Conditional Measurements with Silicon Photomultipliers
Abstract
1. Introduction
2. Materials and Methods
2.1. Theoretical Description
2.1.1. Detected-Event Statistics of a TWB in the Presence of the OCT
2.1.2. Detected-Event Statistics after Post-Selection
2.1.3. Nonclassicality
2.2. Experimental Setup and Detection Apparatus
3. Results
3.1. The Effects of the OCT on the Photon-Number Statistics of the TWB
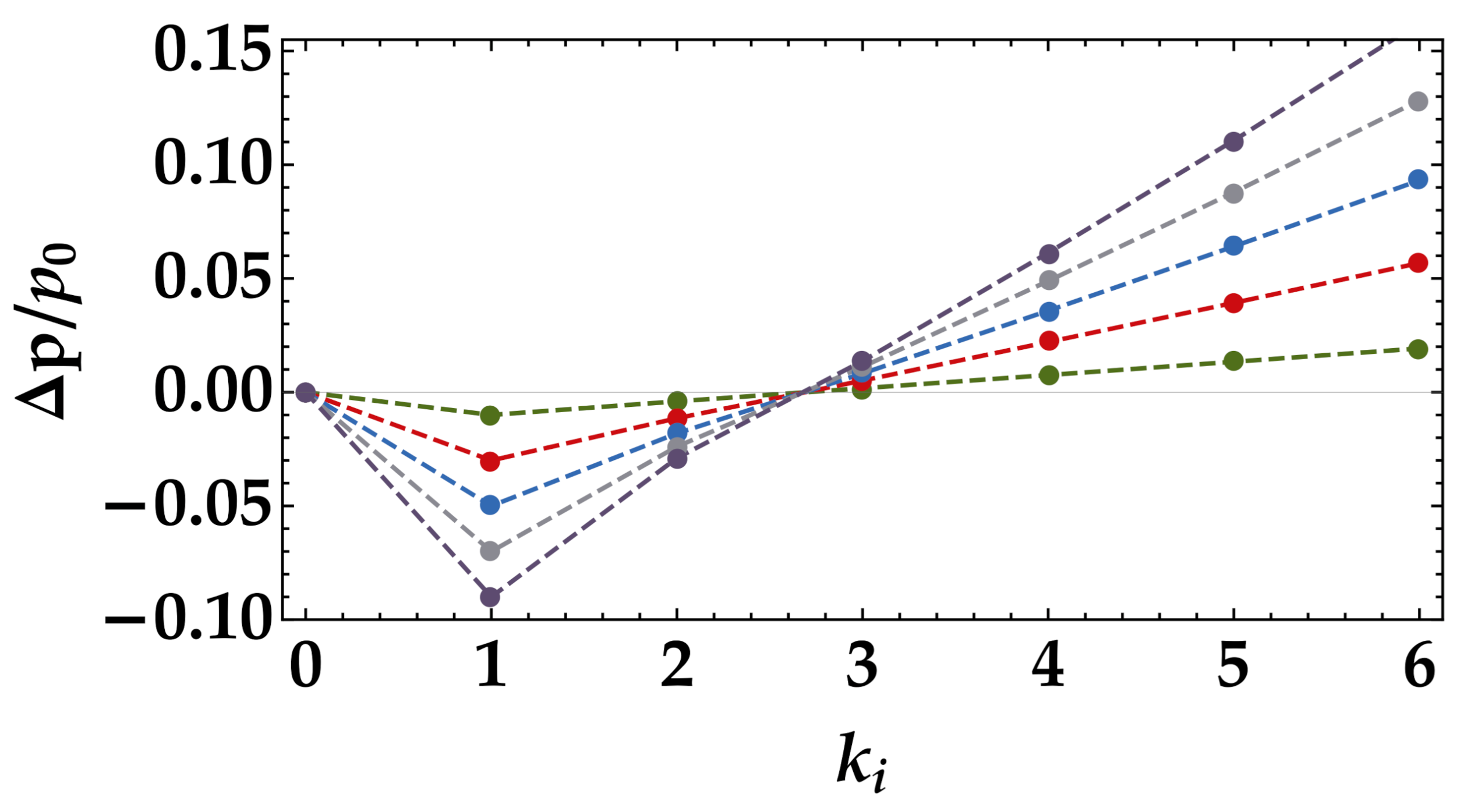
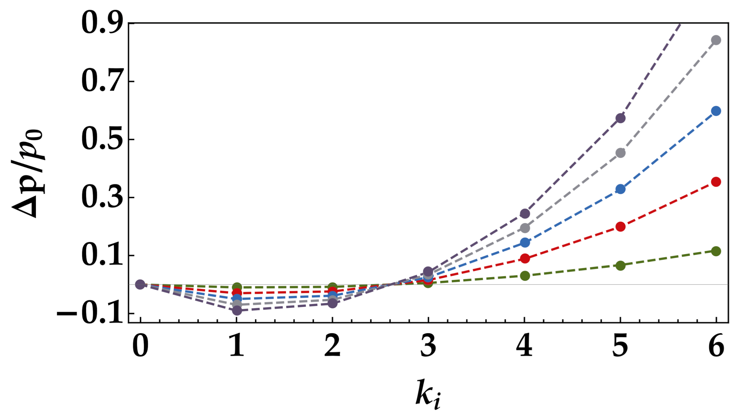
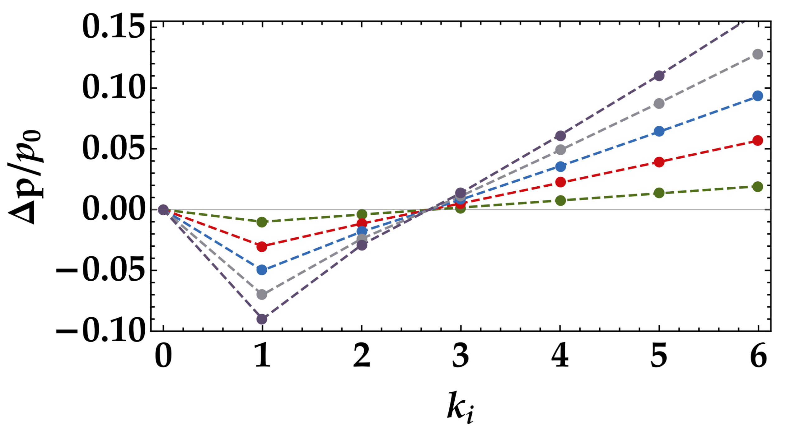
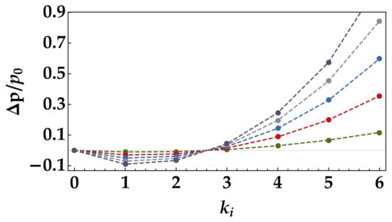
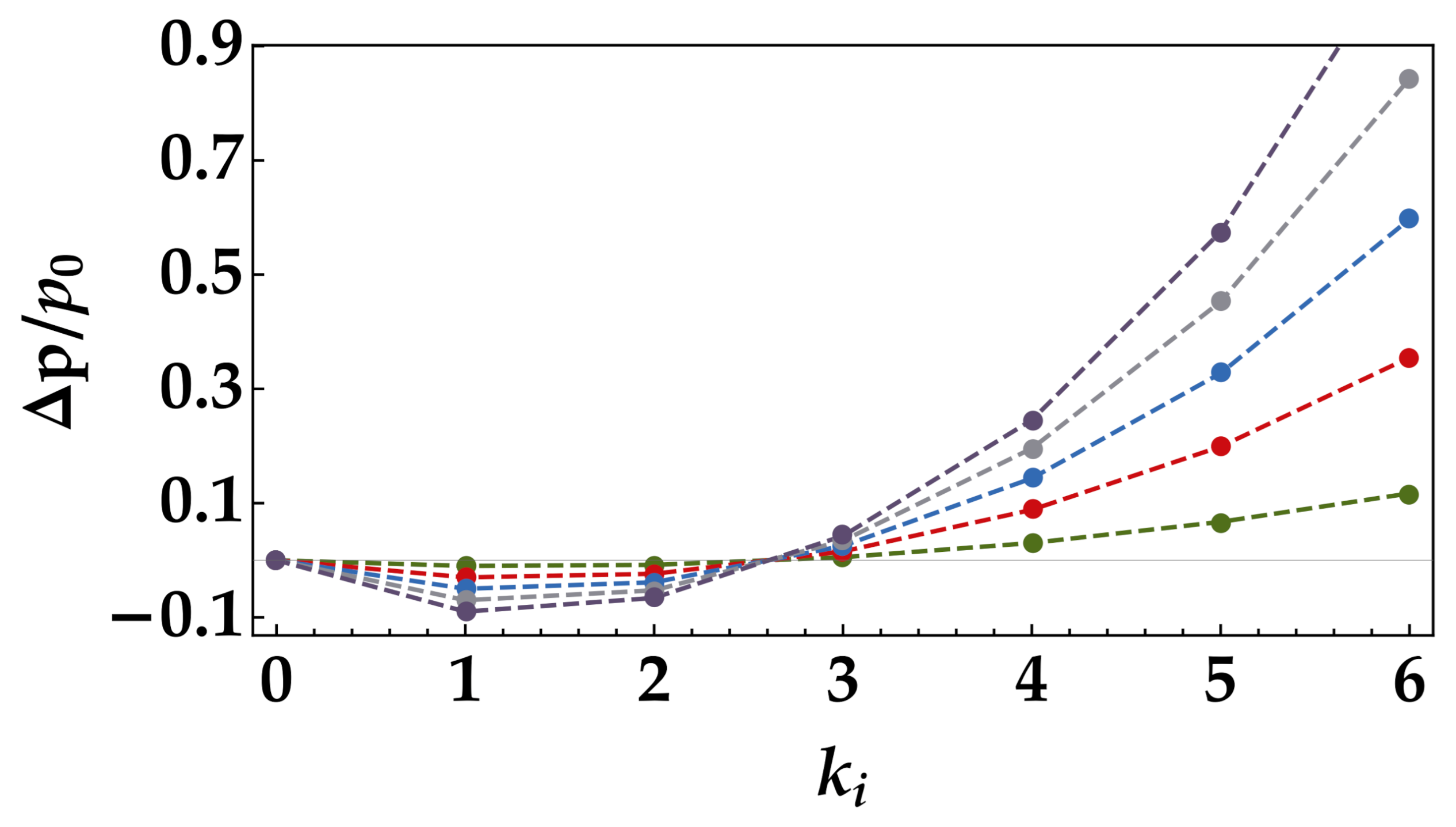
3.2. The Effects of the OCT on the Photon-Number Statistics of the Conditional State
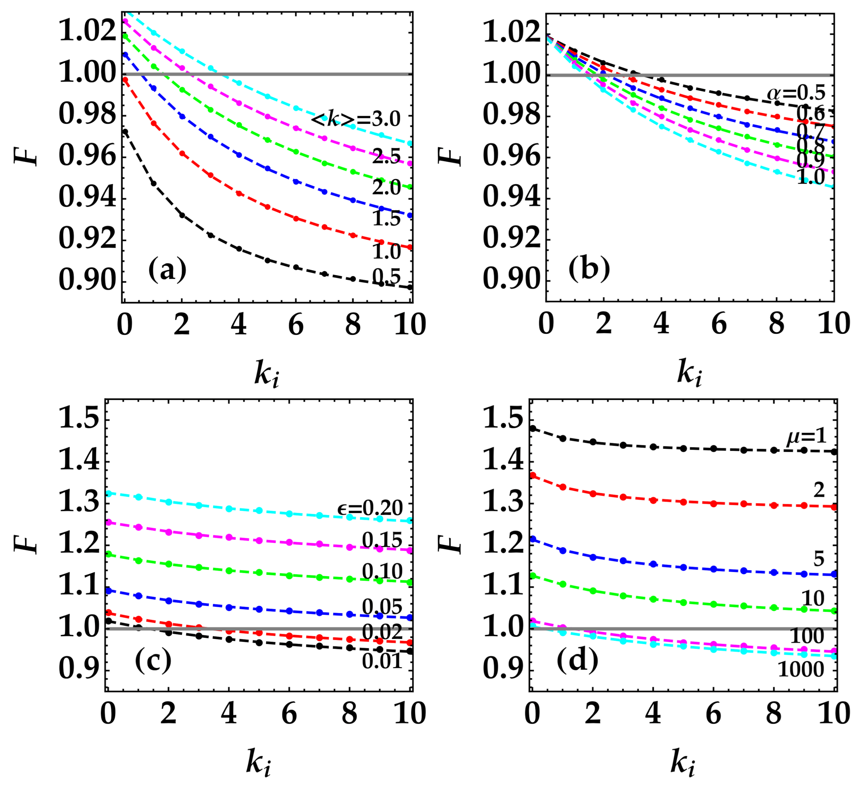
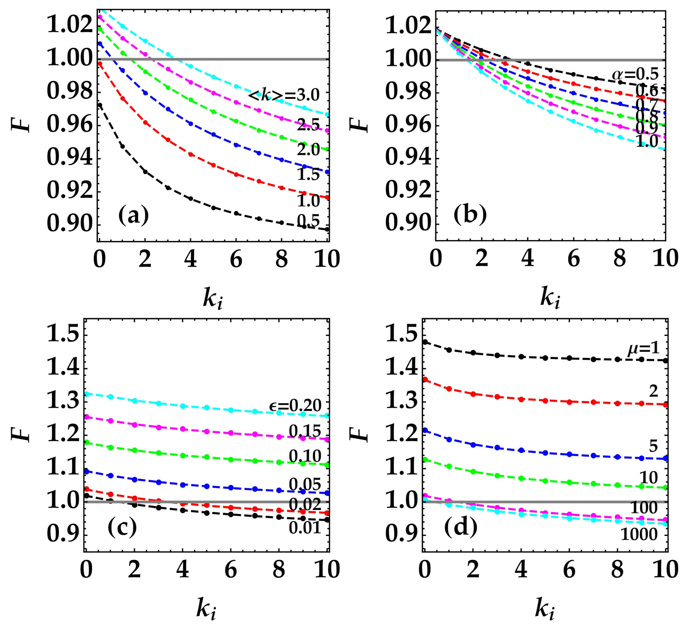
3.3. The Effects of the OCT on the Nonclassicality of the Conditional State
4. Discussion
5. Conclusions
- -
- reducing the imbalance between the two detection arms;
- -
- decreasing the mean value of the unconditioned states;
- -
- increasing the number of modes.
Author Contributions
Funding
Institutional Review Board Statement
Informed Consent Statement
Data Availability Statement
Conflicts of Interest
Abbreviations
| PNR | Photon Number Resolving |
| SiPM | Silicon Photomultiplier |
| OCT | Optical Cross-Talk |
| TWB | Twin Beam |
| POVM | Positive Operator-Valued Measure |
References
- Paris, M.G.A. The modern tools of quantum mechanics. Eur. Phys. J. Spec. Top. 2012, 203, 61–86. [Google Scholar] [CrossRef]
- Ben-Zion, D.; McGreevy, J.; Grover, T. Disentangling quantum matter with measurements. Phys. Rev. B 2020, 101, 115131. [Google Scholar] [CrossRef]
- Paris, M.G.A.; Cola, M.; Bonifacio, R. Quantum-state engineering assisted by entanglement. Phys. Rev. A 2003, 67, 042104. [Google Scholar] [CrossRef]
- Allevi, A.; Andreoni, A.; Beduini, F.A.; Bondani, M.; Genoni, M.G.; Olivares, S.; Paris, M.G.A. Conditional measurements on multimode pairwise entangled states from spontaneous parametric downconversion. EPL 2010, 92, 20007. [Google Scholar] [CrossRef][Green Version]
- Allevi, A.; Andreoni, A.; Bondani, M.; Genoni, M.G.; Olivares, S. Reliable source of conditional states from single-mode pulsed thermal fields by multiple-photon subtraction. Phys. Rev. A 2010, 82, 013816. [Google Scholar] [CrossRef]
- Lamperti, M.; Allevi, A.; Bondani, M.; Machulka, R.; Michálek, V.; Haderka, O.; Peřina, J., Jr. Optimal sub-Poissonian light generation from twin beams by photon-number resolving detectors. J. Opt. Soc. Am. B 2014, 31, 20–25. [Google Scholar] [CrossRef]
- Peřina, J., Jr.; Haderka, O.; Michálek, V. Simultaneous observation of higher-order non-classicalities based on experimental photocount moments and probabilities. Sci. Rep. 2019, 9, 1–8. [Google Scholar] [CrossRef]
- Dakna, M.; Anhut, T.; Opatrný, T.; Knöll, L.; Welsch, D.G. Generating Schrödinger-cat-like states by means of conditional measurements on a beam splitter. Phys. Rev. A 1997, 55, 3184. [Google Scholar] [CrossRef]
- Olivares, S.; Paris, M.G.A.; Bonifacio, R. Teleportation improvement by inconclusive photon subtraction. Phys. Rev. A 2003, 67, 032314. [Google Scholar] [CrossRef]
- Cerf, N.J.; Krüger, O.; Navez, P.; Werner, R.F.; Wolf, M.M. Non-Gaussian Cloning of Quantum Coherent States is Optimal. Phys. Rev. Let. 2005, 95, 070501. [Google Scholar] [CrossRef]
- Eisert, J.; Scheel, S.; Plenio, M.B. Distilling Gaussian States with Gaussian Operations is Impossible. Phys. Rev. Lett. 2002, 89, 137903. [Google Scholar] [CrossRef]
- Caccia, M.; Chmill, V.; Ebolese, A.; Locatelli, M.; Martemiyanov, A.; Pieracci, M.; Risigo, F.; Santoro, R.; Tintori, C. An Educational Kit Based on a Modular Silicon Photomultiplier System. In Proceedings of the 2013 3rd International Conference on Advancements in Nuclear Instrumentation, Measurement Methods and Their Applications (ANIMMA), Marseille, France, 23–27 June 2013; Volume 978, pp. 1–7. [Google Scholar]
- Afek, I.; Natan, A.; Ambar, O.; Silberberg, Y. Quantum state measurements using multipixel photon detectors. Phys. Rev. A 2009, 79, 043830. [Google Scholar] [CrossRef]
- Ramilli, M.; Allevi, A.; Chmill, V.; Bondani, M.; Caccia, M.; Andreoni, A. Photon-number statistics with silicon photomultipliers. J. Opt. Soc. Am. B 2010, 27, 852–862. [Google Scholar] [CrossRef]
- Kalashnikov, D.A.; Tan, S.H.; Iskhakov, T.S.; Chekhova, M.V.; Krivitsky, L.A. Measurement of two-mode squeezing with photon number resolving multipixel detectors. Opt. Lett. 2012, 37, 2829–2831. [Google Scholar] [CrossRef] [PubMed]
- Chesi, G.; Malinverno, L.; Allevi, A.; Santoro, R.; Caccia, M.; Martemiyanov, A.; Bondani, M. Optimizing Silicon Photomultipliers for Quantum Optics. Sci. Rep. 2019, 9, 1–12. [Google Scholar] [CrossRef] [PubMed]
- Chesi, G.; Malinverno, L.; Allevi, A.; Santoro, R.; Caccia, M.; Bondani, M. Measuring nonclassicality with silicon photomultipliers. Opt. Lett. 2019, 44, 1371–1374. [Google Scholar] [CrossRef] [PubMed]
- Chesi, G.; Allevi, A.; Bondani, M. Autocorrelation functions: A useful tool for both state and detector characterisation. Quantum Meas. Quantum Metrol. 2019, 6, 1–6. [Google Scholar] [CrossRef]
- Nagy, F.; Mazzillo, M.; Renna, L.; Valvo, G.; Sanfilippo, D.; Carbone, B.; Piana, A.; Fallica, G.; Molnar, J. Afterpulse and delayed crosstalk analysis on a STMicroelectronics silicon photomultiplier. Nucl. Instrum. Methods Phys. Res. A 2014, 759, 44–49. [Google Scholar] [CrossRef]
- Chesi, G.; Allevi, A.; Bondani, M. Effects of nonideal features of silicon photomultiplier on the measurements of quantum correlations. Int. J. Quantum Inf. 2019, 17, 1941012. [Google Scholar] [CrossRef]
- Chesi, G.; Allevi, A.; Bondani, M. Effect of cross-talk on conditional measurements performed with multi-pixel photon counters. In Proceedings of the 2020 IMEKO TC-4 International Symposium, Palermo, Italy, 14–16 September 2020. [Google Scholar]
- Couteau, C. Spontaneous parametric down-conversion. Contemp. Phys. 2018, 59, 291–304. [Google Scholar] [CrossRef]
- Paleari, F.; Andreoni, A.; Zambra, G.; Bondani, M. Thermal photon statistics in spontaneous parametric downconversion. Opt. Lett. 2004, 12, 2816–2824. [Google Scholar] [CrossRef]
- Allevi, A.; Olivares, S.; Bondani, M. Measuring high-order photon-number correlations in experiments with multimode pulsed quantum states. Phys. Rev. A 2012, 85, 063835. [Google Scholar] [CrossRef]
- Van Dam, H.T.; Seifert, S.; Vinke, R.; Dendooven, P.; Löhner, H.; Beekman, F.J.; Schaart, D.R. A Comprehensive Model of the Response of Silicon Photomultipliers. IEEE Trans. Nucl. Sci. 2010, 57, 2254–2266. [Google Scholar] [CrossRef]
- Vinogradov, S. Analytical models of probability distribution and excess noise factor of solid sate photomultiplier signals with crosstalk. Nucl. Instruments Methods Phys. Res. Sect. A Accel. Spectrometers Detect. Assoc. Equipment 2012, 695, 247–251. [Google Scholar] [CrossRef]
- Gallego, L.; Rosado, J.; Blanco, F.; Arqueros, F. Modeling crosstalk in silicon photomultipliers. J. Instrum. 2013, 8, P05010. [Google Scholar] [CrossRef]
- Glauber, R.J. The Quantum Theory of Optical Coherence. Phys. Rev. 1963, 130, 2529–2539. [Google Scholar] [CrossRef]
- Klyshko, D.N. The nonclassical light. Phys.-Usp. 1996, 39, 573–596. [Google Scholar] [CrossRef]
- MPPC S13360-1350CS. Available online: http://www.hamamatsu.com/us/en/S13360-1350CS.html (accessed on 17 May 2021).
- Bicknell, M. A primer for the Fibonacci numbers VII. Fibonacci Quart. 1970, 8, 407–420. [Google Scholar]
- Allevi, A.; Lamperti, M.; Bondani, M.; Peřina, J., Jr.; Michálek, V.; Haderka, O.; Machulka, R. Characterizing the nonclassicality of mesoscopic optical twin-beam states. Phys. Rev. A 2013, 88, 063807. [Google Scholar] [CrossRef]
- Machulka, R.; Haderka, O.; Peřina, J., Jr.; Lamperti, M.; Allevi, A.; Bondani, M. Spatial properties of twin-beam correlations at low- to high-intensity transition. Opt. Express 2014, 22, 13374–13379. [Google Scholar] [CrossRef] [PubMed]
- Allevi, A.; Bondani, M. Statistics of twin-beam states by photon-number resolving detectors up to pump depletion. J. Opt. Soc. Am. B 2014, 31, B14–B19. [Google Scholar] [CrossRef]









Publisher’s Note: MDPI stays neutral with regard to jurisdictional claims in published maps and institutional affiliations. |
© 2021 by the authors. Licensee MDPI, Basel, Switzerland. This article is an open access article distributed under the terms and conditions of the Creative Commons Attribution (CC BY) license (https://creativecommons.org/licenses/by/4.0/).
Share and Cite
Chesi, G.; Allevi, A.; Bondani, M. Conditional Measurements with Silicon Photomultipliers. Appl. Sci. 2021, 11, 4579. https://doi.org/10.3390/app11104579
Chesi G, Allevi A, Bondani M. Conditional Measurements with Silicon Photomultipliers. Applied Sciences. 2021; 11(10):4579. https://doi.org/10.3390/app11104579
Chicago/Turabian StyleChesi, Giovanni, Alessia Allevi, and Maria Bondani. 2021. "Conditional Measurements with Silicon Photomultipliers" Applied Sciences 11, no. 10: 4579. https://doi.org/10.3390/app11104579
APA StyleChesi, G., Allevi, A., & Bondani, M. (2021). Conditional Measurements with Silicon Photomultipliers. Applied Sciences, 11(10), 4579. https://doi.org/10.3390/app11104579

