Google Scholar]
- ISO 17497-1:2004. Acoustics-Sound-Scattering Properties of Surfaces. Part 1: Measurement of the Random-Incidence Scattering Coefficient in a Reverberation Room; International Organization for Standardization: Geneva, Switzerland, 2004. [Google Scholar]
- Shtrepi, L.; Astolfi, A.; D’Antonio, G.; Vannelli, G.; Barbato, G.; Mauro, S.; Prato, A. Accuracy of the Random-Incidence Scattering Coefficient Measurement. Appl. Acoust. 2016, 106, 23–35. [Google Scholar] [CrossRef]
- Shtrepi, L.; Prato, A. Towards a Sustainable Approach for Sound Absorption Assessment of Building Materials: Validation of Small-Scale Reverberation Room Measurements. Appl. Acoust. 2020, 165, 107304. [Google Scholar] [CrossRef]
- ITA-Toolbox for MATLAB® v.R2018b; Developed at the Institute of Technical Acoustics at RWTH Aachen University; RWTH Aachen University: Aachen, Genmary, 2018.
- ISO 9613-1:1993. Acoustics-Attenuation of Sound during Propagation Outdoors. Part 1: Calculation of the Absorption of Sound by the Atmosphere; International Organization for Standardization: Geneva, Switzerland, 1993. [Google Scholar]
- Bartel, T.W. Effect of Absorber Geometry on Apparent Absorption Coefficients as Measured in a Reverberation Chamber. J. Acoust. Soc. Am. 1981, 69, 1065–1074. [Google Scholar] [CrossRef]
- Embleton, T.F.W. Absorption Coefficients of Surfaces Calculated from Decaying Sound Fields. J. Acoust. Soc. Jpn. 1971, 50. [Google Scholar] [CrossRef]
- Scrosati, C. Towards More Reliable Measurements of Sound Absorption Coefficient in Reverberation Rooms: An Inter-Laboratory Test. Appl. Acoust. 2020, 165, 107298. [Google Scholar] [CrossRef]
- ISO 11654:1997. Acoustics-Sound Absorbers for Use in Buildings–Rating of Sound Absorption; International Organization for Standardization: Geneva, Switzerland, 1997. [Google Scholar]
- Ahmad, S.; Azad, A.K.; Loughlin, K.F. A Study of Permeability and Tortuosity of Concrete. In Proceedings of the 30th Conference on Our World in Concrete and Structures (OWICS), Singapore, 23–24 August 2005. [Google Scholar]
- Liu, Z.; Zhan, J.; Fard, M.; Davy, J.L. Acoustic Properties of Multilayer Sound Absorbers with a 3D Printed Micro-Perforated Panel. Appl. Acoust. 2017, 121, 25–32. [Google Scholar] [CrossRef]
- Maa, D.-Y. Microperforated-Panel Wideband Absorbers. Noise Control Eng. J. 1987, 29, 77–84. [Google Scholar] [CrossRef]
- Kim, H.K.; Lee, H.K. Acoustic Absorption Modeling of Porous Concrete Considering the Gradation and Shape of Aggregates and Void Ratio. J. Sound Vib. 2010, 329, 866–879. [Google Scholar] [CrossRef]
- Kephalopoulos, S.; Paviotti, M.; Anfosso-Lédée, F. Common Noise Assessment Methods in Europe (CNOSSOS-EU); Publications Office of the European Union: Luxembourg, 2012. [Google Scholar]
- Calleri, C.; Astolfi, A.; Shtrepi, L.; Prato, A.; Schiavi, A.; Zampini, D.; Volpatti, G. Characterization of the Sound Insulation Properties of a Two-Layers Lightweight Concrete Innovative Façade. Appl. Acoust. 2019, 145, 267–277. [Google Scholar] [CrossRef]
- Kousis, I.; Pisello, A.L. For the Mitigation of Urban Heat Island and Urban Noise Island: Two Simultaneous Sides of Urban Discomfort. Environ. Res. Lett. 2020, 15, 103004. [Google Scholar] [CrossRef]








| Concretes | Aggregate Typology | Aggregate Size [mm] | Aggregate Particle Density [kg/m3] | Void Ratio [%] | Flexural Strength [MPa] | Pervious Concrete Density [kg/m3] | Water Permeability [mm/s] |
|---|---|---|---|---|---|---|---|
| A | crushed normal weight aggregates | 4–8 | 2650 ± 30 | 25 ± 2 | 3.5 ± 0.5 | 1955 ± 20 | 9.5 ± 1.1 |
| B | round lightweight aggregates | 4–8 | 905 ± 85 | 25 ± 3 | 1.5 ± 0.3 | 932 ± 35 | 10.9 ± 1.7 |
| C | round lightweight aggregates | 2–4 | 325 ± 35 | 25 ± 2 | 1 ± 0.2 | 514 ± 20 | 7.4 ± 0.9 |
| D | round lightweight aggregates | 0.5–1 | 510 ± 70 | 20 ± 2 | 0.5 ± 0.1 | 682 ± 15 | 3.6 ± 0.5 |
| Concrete Type | Overall Thickness [mm] | Layer Thickness [mm] | Air Gap 50 mm | Rock Wool Thickness [mm] | |
|---|---|---|---|---|---|
| Single Layer | Multiple Layers | ||||
| A | 20 | 20 | + | - | |
| 40 | 40 | 20 + 20 | + | - | |
| 60 | 60 | 20 + 40 | - | - | |
| B | 20 | 20 | + | - | |
| 40 | 40 | 20 + 20 | + | - | |
| 60 | 60 | 20 + 40 | - | - | |
| C | 20 | 20 | + | - | |
| 40 | 40 | 20 + 20 | + | - | |
| 60 | 60 | 20 + 40 | - | - | |
| D | 20 | 20 | + | - | |
| 30 | |||||
| 50 | |||||
| 40 | 40 | 20 + 20 | + | - | |
| 60 | 60 | 20 + 40 | - | - | |
| Sample Characteristics | A | B | C | D |
|---|---|---|---|---|
| 20 mm | 0.10 | 0.10 | 0.10 | 0.20 |
| 40 mm | 0.15 | 0.25 | 0.15 | 0.30 |
| 60 mm | 0.25 | 0.25 | 0.25 | 0.45 |
| 20 + 20 mm | 0.15 | 0.25 | 0.15 | 0.30 |
| 20 + 40 mm | 0.20 | 0.25 | 0.25 | 0.40 |
| 20 mm + 50 mm air gap | 0.20 | 0.10 | 0.35 | 0.50 |
| 40 mm + 50 mm air gap | 0.20 | 0.10 | 0.30 | 0.50 |
| 20 mm + 50 mm air gap (rock wool 30 mm) | 0.70 | |||
| 20 mm + 50 mm air gap (rock wool 50 mm) | 0.75 |
Publisher’s Note: MDPI stays neutral with regard to jurisdictional claims in published maps and institutional affiliations. |
© 2021 by the authors. Licensee MDPI, Basel, Switzerland. This article is an open access article distributed under the terms and conditions of the Creative Commons Attribution (CC BY) license (https://creativecommons.org/licenses/by/4.0/).
Share and Cite
Shtrepi, L.; Astolfi, A.; Badino, E.; Volpatti, G.; Zampini, D. More Than Just Concrete: Acoustically Efficient Porous Concrete with Different Aggregate Shape and Gradation. Appl. Sci. 2021, 11, 4835. https://doi.org/10.3390/app11114835
Shtrepi L, Astolfi A, Badino E, Volpatti G, Zampini D. More Than Just Concrete: Acoustically Efficient Porous Concrete with Different Aggregate Shape and Gradation. Applied Sciences. 2021; 11(11):4835. https://doi.org/10.3390/app11114835
Chicago/Turabian StyleShtrepi, Louena, Arianna Astolfi, Elena Badino, Giovanni Volpatti, and Davide Zampini. 2021. "More Than Just Concrete: Acoustically Efficient Porous Concrete with Different Aggregate Shape and Gradation" Applied Sciences 11, no. 11: 4835. https://doi.org/10.3390/app11114835
APA StyleShtrepi, L., Astolfi, A., Badino, E., Volpatti, G., & Zampini, D. (2021). More Than Just Concrete: Acoustically Efficient Porous Concrete with Different Aggregate Shape and Gradation. Applied Sciences, 11(11), 4835. https://doi.org/10.3390/app11114835

