Effects of Tea Polyphenol Treatments on the Quality and Microbiota of Crisp Grass Carp Fillets during Storage at 4 °C
Abstract
1. Introduction
2. Materials and Methods
2.1. Preparations of the Fish Samples
2.2. Bacteriological Analysis
2.3. Determination of Total Volatile Basic Nitrogen
2.4. 16S rRNA High-Throughput Sequencing Analysis
2.5. Statistical Analysis
3. Results and Discussion
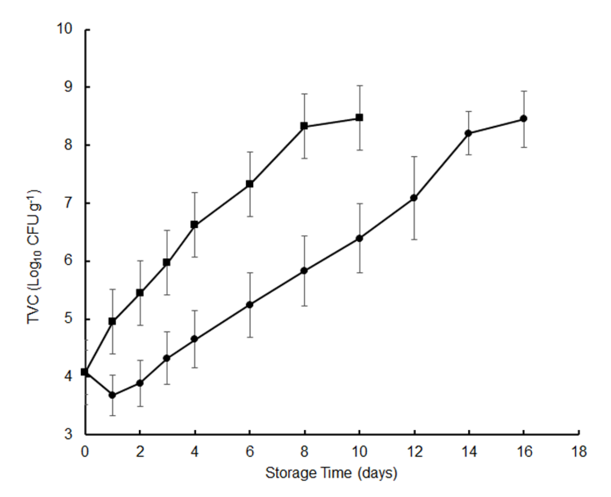
3.1. Bacteriological Analysis
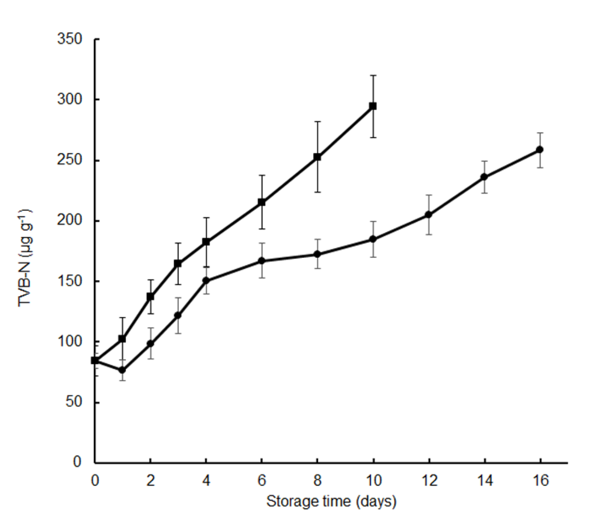
3.2. Total Volatile Basic Nitrogen (TVB-N) Analysis
3.3. 16S rRNA High-Throughput Sequencing Analysis
4. Conclusions
Author Contributions
Funding
Institutional Review Board Statement
Informed Consent Statement
Data Availability Statement
Acknowledgments
Conflicts of Interest
References
- Baird-Parker, T.C. The production of microbiologically safe and stable foods. In Microbiological Safety and Quality of Food; Lund, B.M., Baird-Parker, T.C., Gould, G.W., Eds.; Aspen Publishers, Inc.: Gaithersburg, MD, USA, 2000; pp. 3–18. ISBN 978-0-8342-1323-4. [Google Scholar]
- Akinola, O.A.; Akinyemi, A.A.; Bolaji, O. Evaluation of traditional and solar fish drying systems towards enhancing fish storage and preservation in Nigeria (Abeokuta local governments as case study). J. Fish. Int. 2006, 1, 44–49. [Google Scholar]
- Ghaly, A.E.; Dave, D.; Budge, S.; Brooks, M.S. Fish spoilage mechanisms and preservation techniques: Review. Am. J. Appl. Sci. 2010, 7, 859–877. [Google Scholar] [CrossRef]
- Khan, N.; Mukhtar, H. Tea polyphenols for health promotion. Life Sci. 2007, 81, 519–533. [Google Scholar] [CrossRef]
- Perumalla, A.V.S.; Hettiarachchy, N.S. Green tea and grape seed extracts—Potential applications in food safety and quality. Food Res. Int. 2011, 44, 827–839. [Google Scholar] [CrossRef]
- Fan, W.J.; Chi, Y.L.; Zhang, S. The use of a tea polyphenol dip to extend the shelf life of silver carp (Hypophthalmicthys molitrix) during storage in ice. Food Chem. 2008, 108, 148–153. [Google Scholar] [CrossRef]
- Jia, S.L.; Huang, Z.; Lei, Y.T.; Zhang, L.T.; Li, Y.; Luo, Y.K. Application of Illumina-MiSeq high throughput sequencing and culture-dependent techniques for the identification of microbiota of silver carp (Hypophthalmichthys molitrix) treated by tea polyphenols. Food Microbiol. 2018, 76, 52–61. [Google Scholar] [CrossRef]
- Li, T.T.; Li, J.R.; Hu, W.Z.; Zhang, X.G.; Li, X.P.; Zhao, J. Shelf-life extension of crucian carp (Carassius auratus) using natural preservatives during chilled storage. Food Chem. 2012, 135, 140–145. [Google Scholar] [CrossRef]
- Li, T.T.; Hu, W.Z.; Li, J.R.; Zhang, X.G.; Zhu, J.L.; Li, X.P. Coating effects of tea polyphenol and rosemary extract combined with chitosan on the storage quality of large yellow croaker (Pseudosciaena crocea). Food Control. 2012, 25, 101–106. [Google Scholar] [CrossRef]
- Ju, J.; Liao, L.; Qiao, Y.; Xiong, G.Q.; Li, D.S.; Wang, C.; Hu, J.Z.; Wang, L.; Wu, W.J.; Ding, A.Z.; et al. The effects of vacuum package combined with tea polyphenols (V plus TP) treatment on quality enhancement of weever (Micropterus salmoides) stored at 0 °C and 4 °C. LWT Food Sci. Technol. 2018, 91, 484–490. [Google Scholar] [CrossRef]
- Lin, W.L.; Zeng, Q.X.; Zhu, Z.W. Different changes in mastication between crisp grass carp (Ctenopharyngodon idellus C. et V) and grass carp (Ctenopharyngodon idellus) after heating: The relationship between texture and ultrastructure in muscle tissue. Food Res. Int. 2009, 42, 271–278. [Google Scholar] [CrossRef]
- Pan, Z.Q.; Li, L.; Shen, Z.H.; Chen, Y.; Li, M. Characterization of the Microbiota in Air- or Vacuum-Packed Crisp Grass Carp (Ctenopharyngodon idella C. et V.) Fillets by 16S rRNA PCR-Denaturing Gradient Gel Electrophoresis and High-Throughput Sequencing. J. Food Prot. 2018, 81, 1022–1029. [Google Scholar] [CrossRef]
- Association of Official Analytical Chemists. Standard Methods for the Examination, 17th ed.; Association of Official Analytical Chemists: Washington, DC, USA, 2002. [Google Scholar]
- Goulas, A.E.; Kontominas, M.G. Effect of salting and smoking-method on the keeping quality of chub mackerel (Scomber japonicus): Biochemical and sensory attributes. Food Chem. 2005, 93, 511–520. [Google Scholar] [CrossRef]
- The International Commission on Microbiological Specifications for Foods. Sampling plans for fish and shellfish. In Microorganisms in Foods 2, 2nd ed.; Sampling for Microbiological Analysis: Principles and Specific Applications; Blackwell Scientific Publications: London, UK, 1986; ISBN 0-632-01567-5. [Google Scholar]
- Li, L.; Pan, Z.Q.; Shen, Z.H. Identification of the dominant microbial species of spoiled crisp grass carp (Ctenopharyngodon idellus C. et V.) and grass carp (Ctenopharyngodon idellus) fillets during cold storage by culture-independent 16S rDNA sequence analysis. J. Food Prot. 2018, 81, 84–92. [Google Scholar] [CrossRef] [PubMed]
- Olafsdottir, G.; Martinsdottir, E.; Oehlenschlager, J.; Dalgaard, P.; Jensen, B.; Undeland, I.; Mackie, I.M.; Henehan, G.; Nielsen, J.; Nilsen, H. Methods to evaluate fish freshness in research and industry. Trends Food Sci. Technol. 1997, 8, 258–265. [Google Scholar] [CrossRef]
- Ruiz-Capillas, C.; Moral, A. Sensory and biochemical aspects of quality of whole bigeye tuna (Thunnus obesus) during bulk storage in controlled atmospheres. Food Chem. 2005, 89, 347–354. [Google Scholar] [CrossRef]
- Ojagh, S.M.; Rezaei, M.; Razavi, S.H.; Hosseini, S.M.H. Effect of chitosan coatings enriched with cinnamon oil on the quality of refrigerated rainbow trout. Food Chem. 2010, 120, 193–198. [Google Scholar] [CrossRef]
- Wang, H.; Luo, Y.K.; Huang, H.P.; Xu, Q. Microbial succession of grass carp (Ctenopharyngodon idellus) filets during storage at 4 °C and its contribution to biogenic amines’ formation. Int. J. Food Microbiol. 2014, 190, 66–71. [Google Scholar] [CrossRef]
- Zhang, Y.M.; Li, Q.; Li, D.P.; Liu, X.C.; Luo, Y.K. Changes in the microbial communities of air-packaged and vacuum-packaged common carp (Cyprinus carpio) stored at 4 °C. Food Microbiol. 2015, 52, 197–204. [Google Scholar] [CrossRef]
- Gram, L.; Huss, H.H. Microbiological spoilage of fish and fish products. Int. J. Food Microbiol. 1996, 33, 121–137. [Google Scholar] [CrossRef]
- Gonzalez, C.J.; Santos, J.A.; Garcia-Lopez, M.L.; Gonzalez, N.; Otero, A. Mesophilic aeromonads in wild and aquacultured freshwater fish. J. Food Prot. 2001, 64, 687–691. [Google Scholar] [CrossRef] [PubMed]
- Gui, M.; Song, J.; Zhang, Z.; Hui, P.; Li, P. Biogenic amines formation, nucleotide degradation and TVB-N accumulation of vacuum-packed minced sturgeon (Acipenser schrencki) stored at 4 °C and their relation to microbiological attributes. J. Sci. Food Agric. 2014, 94, 2057–2063. [Google Scholar] [CrossRef] [PubMed]




| Sample * | No. of Reads | No. of OTUs | Chao1 Index | Shannon Index | Simpson Index | No. of Genera |
|---|---|---|---|---|---|---|
| D0 | 82,359 | 9915 | 53,904 | 7.32 | 0.96 | 76 |
| C3 | 150,114 | 18,824 | 126,204 | 6.03 | 0.80 | 31 |
| C6 | 144,592 | 18,146 | 132,612 | 6.05 | 0.86 | 21 |
| TP6 | 57,660 | 7586 | 46,409 | 6.80 | 0.93 | 70 |
| TP12 | 123,255 | 10,044 | 67,274 | 3.05 | 0.40 | 11 |
| Mean ± SD | 111,596 ± 40,224 | 12,903 ± 5194 | 85,280 ± 41,032 | 5.85 ± 1.66 | 0.79 ± 0.23 | 42 ± 29 |
Publisher’s Note: MDPI stays neutral with regard to jurisdictional claims in published maps and institutional affiliations. |
© 2021 by the authors. Licensee MDPI, Basel, Switzerland. This article is an open access article distributed under the terms and conditions of the Creative Commons Attribution (CC BY) license (https://creativecommons.org/licenses/by/4.0/).
Share and Cite
Pan, Z.; Li, L.; Shen, Z.; Chen, Y.; Li, M. Effects of Tea Polyphenol Treatments on the Quality and Microbiota of Crisp Grass Carp Fillets during Storage at 4 °C. Appl. Sci. 2021, 11, 4370. https://doi.org/10.3390/app11104370
Pan Z, Li L, Shen Z, Chen Y, Li M. Effects of Tea Polyphenol Treatments on the Quality and Microbiota of Crisp Grass Carp Fillets during Storage at 4 °C. Applied Sciences. 2021; 11(10):4370. https://doi.org/10.3390/app11104370
Chicago/Turabian StylePan, Ziqiang, Lin Li, Zhihua Shen, Yan Chen, and Mei Li. 2021. "Effects of Tea Polyphenol Treatments on the Quality and Microbiota of Crisp Grass Carp Fillets during Storage at 4 °C" Applied Sciences 11, no. 10: 4370. https://doi.org/10.3390/app11104370
APA StylePan, Z., Li, L., Shen, Z., Chen, Y., & Li, M. (2021). Effects of Tea Polyphenol Treatments on the Quality and Microbiota of Crisp Grass Carp Fillets during Storage at 4 °C. Applied Sciences, 11(10), 4370. https://doi.org/10.3390/app11104370

