Model Predictive Control of Active Suspension for an Electric Vehicle Considering Influence of Braking Intensity
Abstract
1. Introduction
- An equivalent half-vehicle model that includes the effect of braking intensity, which can be used to study the effect of braking intensity on vehicle vertical vibration, was established;
- A model predictive control (MPC) strategy was proposed to suppress the vertical movement of a vehicle. Based on Lyapunov’s theory, the stability of the MPC system was proved.
2. Equivalent Half-Vehicle Model
2.1. Equivalent Half-Vehicle Model Description
2.2. Equivalent Half-Vehicle Model Derivation
3. MPC Strategy
3.1. MPCSsystem
3.1.1. Predictive Model
3.1.2. Rolling Optimization
3.2. Proof of MPC System Stability
4. Comparative Simulation Analysis
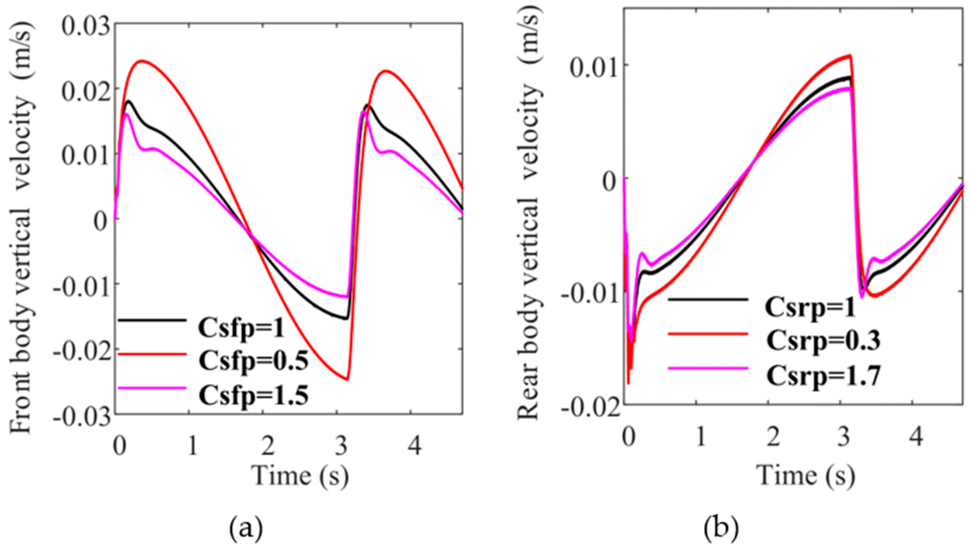
4.1. Robustness Analysis of MPC System
4.2. Comparative Analysis with DLC
5. Conclusions
Author Contributions
Funding
Conflicts of Interest
Appendix A
Appendix B
Appendix C
References
- Karim, A.K.; Javadi, A.; Jahed-Motlagh, M.R.; Robust, H. ∞ control of an active suspension system with actuator time delay by predictor feedback. IET Control. Theory Appl. 2018, 12, 1012–1023. [Google Scholar] [CrossRef]
- Kumar, V.; Rana, K.P.S.; Kumar, J.; Mishra, P. Self-tuned robust fractional order fuzzy PD controller for uncertain and nonlinear active suspension system. Neural. Comput. Appl. 2018, 30, 1827–1843. [Google Scholar] [CrossRef]
- Junqiang, Z.; Haibo, G.; Baofeng, Y.; Zhen, L.; Haitao, Y.; Zongquan, D. Design and terramechanics analysis of a Mars rover utilising active suspension. Mech. Mach. Theory 2018, 128, 125–149. [Google Scholar]
- Liu, W.; Wang, R.; Ding, R.; Meng, X.; Yang, L. On-line estimation of road profile in semi-active suspension based on unsprung mass acceleration. Mech. Syst. Signal Process. 2020, 135, 1–17. [Google Scholar] [CrossRef]
- Hisham, M.S.; Khaled, E.; Mostafa, S. Invariant sets in saturated and robust vehicle suspension control. Arab. J. Sci. Eng. 2020, 45, 7055–7064. [Google Scholar]
- Li, P.; Lam, J.; Cheung, K.C. Motion-based active disturbance rejection control for a non-linear full-car suspension system. Proc. Inst. Mech. Eng. Part D Int. J. Automot. Eng. 2018, 232, 616–631. [Google Scholar] [CrossRef]
- Tang, G.Y.; Lin, H.; Su, H. Decoupling vibration control for active suspension systems. In Proceedings of the 29th Chinese Control and Decision Conference (CCDC), Chongqing, China, 28–30 May 2017. [Google Scholar]
- Shahid, Y.; Minxiang, W. Comparative analysis of different model-based controllers using active vehicle suspension system. Algorithms 2019, 13, 10. [Google Scholar] [CrossRef]
- Liu, X.; Pang, H.; Shang, Y. An observer-based active fault tolerant controller for vehicle suspension system. Appl. Sci. 2018, 8, 2568. [Google Scholar] [CrossRef]
- Wu, H.; Zheng, L.; Li, Y.; Zhang, Z.; Yu, Y. Robust control for active suspension of hub-driven electric vehicles subject to in-wheel motor magnetic force oscillation. Appl. Sci. 2020, 10, 3929. [Google Scholar] [CrossRef]
- Zhou, C.; Liu, X.; Chen, W.; Xu, F.; Cao, B. Optimal sliding mode control for an active suspension system based on a genetic algorithm. Algorithms 2018, 11, 205. [Google Scholar] [CrossRef]
- Attia, T.; Vamvoudakis, K.G.; Kochersberger, K. Simultaneous dynamic system estimation and optimal control of vehicle active suspension. Veh. Syst. Dyn. 2019, 57, 1467–1493. [Google Scholar] [CrossRef]
- Soh, M.; Jang, H.; Park, J.; Sohn, Y.; Park, K. Development of preview active suspension control system and performance limit analysis by trajectory optimization. Int. J. Automot. Technol. 2018, 19, 1001–1012. [Google Scholar] [CrossRef]
- Hua, C.; Chen, J.; Li, Y.; Li, L. Adaptive prescribed performance control of half-car active suspension system with unknown dead-zone input. Mech. Syst. Signal Process. 2018, 111, 135–148. [Google Scholar] [CrossRef]
- Guan, Y.; Han, Q.L.; Yao, H.; Ge, X. Robust event-triggered H∞ controller design for vehicle active suspension systems. Nonlinear Dyn. 2018, 94, 627–638. [Google Scholar] [CrossRef]
- Yang, C.; Xia, J.; Park, J.H.; Shen, H.; Wang, J. Sliding mode control for uncertain active vehicle suspension systems: An event-triggered H∞ control scheme. Nonlinear Dyn. 2020, 1–13. [Google Scholar]
- Min, X.; Li, Y.; Tong, S. Adaptive fuzzy output feedback inverse optimal control for vehicle active suspension systems. Neurocomputing 2020, 403, 257–267. [Google Scholar] [CrossRef]
- Kim, H.J.; Yang, H.S.; Park, Y.P. Improving the vehicle performance with active suspension using road-sensing algorithm. Comput Struct. 2002, 80, 1569–1577. [Google Scholar] [CrossRef]
- Sun, W.; Zhao, Y.; Li, J.; Zhang, L.; Gao, H. Active suspension control with frequency band constraints and actuator input delay. IEEE Trans. Ind. Electron. 2011, 59, 530–537. [Google Scholar]
- Du, M.; Zhao, D.; Yang, B.; Wang, L. Terminal sliding mode control for full vehicle active suspension systems. J. Mech. Sci. Technol. 2018, 32, 2851–2866. [Google Scholar] [CrossRef]
- Zheng, X.; Zhang, H.; Yan, H.; Yang, F.; Wang, Z.; Vlacic, L. Active full-vehicle suspension control via cloud-aided adaptive backstepping approach. IEEE Trans. Ind. Electron. 2020, 50, 3113–3124. [Google Scholar] [CrossRef]
- Fang, Z.; Shu, W.; Du, D.; Xiang, B.; He, Q.; He, K. Semi-active suspension of a full-vehicle model based on double-loop control. Procedia Eng. 2011, 16, 428–437. [Google Scholar] [CrossRef]
- Yu, F.; Lin, Y. Automotive System Dynamics, 2rd ed.; Song, X., Li, R., Eds.; China Machine Press: Beijing, China, 2016; pp. 187–196. ISBN 978-7-111-55173-7. [Google Scholar]
- Yoshimura, T.; Kume, A.; Kurimoto, M.; Hino, J. Construction of an active suspension system of a quarter car model using the concept of sliding mode control. J. Sound Vib. 2001, 239, 187–199. [Google Scholar] [CrossRef]
- Yagiz, N.; Hacioglu, Y. Backstepping control of a vehicle with active suspensions. Control Eng. Pract. 2008, 16, 1457–1467. [Google Scholar] [CrossRef]
- Ji, R.; Fang, M.; Li, P.; Yan, G. Theoretical and Experimental Research on H∞ Control Suspension System with Time Delay. Automot. Eng. Int. 2020, 42, 339–344, 352. [Google Scholar]
- Lu, R.; Xu, Y.; Zhang, R. A new design of model predictive tracking control for networked control system under random packet loss and uncertainties. IEEE Trans. Ind. Electron. 2016, 63, 6999–7007. [Google Scholar] [CrossRef]
- Pan, H.; Sun, W.; Jing, X.; Gao, H.; Yao, J. Adaptive tracking control for active suspension systems with non-ideal actuators. J. Sound Vib. 2017, 399, 2–20. [Google Scholar] [CrossRef]
- Li, H.; Jing, X.; Lam, H.; Shi, P. Fuzzy sampled-data control for uncertain vehicle suspension systems. IEEE Trans. Cybern. 2017, 44, 1111–1126. [Google Scholar]
- Zhang, Y.; Liu, Y.; Liu, L. Minimal learning parameters-based adaptive neural control for vehicle active suspensions with input saturation. Neurocomputing 2020, 396, 153–161. [Google Scholar] [CrossRef]
- Li, H.; Yu, J.; Hilton, C.; Liu, H. Adaptive sliding-mode control for nonlinear active suspension vehicle systems using T–S fuzzy approach. IEEE Trans. Ind. Electron. 2013, 60, 3328–3338. [Google Scholar] [CrossRef]
- Na, J.; Huang, Y.; Wu, X.; Su, S.-F.; Li, G. Adaptive finite-time fuzzy control of nonlinear active suspension systems with input delay. IEEE Trans. Cybern. 2020, 50, 2639–2650. [Google Scholar] [CrossRef]
- Yao, X.; Yang, Y.; Su, M. A novel adaptive actuator failure compensation scheme based on multi-design integration for half-car active suspension system. Adv. Mech. Eng. 2019, 11, 1–12. [Google Scholar] [CrossRef]
- Liu, Y.J.; Zeng, Q.; Tong, S.; Chen, P.L.C.; Liu, L. Actuator failure compensation-based adaptive control of active suspension systems with prescribed performance. IEEE Trans. Ind. Electron 2019, 67, 7044–7053. [Google Scholar] [CrossRef]
- Li, W.; Du, H.; Li, W. Four-wheel electric braking system configuration with new braking torque distribution strategy for improving energy recovery efficiency. IEEE Trans. Intell. Transp. Syst. 2019, 21, 87–103. [Google Scholar] [CrossRef]
- Gong, J.; Jiang, Y.; Xu, W. Model Predictive Control for Self-Driving Vehicle; Beijing Institute of Technology Press: Beijing, China, 2014. [Google Scholar]
- Wang, L. Model Predictive Control System Design and Implementation Using MATLAB; Springer: London, UK, 2009. [Google Scholar]
- Wang, Z. Research on Control Strategy and Test Technology of Electromechanical Combined Braking for Electric Drive Tracked Vehicle; Zhejiang University: Hangzhou, China, 2019. [Google Scholar]
- Kelly, R.; Haber, R.; Haber-Guerra, R.E.; Reyes, F. Lyapunov Stable Control of Robot Manipulators: A Fuzzy Self-Tuning Procedure. Intell. Autom. Soft Comput. 1999, 5, 313–326. [Google Scholar] [CrossRef]
- Türker, T.; Buyukkeles, U.; Bakan, A.F. A Robust Predictive Current Controller for PMSM Drives. IEEE Trans. Ind. Electron. 2016, 63, 3906–3914. [Google Scholar] [CrossRef]
- Liu, Y. Research on Model Predictive Control Strategy for Permanent-Magnet Synchronous Machine. Ph.D. Thesis, Huazhong University of Science and Technology, Wuhan, China, 2018. [Google Scholar]













| Project | Parameter | Value |
|---|---|---|
| Mass and inertia | Half-body mass mb (kg) | 846 |
| Half-body moment inertia Ip (kg•m2) | 1516 | |
| Front unsprung mass mwf (kg) | 47 | |
| Rear unsprung mass mwr (kg) | 47 | |
| Stiffness and damping | Front suspension stiffness Ksf (N/m) | 21,000 |
| Rear suspension stiffness Ksr (N/m) | 27,300 | |
| Front tire stiffness Ktf (N/m) | 238,000 | |
| Rear tire stiffness Ktr (N/m) | 238,000 | |
| Front suspension damping Csf (N•s/m) | 1861 | |
| Rear suspension damping Csr (N•s/m) | 1861 | |
| Geometric size | Distance from the body mass center to the front axle a (m) | 1.29 |
| Distance from the body mass center to the rear axle b (m) | 1.61 | |
| Wheelbase L (m) | 2.90 | |
| Height of body mass center hg (m) | 0.82 | |
| Maximum front suspension dynamic deflection (m) | 0.08 | |
| Maximum rear suspension dynamic deflection (m) | 0.08 | |
| Force | Maximum front suspension control force (N) | 1500 |
| Maximum rear suspension control force (N) | 1500 | |
| Control parameters | Sampling time Ts (s) | 0.02 |
| Forecast time domain Np | 20 | |
| Control time domain Nc | 10 |
| Category | MPC | DLC | ω | |
|---|---|---|---|---|
| Parameter | ||||
| Front body vertical velocity | 0.0107 | 0.0358 | 0.7011 | |
| Rear body vertical velocity | 0.0065 | 0.0385 | 0.8312 | |
| Body mass center velocity | 0.0032 | 0.0044 | 0.2727 | |
| Body mass center acceleration | 0.0163 | 0.0282 | 0.4220 | |
| Body pitch angle | 0.0063 | 0.0239 | 0.7364 | |
| Body pitch angle velocity | 0.0058 | 0.0251 | 0.7689 | |
Publisher’s Note: MDPI stays neutral with regard to jurisdictional claims in published maps and institutional affiliations. |
© 2020 by the authors. Licensee MDPI, Basel, Switzerland. This article is an open access article distributed under the terms and conditions of the Creative Commons Attribution (CC BY) license (http://creativecommons.org/licenses/by/4.0/).
Share and Cite
Zhang, J.; Yang, Y.; Hu, M.; Fu, C.; Zhai, J. Model Predictive Control of Active Suspension for an Electric Vehicle Considering Influence of Braking Intensity. Appl. Sci. 2021, 11, 52. https://doi.org/10.3390/app11010052
Zhang J, Yang Y, Hu M, Fu C, Zhai J. Model Predictive Control of Active Suspension for an Electric Vehicle Considering Influence of Braking Intensity. Applied Sciences. 2021; 11(1):52. https://doi.org/10.3390/app11010052
Chicago/Turabian StyleZhang, Junjiang, Yang Yang, Minghui Hu, Chunyun Fu, and Jun Zhai. 2021. "Model Predictive Control of Active Suspension for an Electric Vehicle Considering Influence of Braking Intensity" Applied Sciences 11, no. 1: 52. https://doi.org/10.3390/app11010052
APA StyleZhang, J., Yang, Y., Hu, M., Fu, C., & Zhai, J. (2021). Model Predictive Control of Active Suspension for an Electric Vehicle Considering Influence of Braking Intensity. Applied Sciences, 11(1), 52. https://doi.org/10.3390/app11010052

