Boundary Deformation Measurement by Mesh-Based Digital Image Correlation Method
Abstract
1. Introduction
2. Basic Principles
2.1. Conventional Methods and Their Deficiencies in Boundary Deformation Measurement
2.2. Basic Principle of Q8-DIC in Boundary Deformation Measurement
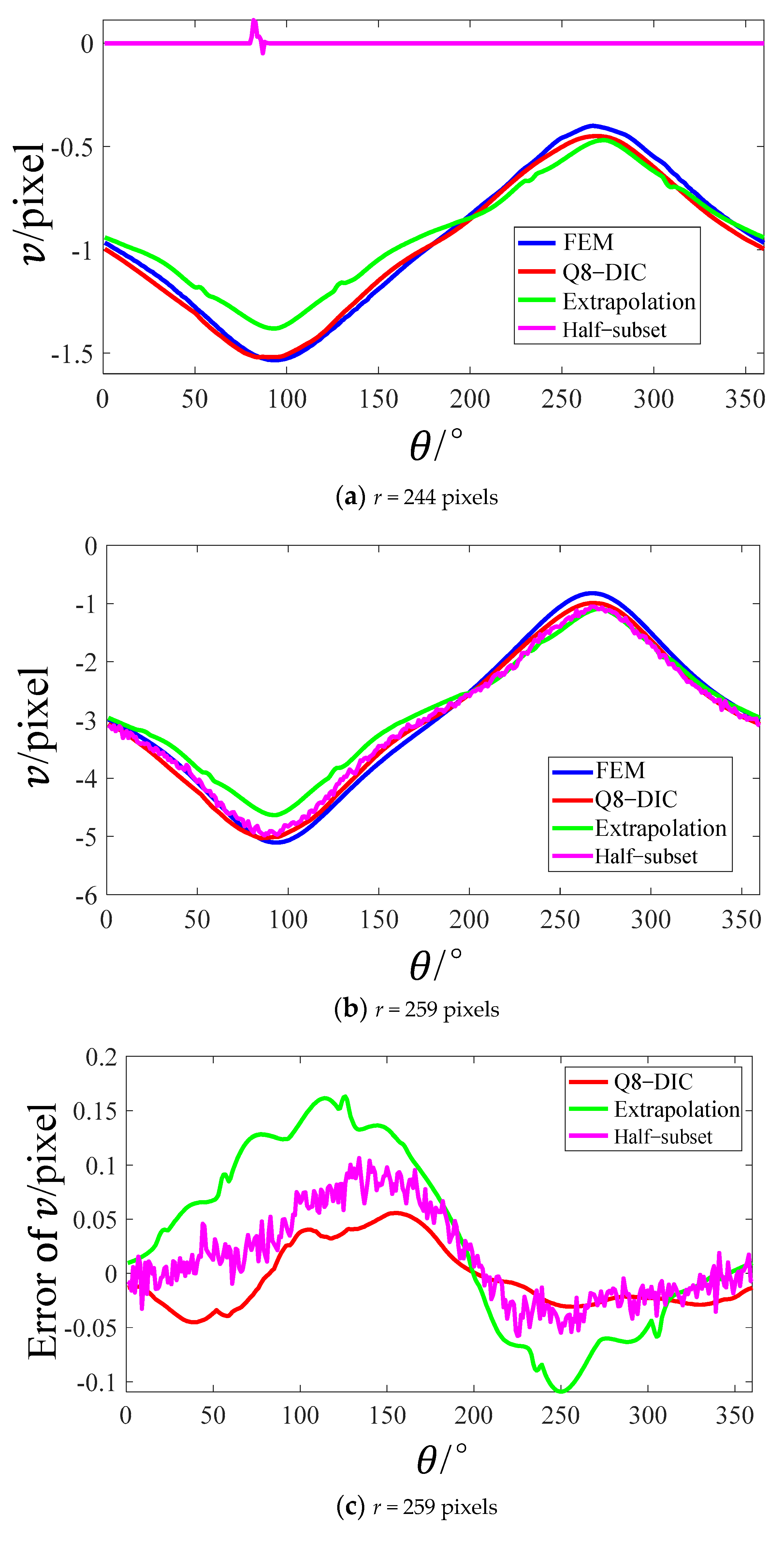
3. Verification of Q8-DIC in Boundary Deformation Measurement
4. Application in Real Experiment
5. Conclusions
Author Contributions
Funding
Data Availability Statement
Conflicts of Interest
References
- Peters, W.H.; Ranson, W.F. Digital imaging techniques in experimental stress analysis. Opt. Eng. 1982, 21, 427–431. [Google Scholar] [CrossRef]
- Sutton, M.A. Digital image correlation for shape and deformation measurements. In Springer Handbook of Experimental Solid Mechanics, Part C; Sharpe, W.N., Ed.; Springer: New York, NY, USA, 2008. [Google Scholar]
- Pan, B.; Qian, K.M.; Xie, H.M.; Asundi, A. Two-dimensional digital image correlation for in-plane displacement and strain measurement: A review. Meas. Sci. Technol. 2009, 20, 062001. [Google Scholar] [CrossRef]
- Pan, B.; Xie, H.M.; Wang, Z.Y.; Qian, K.M.; Wang, Z.Y. Study on subset size selection in digital image correlation for speckle patterns. Opt. Express 2008, 46, 033601. [Google Scholar] [CrossRef] [PubMed]
- Pour-Ghaz, M.; Poursaee, A.; Spragg, R.; Weiss, W.J. Experimental methods to detect and quantify damage in restrained concrete ring specimens. J. Adv. Concr. Technol. 2011, 9, 251–260. [Google Scholar] [CrossRef][Green Version]
- Wang, P.; Pierron, F.; Thomsen, O.T. Identification of material parameters of PVC foams using digital image correlation and the virtual fields method. Exp. Mech. 2013, 53, 1001–1015. [Google Scholar] [CrossRef]
- Zhou, Y.; Sun, C.; Chen, J. Adaptive subset offset for systematic error reduction in incremental digital image correlation. Opt. Lasers Eng. 2014, 55, 5–11. [Google Scholar] [CrossRef]
- Pan, B.; Xie, H.M.; Xu, B.Q.; Dai, F.L. Full-field deformation measurement of specimen with discontinuity using digital image correlation. J. Exp. Mech. 2007, 22, 379–384. [Google Scholar]
- Pan, B.; Wang, Z.Y.; Lu, Z.X. Genuine full-field deformation measurement of an object with complex shape using reliability-guided digital image correlation. Opt. Express 2010, 18, 1011–1023. [Google Scholar] [CrossRef] [PubMed]
- Sun, Y.F.; Pang, H.L.; Wong, C.K.; Su, F. Finite element formulation for a digital image correlation method. App. Opt. 2005, 44, 7357–7363. [Google Scholar] [CrossRef] [PubMed]
- Besnard, G.; Hild, F.; Roux, S. Finite-element displacement fields analysis from digital images: Application to Portevin–LeChatelier bands. Exp. Mech. 2006, 46, 789–803. [Google Scholar] [CrossRef]
- Ma, S.; Zhao, Z.; Wang, X. Mesh-based digital image correlation method using higher order isoparametric elements. J. Strain Anal. Eng. Des. 2012, 47, 163–175. [Google Scholar] [CrossRef]
- Bruck, H.A.; McNeill, S.R.; Sutton, M.A.; Peter, W.H. Digital image correlation using Newton–Raphson method of partial differential correction. Exp. Mech. 1989, 29, 261–267. [Google Scholar] [CrossRef]
- More, J.J. The Levenberg-Marquardt algorithm: Implementation and theory. Lect. Notes Math. 1978, 630, 105–116. [Google Scholar]
- Haupt, R.L.; Haupt, S.E. Practical Genetic Algorithms, 2nd ed.; Wiley: Hoboken, NJ, USA, 2004. [Google Scholar]
- Shao, X.; Dai, X.; He, X. Noise robustness and parallel computation of the inverse compositional Gauss-Newton algorithm in digital image correlation. Opt. Lasers Eng. 2015, 71, 9–19. [Google Scholar] [CrossRef]
- Wang, X.; Ma, S.P. Mesh-based digital image correlation method using non-uniform elements for measuring displacement fields with high gradient. Exp. Mech. 2014, 54, 1545–1554. [Google Scholar] [CrossRef]















| d (mm) | D (mm) | b (mm) | Modulus (GPa) | Poisson’s Ratio |
|---|---|---|---|---|
| 25 | 50 | 15 | 68.9 | 0.33 |
Publisher’s Note: MDPI stays neutral with regard to jurisdictional claims in published maps and institutional affiliations. |
© 2020 by the authors. Licensee MDPI, Basel, Switzerland. This article is an open access article distributed under the terms and conditions of the Creative Commons Attribution (CC BY) license (http://creativecommons.org/licenses/by/4.0/).
Share and Cite
Wang, L.; Liu, G.; Xing, T.; Zhu, H.; Ma, S. Boundary Deformation Measurement by Mesh-Based Digital Image Correlation Method. Appl. Sci. 2021, 11, 53. https://doi.org/10.3390/app11010053
Wang L, Liu G, Xing T, Zhu H, Ma S. Boundary Deformation Measurement by Mesh-Based Digital Image Correlation Method. Applied Sciences. 2021; 11(1):53. https://doi.org/10.3390/app11010053
Chicago/Turabian StyleWang, Lu, Guangyan Liu, Tongzhen Xing, Haibin Zhu, and Shaopeng Ma. 2021. "Boundary Deformation Measurement by Mesh-Based Digital Image Correlation Method" Applied Sciences 11, no. 1: 53. https://doi.org/10.3390/app11010053
APA StyleWang, L., Liu, G., Xing, T., Zhu, H., & Ma, S. (2021). Boundary Deformation Measurement by Mesh-Based Digital Image Correlation Method. Applied Sciences, 11(1), 53. https://doi.org/10.3390/app11010053
