An Improved Cohesive Zone Model for Interface Mixed-Mode Fractures of Railway Slab Tracks
Abstract
1. Introduction
2. Original Models
2.1. Original PPR Model
2.2. Unloading/Reloading Relationship
3. Simplified PPR Traction–Separation Law
3.1. Modification
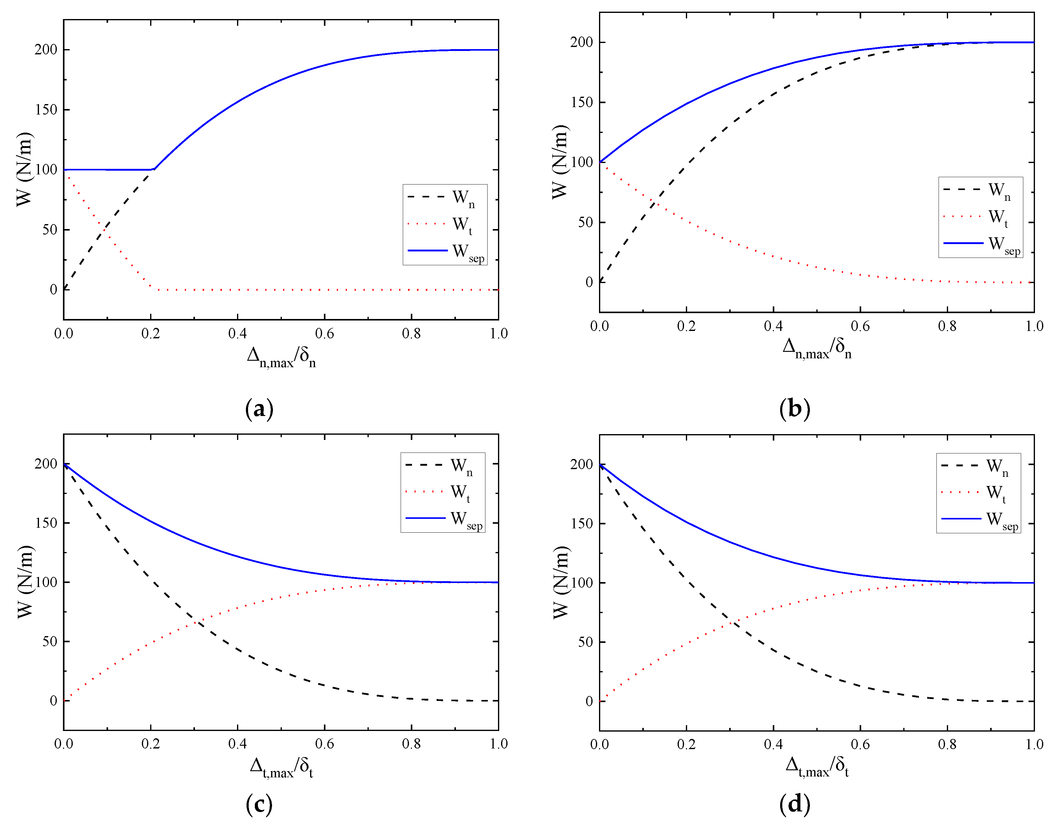
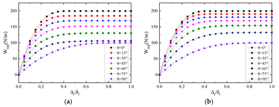
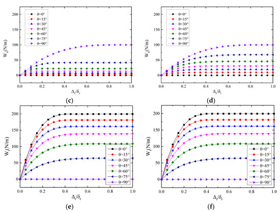
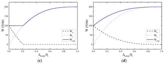
3.2. Path Dependence of Work-of-Separation
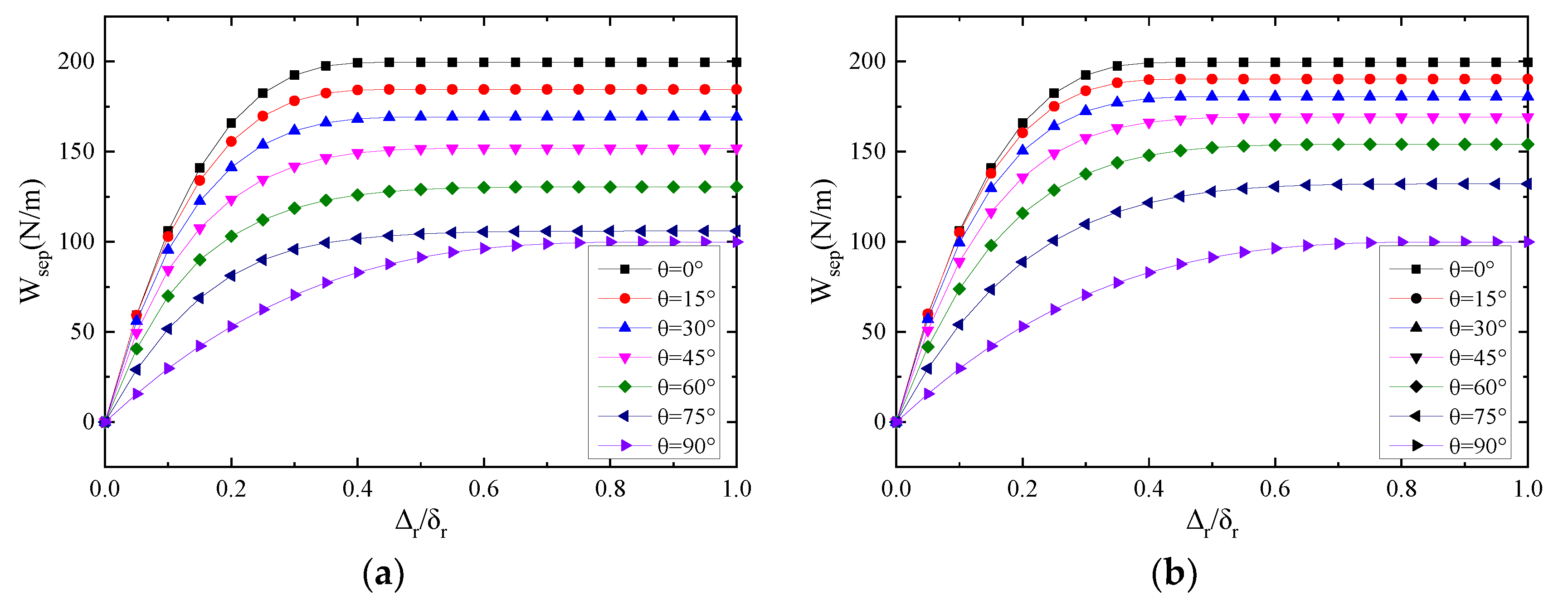
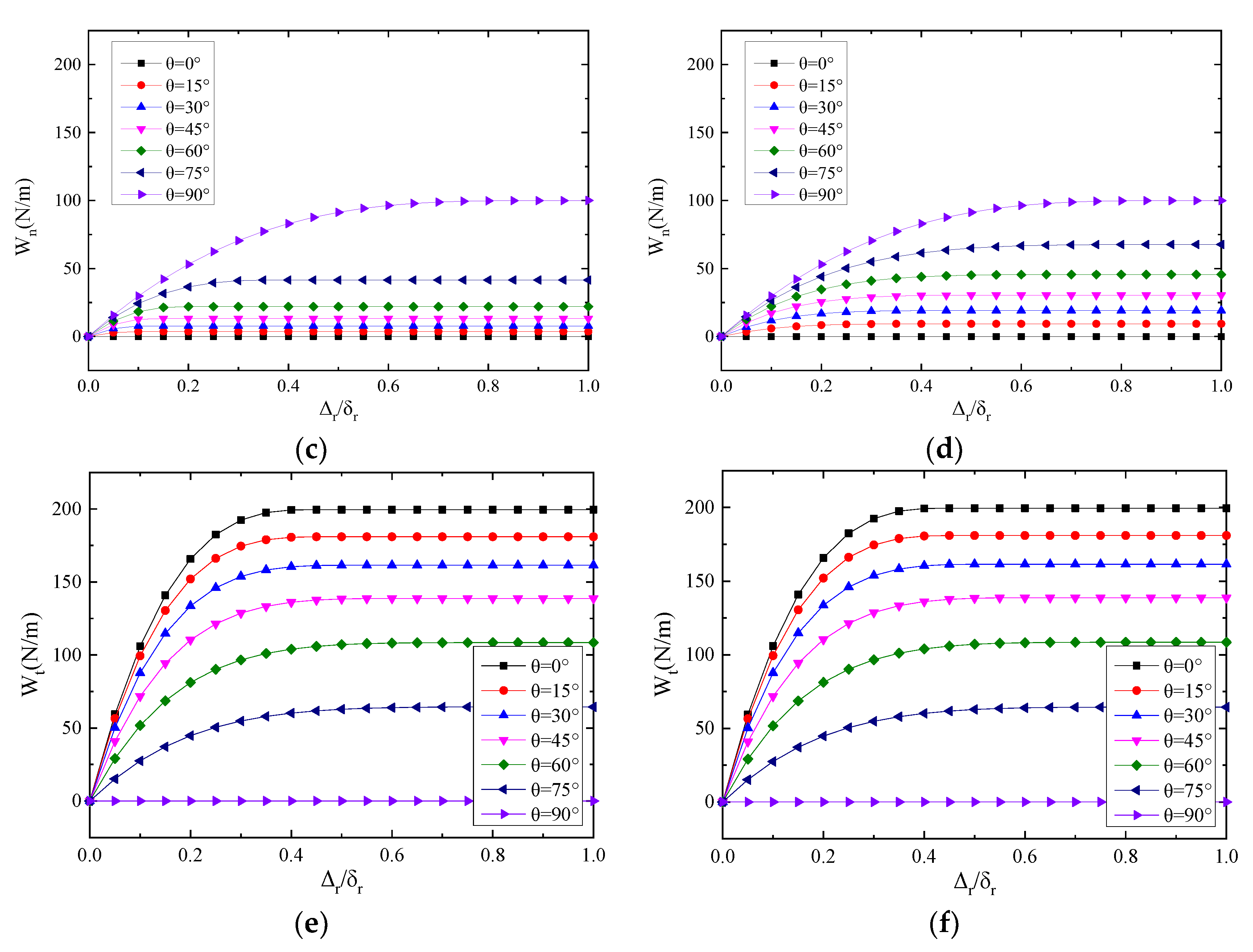
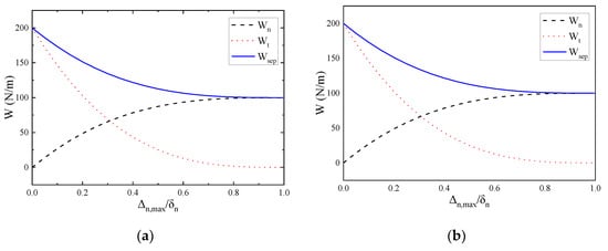
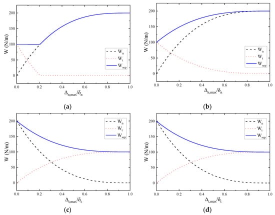
3.2.1. Proportional Separation
3.2.2. Non-Proportional Separation
3.3. Mixed-Mode Bending (MMB) Test Verification
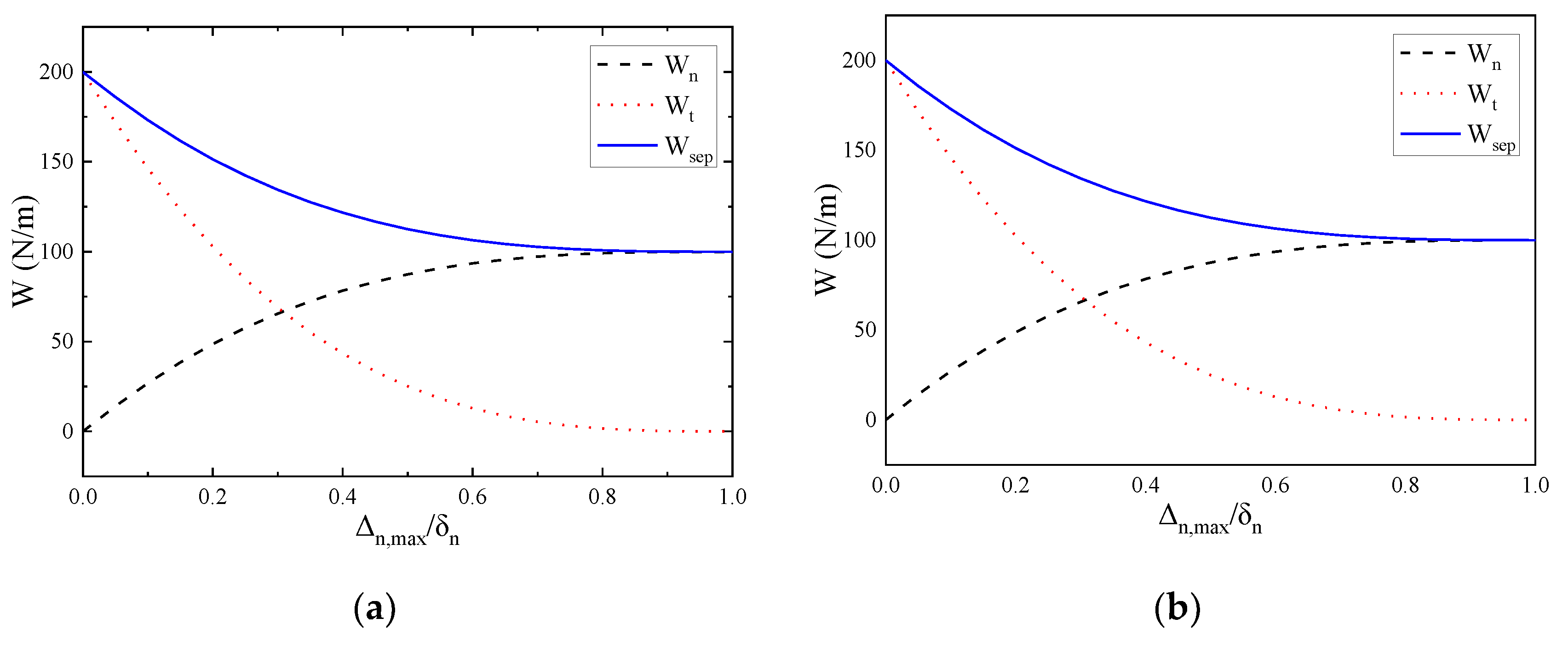
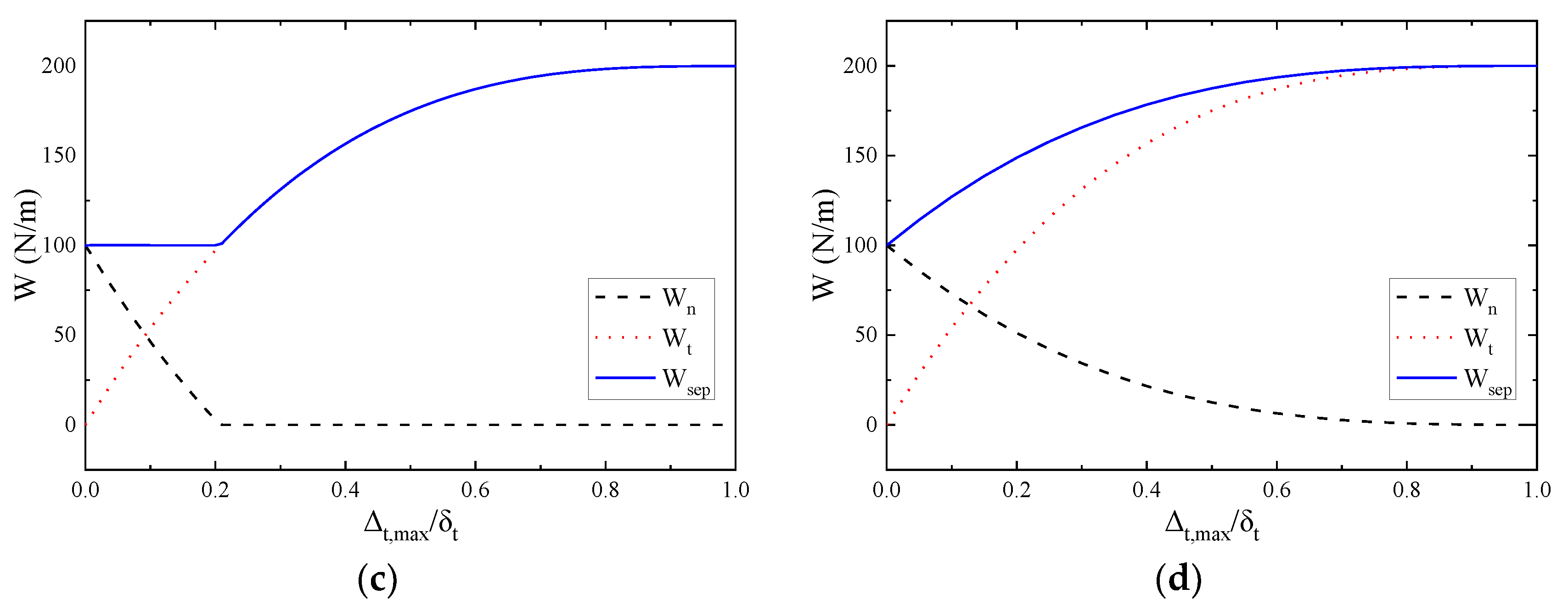
4. Improved Unloading/Reloading Relationship
4.1. Modification
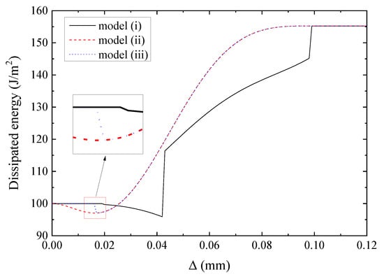
4.2. Comparison
5. Application
6. Conclusions
Author Contributions
Funding
Institutional Review Board Statement
Informed Consent Statement
Acknowledgments
Conflicts of Interest
Nomenclature
| potential function for cohesive fracture | |
| , | normal and tangential separation |
| , | maximum normal and tangential separations in a loading history |
| , | state variables for maximum normal and tangential traction |
| , | normal and tangential separations at step i |
| , | mode I and mode II fracture energy |
| , | energy constants in the PPR model |
| , | normal and tangential final crack opening widths |
| , | normal and tangential separation for peak traction |
| , | shape parameter |
| , | exponents |
| , | normal and tangential tractions |
| , | normal and tangential tractions for the unloading/reloading relation |
| , | normal and tangential cohesive strength |
| , | initial slope indicators in the PPR model |
| , | normal and tangential conjugate final crack opening widths |
| separation angle between the path direction and tangent | |
| Δ | magnitude of applied during preloading |
| separation for proportional path | |
| , | maximum normal and tangential separations |
| work-of-separation | |
| work conducted by the normal and tangential cohesive traction |
References
- Zhu, S.; Cai, C. Interface damage and its effect on vibrations of slab track under temperature and vehicle dynamic loads. Int. J. Non-Linear Mech. 2014, 58, 222–232. [Google Scholar] [CrossRef]
- Zhong, Y.; Gao, L.; Zhang, Y. Effect of daily changing temperature on the curling behavior and interface stress of slab track in construction stage. Constr. Build. Mater. 2018, 185, 638–647. [Google Scholar] [CrossRef]
- Cai, X.P.; Luo, B.C.; Zhong, Y.L.; Zhang, Y.R.; Hou, B.W. Arching mechanism of the slab joints in CRTSII slab track under high tem-perature conditions. Eng. Fail Anal. 2019, 98, 95–108. [Google Scholar] [CrossRef]
- Issa, S.; Eliasson, S.; Lundberg, A.; Wallin, M.; Hallberg, H. Cohesive zone modeling of crack propagation influenced by martensit-ic phase transformation. Mater. Sci. Eng. A. 2018, 712, 564–573. [Google Scholar] [CrossRef]
- Höwer, D.; Lerch, B.A.; Bednarcyk, B.A.; Pineda, E.J.; Reese, S.; Simon, J. Cohesive zone modeling for mode I facesheet to core de-lamination of sandwich panels accounting for fiber bridging. Compos. Struct. 2018, 183, 568–581. [Google Scholar] [CrossRef]
- Truong, V.-H.; Nguyen, K.-H.; Park, S.-S.; Kweon, J.-H. Failure load analysis of C-shaped composite beams using a cohesive zone model. Compos. Struct. 2018, 184, 581–590. [Google Scholar] [CrossRef]
- Jang, J.; Sung, M.; Han, S.; Yu, W.-R. Prediction of delamination of steel-polymer composites using cohesive zone model and peeling tests. Compos. Struct. 2017, 160, 118–127. [Google Scholar] [CrossRef]
- Xu, Q.; Lu, Z. An elastic–plastic cohesive zone model for metal–ceramic interfaces at finite deformations. Int. J. Plast. 2013, 41, 147–164. [Google Scholar] [CrossRef]
- Perrella, M.; Berardi, V.; Cricrì, G. A novel methodology for shear cohesive law identification of bonded reinforcements. Compos. Part B Eng. 2018, 144, 126–133. [Google Scholar] [CrossRef]
- Zhou, R.; Lu, Y. A mesoscale interface approach to modelling fractures in concrete for material investigation. Constr. Build. Mater. 2018, 165, 608–620. [Google Scholar] [CrossRef]
- Trawiński, W.; Tejchman, J.; Bobiński, J. A three-dimensional meso-scale modelling of concrete fracture, based on cohesive elements and X-ray μCT images. Eng. Fract. Mech. 2018, 189, 27–50. [Google Scholar] [CrossRef]
- Nian, G.; Li, Q.; Xu, Q.; Qu, S. A cohesive zone model incorporating a Coulomb friction law for fiber-reinforced composites. Compos. Sci. Technol. 2018, 157, 195–201. [Google Scholar] [CrossRef]
- Park, K.; Paulino, G.H. Cohesive Zone Models: A Critical Review of Traction–separation Relationships across Fracture Surfac-es. Appl. Mech. Rev. 2013, 64, 60802. [Google Scholar] [CrossRef]
- Heshmati, M.; Haghani, R.; Al-Emrani, M.; André, A. On the strength prediction of adhesively bonded FRP-steel joints using co-hesive zone modelling. Theor. Appl. Fract. Mech. 2018, 93, 64–78. [Google Scholar] [CrossRef]
- Mirsayar, M. On fracture of kinked interface cracks—The role of T-stress. Mater. Des. 2014, 61, 117–123. [Google Scholar] [CrossRef]
- Kawai, E.; Kakisawa, H.; Kubo, A.; Yamaguchi, N.; Yokoi, T.; Akatsu, T.; Kitaoka, S.; Umeno, Y. Crack Initiation Criteria in EBC un-der Thermal Stress. Coatings 2019, 9, 697. [Google Scholar] [CrossRef]
- Barenblatt, G. The Mathematical Theory of Equilibrium Cracks in Brittle Fracture. Adv. Appl. Mech. 1962, 7, 55–129. [Google Scholar] [CrossRef]
- Dugdale, D. Yielding of steel sheets containing slits. J. Mech. Phys. Solids 2002, 8, 100–104. [Google Scholar] [CrossRef]
- Hillerborg, A.; Modéer, M.; Petersson, P.E. Analysis of crack formation and crack growth in concrete by means of fracture me-chanics and finite elements. Cem. Concr. Res. 1976, 6, 773–781. [Google Scholar] [CrossRef]
- Alfano, G.; Crisfield, M.A. Finite element interface models for the delamination analysis of laminated composites: Mechanical and computational issues. Int. J. Numer. Methods Eng. 2001, 50, 1701–1736. [Google Scholar] [CrossRef]
- Turon, A.; Camanho, P.P.; Costa, J.; Dávila, C. A damage model for the simulation of delamination in advanced composites under variable-mode loading. Mech. Mater. 2006, 38, 1072–1089. [Google Scholar] [CrossRef]
- Huang, D.; Sheng, B.; Shen, Y.; Chui, Y. An analytical solution for double cantilever beam based on elastic–plastic bilinear cohe-sive law: Analysis for mode I fracture of fibrous composites. Eng. Fract. Mech. 2018, 193, 66–76. [Google Scholar] [CrossRef]
- Tvergaard, V.; Hutchinson, J.W. The relation between crack growth resistance and fracture process parameters in elastic-plastic solids. J. Mech. Phys. Solids 1992, 40, 1377–1397. [Google Scholar] [CrossRef]
- Alfano, M.; Furgiuele, F.; Leonardi, A.; Maletta, C.; Paulino, G.H. Mode I fracture of adhesive joints using tailored cohesive zone models. Int. J. Fract. 2008, 157, 193–204. [Google Scholar] [CrossRef]
- Alfano, M.; Lubineau, G.; Paulino, G.H. Global sensitivity analysis in the identification of cohesive models using full-field kine-matic data. Int. J. Solids Struct. 2015, 55, 66–78. [Google Scholar] [CrossRef]
- Needleman, A. An analysis of decohesion along an imperfect interface. Int. J. Fract. 1990, 42, 21–40. [Google Scholar] [CrossRef]
- Xu, X.-P.; Needleman, A. Void nucleation by inclusion debonding in a crystal matrix. Model. Simul. Mater. Sci. Eng. 1993, 1, 111–132. [Google Scholar] [CrossRef]
- Ortiz, M.; Pandolfi, A. Finite-deformation irreversible cohesive elements for three-dimensional crack-propagation analysis. Int. J. Numer. Methods Eng. 1999, 44, 1267–1282. [Google Scholar] [CrossRef]
- Needleman, A. A Continuum Model for Void Nucleation by Inclusion Debonding. J. Appl. Mech. 1987, 54, 525–531. [Google Scholar] [CrossRef]
- Ngo, D.; Park, K.; Paulino, G.H.; Huang, Y. On the constitutive relation of materials with microstructure using a potential-based cohesive model for interface interaction. Eng. Fract. Mech. 2010, 77, 1153–1174. [Google Scholar] [CrossRef]
- Alfano, M.; Furgiuele, F.; Lubineau, G.; Paulino, G.H. Simulation of debonding in Al/epoxy T-peel joints using a potential-based cohesive zone model. Procedia Eng. 2011, 10, 1760–1765. [Google Scholar] [CrossRef][Green Version]
- Park, K.; Paulino, G.H.; Roesler, J. A unified potential-based cohesive model of mixed-mode fracture. J. Mech. Phys. Solids 2009, 57, 891–908. [Google Scholar] [CrossRef]
- Park, K.; Choi, H.; Paulino, G.H. Assessment of cohesive traction-separation relationships in ABAQUS: A comparative study. Mech. Res. Commun. 2016, 78, 71–78. [Google Scholar] [CrossRef]
- Park, K.; Paulino, G.H. Computational implementation of the PPR potential-based cohesive model in ABAQUS: Educational perspective. Eng. Fract. Mech. 2012, 93, 239–262. [Google Scholar] [CrossRef]
- Spring, D.W.; Paulino, G.H. A growing library of three-dimensional cohesive elements for use in ABAQUS. Eng. Fract. Mech. 2014, 126, 190–216. [Google Scholar] [CrossRef]
- Cerrone, A.; Wawrzynek, P.; Nonn, A.; Paulino, G.H.; Ingraffea, A. Implementation and verification of the Park–Paulino–Roesler cohesive zone model in 3D. Eng. Fract. Mech. 2014, 120, 26–42. [Google Scholar] [CrossRef]
- Nguyen, N.; Waas, A.M. A novel mixed-mode cohesive formulation for crack growth analysis. Compos. Struct. 2016, 156, 253–262. [Google Scholar] [CrossRef]
- Spring, D.W.; Giraldo-Londoño, O.; Paulino, G.H. A study on the thermodynamic consistency of the Park–Paulino–Roesler (PPR) cohesive fracture model. Mech. Res. Commun. 2016, 78, 100–109. [Google Scholar] [CrossRef]
- Gilormini, P.; Diani, J. Some features of the PPR cohesive-zone model combined with a linear unloading/reloading relationship. Eng. Fract. Mech. 2017, 173, 32–40. [Google Scholar] [CrossRef][Green Version]
- Su, C.; Liu, D.; Ding, C.; Gong, C.; Zhao, P.; Liu, X. Experimental Study on Bond Performances of Track Slab and Mortar Based on DIC Technology. KSCE J. Civ. Eng. 2018, 22, 3546–3555. [Google Scholar] [CrossRef]
- Bosch, M.V.D.; Schreurs, P.P.; Geers, M. An improved description of the exponential Xu and Needleman cohesive zone law for mixed-mode decohesion. Eng. Fract. Mech. 2006, 73, 1220–1234. [Google Scholar] [CrossRef]
- Zhong, Y.L. Research on the Interface Cracking of CRTSⅡ Ballastless Track Slab—Mortar Layer and Its Control; Beijing Jiaotong Universy: Beijing, China, 2018. [Google Scholar]


























Publisher’s Note: MDPI stays neutral with regard to jurisdictional claims in published maps and institutional affiliations. |
© 2021 by the authors. Licensee MDPI, Basel, Switzerland. This article is an open access article distributed under the terms and conditions of the Creative Commons Attribution (CC BY) license (http://creativecommons.org/licenses/by/4.0/).
Share and Cite
Zhong, Y.; Gao, L.; Cai, X.; An, B.; Zhang, Z.; Lin, J.; Qin, Y. An Improved Cohesive Zone Model for Interface Mixed-Mode Fractures of Railway Slab Tracks. Appl. Sci. 2021, 11, 456. https://doi.org/10.3390/app11010456
Zhong Y, Gao L, Cai X, An B, Zhang Z, Lin J, Qin Y. An Improved Cohesive Zone Model for Interface Mixed-Mode Fractures of Railway Slab Tracks. Applied Sciences. 2021; 11(1):456. https://doi.org/10.3390/app11010456
Chicago/Turabian StyleZhong, Yanglong, Liang Gao, Xiaopei Cai, Bolun An, Zhihan Zhang, Janet Lin, and Ying Qin. 2021. "An Improved Cohesive Zone Model for Interface Mixed-Mode Fractures of Railway Slab Tracks" Applied Sciences 11, no. 1: 456. https://doi.org/10.3390/app11010456
APA StyleZhong, Y., Gao, L., Cai, X., An, B., Zhang, Z., Lin, J., & Qin, Y. (2021). An Improved Cohesive Zone Model for Interface Mixed-Mode Fractures of Railway Slab Tracks. Applied Sciences, 11(1), 456. https://doi.org/10.3390/app11010456

