You are currently viewing a new version of our website. To view the old version click .
Applied Sciences
  • Article
  • Open Access

31 December 2020

A Novel Ultrasonic Trepanning Method for Nomex Honeycomb Core

,
,
,
and
Key Laboratory for Precision and Non-Traditional Machining Technology of Ministry of Education, Dalian University of Technology, Dalian 116024, China
*
Author to whom correspondence should be addressed.
This article belongs to the Section Mechanical Engineering

Abstract

The vertical surface is a common and typical characteristic structure among Nomex honeycomb core components. However, the conventional high-speed milling and ultrasonic cutting struggle to meet the high-quality machining requirements of a vertical surface. In this study, an ultrasonic trepanning method is proposed and a special ultrasonic trepanning tool is developed, aiming to improve the machining quality of the vertical surface. The trepanning quality of the vertical surface is further studied from the aspects of dimensional error and trepanning incision quality. Based on the kinematic characteristics of ultrasonic trepanning, a theoretical model of dimensional error in trepanning is established. Meanwhile, the influence of ultrasonic vibration on the trepanning process is analyzed, and the result shows that ultrasonic vibration significantly improves the equivalent elastic constant of the honeycomb core material. The theoretical model is proposed to predict the trepanning dimensional error, which is verified by experiment. The effectiveness of the ultrasonic vibration on the incision quality is verified by several experiments, and the quantitative analysis results demonstrate that ultrasonic vibration significantly improves the trepanning quality of the vertical surface.

1. Introduction

As the core of the honeycomb sandwich structure, the Nomex honeycomb core is widely used in fields of aviation, aerospace, transportation and so on, for its excellent specific strength, specific stiffness, impact resistance, corrosion resistance and vibration absorption performance [,,,,]. In order to meet the application requirements of different conditions, the honeycomb core requires a lot of cutting processing to obtain the designed structure, shape and size. The vertical surface along the cell axial is a common and typical characteristic structure among honeycomb core components, including the edge vertical surface, the straight and curved vertical surface of the trough and the boss structure. The typical vertical surfaces are shown in Figure 1.
Figure 1. Typical vertical surface: (a) internal arc vertical surface; (b) external arc vertical surface; and (c) straight vertical surface.
The conventional machining method of the vertical surface, which is formed by shredding the honeycomb core by the hogger tool, is the high-speed milling. However, the Nomex honeycomb core is a typical low stiffness material [,], whose cells are easily deformed during cutting. Additionally, the aramid fiber, which constitutes the Nomex honeycomb core, has high strength and is difficult to cut off [,]. The machined vertical surface by high-speed milling is of poor quality and accompanied by a large number of burrs, which struggles to meet the high-quality machining requirements in the fields of aviation and aerospace. In addition to high-speed milling, there is also a trepanning method for the vertical surface that has been introduced to aviation manufacturing companies []. Compared with high-speed milling, the trepanning method, that uses the trepanning tool to approximately form the vertical surface can improve the quality of the machined surface. However, it also suffers from many problems such as uneven machined surface, large cutting force and easy clogging of the tool with chips. Therefore, trepanning is also difficult to meet the high-quality machining requirements of the vertical surface in honeycomb core components.
In recent years, ultrasonic cutting technology has attracted a lot of attention for its advantages of good cutting quality and high cutting efficiency. Compared with traditional machining methods, ultrasonic vibration significantly reduces the cutting force [,], and the machined surface is basically free of machining defects [,], such as burr and tear. The current studies on the ultrasonic cutting of Nomex honeycomb core mainly focus on cutting force modeling, cutting quality, finite element simulation and new processing methods. Wang et al. [] established the dynamic force model for ultrasonic-assisted cutting with straight blade and analyzed the reasons for the reduction in cutting force in ultrasonic-assisted cutting. Cao et al. [] established a finite element simulation model of the ultrasonic vibration-assisted cutting force of the disc-cutter on the honeycomb core material. Zhang et al. [] summarized the characteristics of the surface microscopic of Nomex honeycomb by the location of the feature and analyzed the influence of feed rate and ultrasonic vibration amplitude to the damage form. In addition, Xiang et al. [] developed a new ultrasonic longitudinal-torsional vibration-assisted cutting method, in which the machined surface with better quality can be obtained when compared to ultrasonic longitudinal vibration-assisted cutting. Although studies on the ultrasonic cutting technology of Nomex honeycomb core have been performed in various ways, there are only two kinds of special tools for ultrasonic cutting, include straight blade and disc-cutter []. However, due to the structural limitations of the straight blade, the arc vertical surface is difficult to achieve with ultrasonic machining. Moreover, due to the length limitations of the straight blade, the deeper straight vertical surface is difficult to process at one time.
In addition, due to the special structure and mechanical properties of the honeycomb core, the studies on its machining quality mainly focus on burrs and tear [,], which are significantly different from the metal material [,]. Moreover, the selection of the processing track is of great significance to the final machining precision and quality [,], but there is no relevant research on the trepanning trajectory at present.
In summary, the existing processing methods do not meet the high-quality machining requirements of the vertical surface. To improve the machining quality, a novel ultrasonic trepanning method for the vertical surface is proposed, and a special ultrasonic trepanning tool was developed for the first time. Moreover, in order to further clarify the key factors affecting the trepanning quality, the theoretical model of the trepanning dimensional error was established and verified, and the quantitative analysis of the trepanning incision quality was carried out innovatively.

2. Ultrasonic Trepanning Process

2.1. Ultrasonic Trepanning Strategy

2.1.1. The Ultrasonic Trepanning Method

Ultrasonic trepanning is an approximate forming machining method. Its machining principle is similar to drilling [], in which a series of circular holes that envelop the required vertical surface are machined along the set trepanning path with the trepanning tool, and the required vertical surface is obtained after removing the excess material.
The ultrasonic trepanning of Nomex honeycomb core is shown in Figure 2a. The cutting of the honeycomb core is completed by the combined action of the ultrasonic vibration, rotary motion and feed motion of the trepanning tool. In the ultrasonic trepanning process, the trepanning tool vibrates along its axial direction, and the maximum ultrasonic vibration amplitude is generated at the cutting edge to act in the cutting processing. The circular hole outside the trepanning tool is the machined surface, while the honeycomb core inside the trepanning tool is the chip.
Figure 2. Ultrasonic trepanning of internal arc vertical surface. (a) Principle of ultrasonic trepanning; (b) Trepanning method.
The ultrasonic trepanning method of the internal arc vertical surface is shown in Figure 2b. In order to obtain a series of circular holes that envelop the internal arc vertical surface, the ultrasonic trepanning tool is used to carry out the ultrasonic trepanning step by step along the set arc-shaped working path. After removing the excess material with a disc cutter, a high-quality internal arc vertical surface is supposed to be acquired. In each step of ultrasonic trepanning, the ultrasonic trepanning tool is fed from the top of the workpiece along the cell axial. When the trepanning tool is fed to the set depth, the trepanning tool quickly returns and feeds to the next position to carry out the next step of ultrasonic trepanning.

2.1.2. Kinematics Analysis of Ultrasonic Trepanning

Compared with traditional trepanning, the introduction of ultrasonic vibration significantly changes the relative motion form between the trepanning tool and the honeycomb core. The tool motion in ultrasonic trepanning is the superposition of traditional trepanning and ultrasonic vibration. Therefore, the trajectory of the cutting edge s(t) in ultrasonic trepanning can be expressed as follows:
s ( t ) = s X ( t ) s Y ( t ) s Z ( t ) = r cos ( 2 π n t ) r sin ( 2 π n t ) v f t + A sin ( 2 π f t )
where r is the radius of the trepanning tool, n is the rotating speed of the tool, vf is the feed rate, A is the ultrasonic vibration amplitude of the tool, f is the ultrasonic vibration frequency and t is the time.
The velocity of the cutting edge v(t) in three directions can be obtained by differentiating Equation (1), which is shown as follows:
v ( t ) = s ( t ) = v X ( t ) v Y ( t ) v Z ( t ) = 2 π n r sin ( 2 π n t ) 2 π n r cos ( 2 π n t ) v f + 2 π f A cos ( 2 π f t )
The trajectory of one point on the cutting edge of the trepanning tool in the ultrasonic trepanning is shown in Figure 3, where r = 9.5 mm, n = 500 r/min, vf = 25 mm/s, A = 20 μm, f = 20 kHz. The motion direction of the cutting edge in ultrasonic trepanning changes periodically, which demonstrates that the cutting edge alternately cuts into and exits the honeycomb core material. Therefore, ultrasonic vibration transforms the conventional continuous cutting into intermittent cutting with ultrasonic frequency.
Figure 3. The trajectory of the cutting edge.

2.2. Ultrasonic Trepanning Tool

2.2.1. Design of Ultrasonic Trepanning Tool

The structure of the ultrasonic trepanning tool for the Nomex honeycomb core is shown in Figure 4. It can be seen that the trepanning tool is a hollow cylindrical structure, the cutting edge is located at the bottom of the tool, and the end of the trepanning tool near the cutting edge has a horn-shaped design.
Figure 4. Structure of ultrasonic trepanning tool.
In ultrasonic trepanning, the size of the machined surface depends on the tool diameter d. To prevent the machined surface from being damaged by friction between the flank surface and the machined surface, there is a relief angle α on the tool. The overall length of the trepanning tool is L, which affects the machining depth range of the trepanning tool. In addition, the trepanning tool also has a rake angle γ.
The design vibration mode of the ultrasonic trepanning tool is longitudinal vibration along the tool axial. Therefore, it is suitable to design the vibration performance with the longitudinal vibration theory of the slender rod. As shown in Figure 4, taking the rotary axis of the trepanning tool as the x axis, the cross-sectional area function is S = S(x). At any position x, the displacement function of the mass point is ξ = ξ(x,t), the stress function is σ = σ (x,t) = E (∂ξ/∂x) (E is the elastic modulus of the trepanning tool material). According to Newton’s law of motion, the wave equation of the longitudinal vibration [] of any section of the trepanning tool is obtained as follows:
( S · σ ) x d x = S ρ 2 ξ t 2 d x
where ρ denotes the density of the trepanning tool material.
When the longitudinal vibration of the ultrasonic trepanning tool is a simple harmonic vibration, Equation (3) can be simplified as
2 ξ x 2 + 1 S S x ξ x + k 2 ξ = 0
Equation (4) is the wave equation of longitudinal vibration of any cross-section of the trepanning tool, where k = ω/c, k is the angular wave number, ω is the angular velocity, and c is the propagation velocity of the longitudinal wave in the trepanning tool.
The traditional analytical method is a substitute for the cross-sectional area function S(x) and other parameters into the wave equation to obtain the analytic solution of the wave equation. Then, the relevant parameters of the vibration system can be obtained by solving the analytic solution according to the boundary conditions of resonance frequency, stress and displacement, etc. However, both the structure of the ultrasonic trepanning tool and the solution calculation are complex. Hence, it is difficult to accurately calculate the resonant frequency of the ultrasonic trepanning tool by solving the equation. In this paper, to accomplish the best design of the ultrasonic trepanning tool, a finite element simulation method is used to calculate and analyze the vibration mode of the trepanning tool.
In addition to the tool structure, the material constituting the trepanning tool also has an important influence on the vibration performance of the tool. The tool material with excellent vibration performance is supposed to be conducive to the large ultrasonic vibration amplitude of the trepanning tool. The aramid paper and phenolic resin that make up the Nomex honeycomb core are relatively soft, so there is no special requirement for the hardness of the trepanning tool. However, the Nomex honeycomb core is difficult to cut off, and the trepanning tool with sharper cutting edge is beneficial to the high-quality machining of the Nomex honeycomb core. Cemented carbide and high-speed steel have been the main materials of CNC cutting tools to date. Although cemented carbide has high hardness and good wear resistance, its vibration performance is poor and difficult to process. As a result, the special ultrasonic cutting tools for Nomex honeycomb core materials are mostly made of high-speed steel [,]. Comprehensively, considering the requirements of the function and structure of the ultrasonic trepanning tool, the high-speed steel material of the brand W9Mo3Cr4V was selected to develop the ultrasonic trepanning tool. The material properties are listed in Table 1.
Table 1. Properties of the trepanning tool material.

2.2.2. Finite Element Simulation Analysis

Owing to the fact that the ultrasonic trepanning tool is driven by the ultrasonic vibration system to perform ultrasonic vibration, the resonance frequency of the ultrasonic trepanning tool needs to match with the vibration system. In the field of the ultrasonic cutting of the Nomex honeycomb core, the vibration frequency of various types of ultrasonic cutting system is about 20 kHz []. To match with the existing ultrasonic vibration system and extend the application scope of the ultrasonic trepanning tool, the vibration frequency of the ultrasonic trepanning tool is also set at 20 kHz.
In this study, the modal module of the ANSYS Workbench was used to analyze the resonant frequency of ultrasonic trepanning tool with a different size. In every finite element simulation analysis, to determine the required resonant frequency of the trepanning tool, only one parameter is varied while keeping all the other design parameters constant. Adaptive tetrahedral elements are used to mesh. The designed longitudinal vibration mode is shown in Figure 5.
Figure 5. Longitudinal vibration mode of ultrasonic trepanning tool.
The longitudinal resonant frequency of the ultrasonic trepanning tool with a different tool length and tool diameter is shown in Figure 6. When the tool length increases from 65 to 130 mm, the resonant frequency of the tool decreases from 27.09 to 13.01 kHz, indicating that the tool length has a crucial influence on the resonant frequency of the trepanning tool. Since the longitudinal resonance frequency (20.3 kHz) of the 90 mm-long trepanning tool has the smallest deviation (1.5%) from the design frequency (20 kHz), the length of the ultrasonic trepanning tool is determined as 90 mm. When the diameter of tool increases from 13 to 33 mm, the resonant frequency of tool decreases from 20.63 to 18.82 kHz. According to the usage requirements of the trepanning tool and the resonance frequency under different tool diameters, the diameter of the ultrasonic trepanning tool is determined as 19 mm.
Figure 6. Relationship between the tool size and resonance frequency. (a) Tool length; (b) Tool diameter.
The relationship between the angle of the ultrasonic trepanning tool and longitudinal resonance frequency is shown in Figure 7. With the increase in the rake angle γ from 60° to 80°, the vibration frequency of the tool increases from 20.1 to 20.97 kHz. When the rake angle of the tool is larger than 70°, the resonance frequency increases rapidly with the increase in the rake angle of the ultrasonic trepanning tool. As the relief angle of the tool increases from 1° to 10°, the vibration frequency of the trepanning tool increases from 19.8 to 20.89 kHz. Based on the influence of the rake angle and relief angle on the resonance frequency, combined with the influence of the tool angle on the cutting process, the angles of ultrasonic trepanning tool are finally set to γ = 70° and α = 2°.
Figure 7. Relationship between the tool angle and resonance frequency. (a) Rake angle; (b) Relief angle.

2.2.3. Ultrasonic Vibration Performance Test of Trepanning Tool

The vibration performance of the ultrasonic trepanning tool is directly reflected in the ultrasonic vibration amplitude. The larger the ultrasonic amplitude is, the better the vibration performance is, and the more it benefits the cutting of the Nomex honeycomb core. The vibration performance test device of the ultrasonic trepanning tool is shown in Figure 8a. The vibration amplitude of the ultrasonic trepanning tool is measured by the KEYENCE LK-H025 laser displacement sensor. The repeat measurement accuracy of the laser displacement sensor is 0.02 μm, and the laser spot size is 25 × 1400 μm. The sampling frequency during the measurement is 392 kHz, which is much larger than the design vibration frequency of the ultrasonic trepanning tool.
Figure 8. Ultrasonic vibration performance test. (a) Test device; (b) Result of ultrasonic vibration performance test.
The results of the vibration performance test of the ultrasonic trepanning tool is shown in Figure 8b. The amplitude curve at the cutting edge of the ultrasonic trepanning tool is close to the ideal sine curve, the maximum amplitude at the cutting edge can reach 27 μm, and the actual longitudinal vibration frequency of the ultrasonic trepanning tool is about 20.16 kHz. The vibration amplitude of the developed ultrasonic trepanning tool is similar to that of the existing commercial ultrasonic cutting tool. The actual longitudinal vibration frequency is close to the design frequency, and the deviation is only about 0.8%, which satisfactorily meets the design requirements.

3. Theoretical Analysis of Ultrasonic Trepanning Quality

The features of the actual machined surface in trepanning are shown in Figure 9. The vertical surface, generated by trepanning, is not an ideal flat or curved surface. There must be a deviation between the actual incision obtained by trepanning and the designed straight incision. In order to clarify the influence of various factors on the trepanning quality of Nomex honeycomb core, it is necessary to study the ultrasonic trepanning quality from aspects of dimensional error and trepanning incision quality.
Figure 9. Schematic of trepanning quality.

3.1. Dimensional Error in Trepanning

3.1.1. Theoretical Analysis of Dimensional Error in Trepanning

In the actual trepanning processing, compared with the design vertical surface, the actual vertical surface between the two adjacent trepanning positions has a regular “tower tip” shape remaining unremoved part. The trepanning processing of a straight and curved vertical surface is shown in Figure 10, the shaded area is the remaining unremoved part in the trepanning processing. The area of the remaining unremoved part affects the dimensional accuracy of the honeycomb core component. If the area of the remaining unremoved part is too large, the vertical surface will deviate from the design size. If it exceeds the allowable range, the dimension of the vertical surface will be out of tolerance. In order to ensure the trepanning quality of the vertical surface, the size of the remaining unremoved part in trepanning should be limited to a reasonable range.
Figure 10. Dimensional error in trepanning: (a) internal arc vertical surface; (b) external arc vertical surface; (c) straight vertical surface.
The area of the residual unremoved part is the most direct way to characterize its size, but it cannot intuitively reflect the influence of the size of the unremoved part on the actual dimensional error. In the calculation of the dimensional error of the vertical surface, the “peak” of the residual unremoved part has the greatest influence on the actual dimensional error. The height of the “peak” position of the residual unremoved part along the direction perpendicular to the vertical surface directly affects the actual dimensional error. Therefore, it is selected as the evaluation parameter of the trepanning dimensional error, referred to as the residual height h.
The residual height of the arc vertical surface in trepanning is demonstrated in Figure 10a,b, respectively. The radius of the arc vertical surface to be machined is R. The trepanning tool performs the cutting along the circular arc trepanning path, which is concentric with the designed arc vertical surface. The step length between two adjacent trepanning positions is the rotation angle θ between two adjacent trepanning positions passing through the circle center O. The residual height hI of the internal arc vertical surface in trepanning and the residual height hE of the external arc vertical surface in trepanning can be expressed as follows:
h I = R ( R r ) cos θ I 2 r 2 ( R r ) 2 sin 2 θ I 2
h E = ( R + r ) cos θ E 2 R r 2 ( R + r ) 2 sin 2 θ E 2
The residual height of the straight vertical surface in trepanning is demonstrated in Figure 10c. The trepanning tool performs the cutting along the trepanning path parallel to the straight vertical surface. The distance between the two adjacent trepanning positions is the step length Ls. The residual height hS of the straight vertical surface in trepanning can be expressed as
h S = r r 2 L S 2 4

3.1.2. The Influence of Process Parameters on Dimensional Error

In order to further clarify the influence of process parameters on the trepanning dimensional error, the residual heights of three kinds of vertical surfaces under different trepanning process parameters were calculated.
In straight vertical surface trepanning, the relationship between the trepanning step length and the residual height is demonstrated in Figure 11. It can be seen that the residual height increases with the increase in the trepanning step length, when using different sizes of trepanning tools. The use of a larger radius trepanning tool at the same step length can effectively reduce the residual height. However, when the radius of the trepanning tool increases to more than 30 mm, the residual height under the same step length no longer significantly reduces.
Figure 11. Curve chart of the hS change with step length.
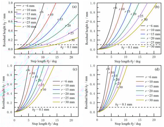
In internal arc vertical surface trepanning, the relationship between the step length and the residual height hI are demonstrated in Figure 12, where the radius of the internal arc vertical surface to be machined is 40, 60, 80 and 100 mm, respectively. It can be seen that the residual height increases with the increase in the trepanning step length, when using different sizes of trepanning tools. The use of a larger radius trepanning tool at the same step length can also effectively reduce the residual height. When the radius of the internal arc vertical surface is small, trepanning tools of different sizes have a significant impact on the residual height under the same step length. However, as the size of the internal arc vertical surface increases to more than 80 mm, the effectiveness of the increase in the tool radius on the decrease in the trepanning step length is no longer significant.
Figure 12. Curve chart of hI change with the step length: (a) R = 40 mm; (b) R =60 mm; (c) R = 80 mm; and (d) R = 100 mm.
The relationship between the step length and the residual height hE is demonstrated in Figure 13, where the radius of the external arc vertical surface to be machined is 40, 60, 80 and 100 mm, respectively. The relationship between the residual height of the external arc vertical surface and the process parameters is similar to that of the internal arc vertical surface. However, in the trepanning of the external arc vertical surface, when the radius of the trepanning tool increases to more than 20 mm, the residual height does not decrease significantly as the radius of the tool continues to increase when the step length is the same.
Figure 13. Curve chart of the hE change with step length: (a) R= 40 mm; (b) R = 60 mm; (c) R = 80 mm; and (d) R = 100 mm.

3.2. Theoretical Analysis on the Quality of Trepanning Incision

In the trepanning processing of the honeycomb core component, the trepanning tool cuts off the material along the axis of the honeycomb core cell, forming a trepanning incision along the axis of the honeycomb core cell. All the incisions produced by the trepanning together form the vertical surface, so the quality of the trepanning incision directly determines the processing quality of the vertical surface. The ideal trepanning incision should be straight and neat. However, the in-plane stiffness of the Nomex honeycomb core is relatively low, and the strength of aramid fiber which constitutes the honeycomb core is relatively high, which makes the cutting force larger in the trepanning process. Therefore, the honeycomb core material is easy to deform in the cutting area, and the actual trepanning incision would deviate from the designed straight contour.
The cutting model of the tool–workpiece vibration system is shown in Figure 14, and the motion equation of the workpiece in the cutting thrust force direction is shown as follows:
M d 2 x d t 2 + c d x d t + k x = P t ( t )
where M is the equivalent mass of the workpiece, k is the elastic constant of the workpiece material in the in-plane direction, c is the viscous damping coefficient of the workpiece, and Pt is the cutting thrust force.
Figure 14. The cutting model of the tool–workpiece vibration system.
According to Junichiro’s research on pulse-shaped cutting thrust force in vibration cutting [], combined with the performance characteristics of Nomex honeycomb core material, the solution of Equation (8) is as follows:
x = t c T · P t k
where T is the vibration cycle of the tool in ultrasonic trepanning, tc is the time for the trepanning tool to cut the material in one vibration cycle.
Equation (9) can also be expressed as follows:
x = P t T t c · k = P t K
The equivalent elastic constant K of the workpiece material in ultrasonic trepanning is derived as follows:
K = T t c · k
The displacement of the cutting edge along the feed direction in ultrasonic trepanning and traditional non-ultrasonic trepanning is demonstrated in Figure 15. In one vibration cycle, the trepanning tool cuts into the deepest part of the honeycomb core at time t1. In the next vibration cycle, from t1 to t2, the tool exits the cutting area and is farthest away from the cutting area at t2. After that, the cutting tool moves towards the cutting area again, the cutting tool reaches the deepest point in the previous vibration cycle at t3. From t3 to t4, the trepanning tool cuts into the honeycomb core, and cuts into the deepest part of the honeycomb core at t4, at the same time, the cutting tool is ready to exit the cutting area.
Figure 15. Displacement of the cutting edge.
From the above analysis, it can be concluded that, in one vibration cycle of ultrasonic trepanning, the tool cutting into the honeycomb core material only between t3 and t4. Therefore, tc can be expressed as follows:
t c = t 4 t 3
Since the cutting tool cuts into the deepest part of honeycomb core material at time t4 and the direction of the tool motion changes in the next moment of t4, therefore, the speed of the cutting tool along the feed direction at t4 is zero:
v Z ( t 4 ) = 0
Substitute Equation (13) into Equation (2) to obtain:
t 4 = arc cos ( v f 2 π f A ) 2 π f
Since the tool only cuts honeycomb core material from time t3 to t4 in a vibration cycle, the cutting depth in a vibration cycle is the distance between the corresponding positions of the tool at t3 and t4, which can be expressed as follows:
S Z ( t 4 ) S Z ( t 3 ) = t 3 t 4 v Z ( t ) d ( t )
Apparently, during the same vibration cycle, the depth of the cutting honeycomb core material with ultrasonic trepanning, is the same with the traditional non-ultrasonic trepanning, which is the vf ·T:
S Z ( t 4 ) S Z ( t 3 ) = v f · T
Substitute Equation (16) into Equation (1) to obtain:
v f ( t 4 t 3 ) + A sin ( 2 π f t 4 ) A sin ( 2 π f t 3 ) = v f · T
The solution of t3 can be obtained by substituting t4 obtained by solving Equation (14) into Equation (17). Combined with Equation (12), tc can be obtained.
During a vibration cycle in the ultrasonic trepanning processing, where A = 20 μm, f = 20 kHz, vf = 50 mm/s, n = 1500 r/min, the time for the trepanning tool to cut the material in one vibration cycle is tc = 0.0000038 s and the vibration cycle T = 0.00005 s. Under these processing parameters, the equivalent elastic constant is 13 times of that of the Nomex honeycomb core material. In the ultrasonic trepanning processing, ultrasonic vibration significantly improves the equivalent elastic constant of the honeycomb core material in the cutting area along the in-plane direction, suppresses the deformation of the honeycomb core material, and is better for obtaining higher quality trepanning incisions.

4. Ultrasonic Trepanning Experiment

The ultrasonic trepanning experiment of the Nomex honeycomb core was carried out on an NHM 800 CNC milling machine, and the experiment setup is shown in Figure 16. A self-developed ultrasonic vibration system was utilized in this experiment, including an ultrasonic trepanning tool, a special ultrasonic cutting tool holder and a high-power ultrasonic generator. The special tool holder for the ultrasonic trepanning was used to convert the power electric signal output by the ultrasonic generator into mechanical vibration and amplify the ultrasonic vibration amplitude. The trepanning tool is installed at the front end of the special tool handle for ultrasonic trepanning. The workpiece is fixed in the central position of the fixture by double-sided adhesive bonding, and the fixture is installed on the workbench of machine tool.
Figure 16. Ultrasonic trepanning of the Nomex honeycomb core: (a) the ultrasonic trepanning experiment setup; and (b) the enlarged view of the marked area.
In order to verify the accuracy of the theoretical calculation of dimensional error in trepanning, the trepanning dimensional error experiment of the internal arc vertical surface was further carried out. The parameters of the trepanning dimensional error experiment are shown in Table 2.
Table 2. Experimental parameters of the trepanning dimensional error.
To study the influence of the process parameters on the quality of the trepanning incision, the trepanning experiment was carried out with or without ultrasonic vibration, under different rotating speed and feed rate. To reduce the influence of interference factors, each set of the experiment was repeated three times. The frequency of ultrasonic vibration is f = 20.06 kHz. The experimental parameters of the ultrasonic trepanning experiment are shown in Table 3.
Table 3. Experimental parameters of the ultrasonic trepanning.

5. Result and Discussion

5.1. Dimensional Error of Vertical Surface

The internal arc vertical surface of the honeycomb core component machined by trepanning is shown in Figure 17, in which the radius of the internal arc vertical surface is 100 mm, and the trepanning step length is 7°. Under the current process parameters, it can be observed that there are obvious residual unremoved parts on the internal arc vertical surface. In order to determine the residual height under different machining parameters, the honeycomb core samples are observed by VHX-600E microscope (Keyence, Osaka, Japan).
Figure 17. Internal arc vertical surface.
The observation results of the dimensional error of the internal arc vertical surface are shown in Figure 18. The measured residual height hI is the distance between the highest peak of the actual residual unremoved part and the theoretical internal arc vertical surface.
Figure 18. Residual height of the internal arc vertical surface: (a) θ = 6°; (b) θ = 10°.
The measured residual height value and the theoretical value under different trepanning step lengths are shown in Figure 19. The actual residual height, under each step length, is obtained by at least five measurements, and the error bar is the standard deviation. The variation trend of the measured residual height is consistent with the theoretical value. However, the average measured residual height is about 9% less than the theoretical value. It is considered that the measured peak position is not the theoretical calculation position due to the cell structure of honeycomb core. The result of the trepanning dimensional error experiment indicates that the theoretical model of residual height can be used to predict the actual residual height.
Figure 19. Residual height of the internal arc vertical surface at a different step length.

5.2. Trepanning Incision Quality of Nomex Honeycomb Core

Obtaining the high-quality machined surface of the Nomex honeycomb core is the ultimate goal of trepanning. In order to study the influence of ultrasonic vibration and other process parameters on the trepanning quality of the Nomex honeycomb core, the chip is removed, and the trepanning incisions on the side of the workpiece are observed by KEYENCE VHX-600E microscope.

5.2.1. Typical Characteristics of Trepanning Incision

The typical trepanning incision is shown in Figure 20. The actual trepanning incision of the vertical surface is a curve incision with regular wavy characteristics, which deviates from the ideal straight incision. The size of the entrance part is obviously different from other part on the incision which constitute the main part of the trepanning incision. Further enlarging the trepanning incision for observation, it can be found that there are burrs on part of the trepanning incision.
Figure 20. Typical trepanning incision.
The ultrasonic trepanning incision with a vibration amplitude of 20 μm and the non-ultrasonic trepanning incision are shown in Figure 21, respectively, where n = 1500 r/min and vf = 1000 mm/min. It is found by comparison that the size of the entrance defect in the ultrasonic trepanning is smaller, the ultrasonic trepanning incision is straighter and there is no processing defects such as burrs. The introduction of ultrasonic vibration, under the same processing parameters, significantly improves the quality of the trepanning incision on the Nomex honeycomb core.
Figure 21. Comparison of trepanning incision: (a) ultrasonic trepanning incision; and (b) non-ultrasonic trepanning incision.

5.2.2. The Influence of Process Parameters on Trepanning Incision Quality

In order to further clarify the influence of process parameters on the quality of trepanning incision on Nomex honeycomb core, it is necessary to put forward the evaluation parameter of trepanning incision quality, and quantitatively study the influence of process parameters on the trepanning incision quality. The incision with wavy features constitutes the most part of the trepanning incision and has a major impact on the final trepanning quality of the honeycomb core. Therefore, the size of the wavy feature is selected as the characterization parameter, which can quantitatively evaluate the impact of the process parameters on the trepanning quality. Since the wavy characteristics on the actual trepanning incision have obvious peaks and troughs, and the smaller the distance between the peaks and troughs, the smaller the actual incision deviates from the designed straight incision, and the better the quality of the machined vertical surface. The distance between the wave peak and trough is determined as the characterization parameter to evaluate the quality of the trepanning incision. The characterization parameter LPT is shown in Figure 22.
Figure 22. Trepanning quality characterization parameters.
The statistical results of the LPT values with or without ultrasonic vibration at different feed rates are shown in Figure 23. The LPT of the ultrasonic trepanning with a vibration amplitude of 20 μm was reduced by 40% compared with non-ultrasonic trepanning, and the LPT of the ultrasonic trepanning with a vibration amplitude of 10 μm was reduced by 30% on average. Ultrasonic vibration significantly reduces the LPT of trepanning incision, improves the quality of the trepanning incision of the Nomex honeycomb core, and the effectiveness is significant at a different feed rate. With the increase in feed rate from 1000 to 3000 mm/min, the LPT of traditional non-ultrasonic trepanning increases by 52%, the LPT of ultrasonic trepanning with a vibration amplitude of 10 μm increases by 46%, and the LPT of ultrasonic trepanning with a vibration amplitude of 20 μm increases by 38%. Compared with the traditional non-ultrasonic trepanning, ultrasonic vibration suppresses the deterioration of trepanning quality when the feed rate increases.
Figure 23. The influence of the feed rate on the quality of trepanning incision.
The statistical results of the LPT with or without ultrasonic vibration at different rotating speeds are shown in Figure 24. With the increase in rotating speed from 500 r/min to 1500 r/min, the LPT of ultrasonic trepanning with vibration amplitude of 20 μm decreases by 49%, the LPT of the ultrasonic trepanning with a vibration amplitude of 10 μm decreases by 55%, and the LPT of traditional non-ultrasonic trepanning decreases by 50%. The LPT of trepanning incision with or without ultrasonic vibration decreases similarly with the increase in rotating speed of tool. At different rotating speed, the LPT of the ultrasonic trepanning with a vibration amplitude of 20 μm is reduced by 38% compared with non-ultrasonic trepanning, and the LPT of ultrasonic trepanning with a vibration amplitude of 10 μm is reduced by 30% on average. The ultrasonic vibration significantly reduces the LPT of the trepanning incision at a different rotating speed, and improves the quality of trepanning incision.
Figure 24. The influence of the rotating speed on the quality of the trepanning incision.
The quantitatively analytical result of the trepanning incision quality demonstrates that the ultrasonic trepanning incision is straighter and better in quality. The introduction of ultrasonic vibration significantly improves the quality of trepanning incision under the different process parameters. The reason for the improvement of the trepanning quality is that ultrasonic vibration significantly increases the equivalent elastic constant of the Nomex honeycomb core along the in-plane direction. The deformation of the Nomex honeycomb core is further suppressed, which makes the final trepanning incision straighter and better in quality.

6. Conclusions

In this study, we propose an ultrasonic trepanning method by analyzing the existing machining methods of the vertical surface. A special ultrasonic trepanning tool is designed. The machining quality of the vertical surface is studied by both the theoretical analysis and experimental verification, which is further studied from the aspects of dimensional error and the quality of trepanning incision. According to the study, the following conclusions are obtained:
(1)
Ultrasonic trepanning is a high-quality machining method for the vertical surface of the Nomex honeycomb core. The introduction of the ultrasonic vibration improves the quality of the trepanning incision significantly.
(2)
The trepanning dimensional error of the vertical surface is influenced by the tool size, step length and feature size of machined vertical surface. Moreover, the trepanning dimensional error experiment verifies that the theoretical value is consistent with the actual value, and the theoretical model can be used to predict the actual trepanning dimensional error.
(3)
The actual trepanning incision of the vertical surface is a curve incision with regular wavy characteristics. However, it can be found by comparison that the ultrasonic trepanning incision is straighter and there are no processing defects such as burrs.
(4)
The characteristic size of the actual wavy incision is used, as the evaluation parameter, to quantitatively analyze the quality of the trepanning incision. The quantitatively analytical result demonstrates that the quality of the ultrasonic trepanning incision with a vibration amplitude of 20 μm is optimized by about 40% on average, compared with traditional trepanning.

Author Contributions

D.S. conceived the paper. D.S. and J.G. processed the data and wrote the paper. R.K. and Y.W. edited the manuscript. Z.D. helped to refined the whole paper and complete the final submission. All authors have read and agreed to the published version of the manuscript.

Funding

This research was funded by financial support from the National Natural Science Foundation of China (U20A20291) and National Key R&D Program of China (2019YFA0708902).

Conflicts of Interest

We declare that we do not have any commercial or associative interest that represents a conflict of interest in connection with the work submitted.

References

  1. Foo, C.C.; Chai, G.B.; Seah, L.K. Mechanical properties of Nomex material and Nomex honeycomb structure. Compos. Struct. 2007, 80, 588–594. [Google Scholar] [CrossRef]
  2. Ahmad, S.; Zhang, J.; Feng, P.; Yu, D.; Wu, Z.; Ma, K. Processing technologies for Nomex honeycomb composites (NHCs): A critical review. Compos. Struct. 2020, 250, 112545. [Google Scholar] [CrossRef]
  3. Roy, R.; Park, S.-J.; Kweon, J.-H.; Choi, J.-H. Characterization of Nomex honeycomb core constituent material mechanical properties. Compos. Struct. 2014, 117, 255–266. [Google Scholar] [CrossRef]
  4. Liu, Y.; Liu, W.; Gao, W. Out-of-plane shear property analysis of Nomex honeycomb sandwich structure. J. Reinf. Plast. Compos. 2020, 620760328. [Google Scholar] [CrossRef]
  5. Li, W.; Qiu, C.; Li, Z.; Nie, H. A failure criterion for honeycomb structures considering the onset of instability under out-of-plane loads. J. Sandw. Struct. Mater. 2020, 425586206. [Google Scholar] [CrossRef]
  6. Karakoç, A.; Freund, J. Experimental studies on mechanical properties of cellular structures using Nomex® honeycomb cores. Compos. Struct. 2012, 94, 2017–2024. [Google Scholar] [CrossRef]
  7. Xie, S.; Feng, Z.; Zhou, H.; Wang, D.; Ma, W. In-plane and out-of-plane compressive mechanical properties of Nomex honeycombs and their prediction. J. Braz. Soc. Mech. Sci. Eng. 2020, 42, 1–20. [Google Scholar] [CrossRef]
  8. Jaafar, M.; Atlati, S.; Makich, H.; Nouari, M.; Moufki, A.; Julliere, B. A 3D FE modeling of machining process of Nomex® honeycomb core: Influence of the cell structure behaviour and specific tool geometry. Procedia CIRP 2017, 58, 505–510. [Google Scholar] [CrossRef]
  9. Gill, D.D.; Yip-Hoi, D.; Meaker, M.; Boni, T.; Eggeman, E.L.; Brennan, A.M.; Anderson, A. Studying the mechanisms of high rates of tool wear in the machining of aramid honeycomb composites. Volume 2: Additive Manufacturing; Materials. In Proceedings of the ASME 2017 12th International Manufacturing Science and Engineering Conference collocated with the JSME/ASME 2017 6th International Conference on Materials and Processing, Los Angeles, CA, USA, 4–8 June 2017; Volume 2. [Google Scholar]
  10. Zhang, J.; Tian, W. Selection of NC cutting tool for carbon fiber/Kevlar fiber/honeycomb core part. Aeronaut. Manuf. Technol. 2010, 71–73. [Google Scholar] [CrossRef]
  11. Hu, X.; Yu, B.; Li, X.; Chen, N. Research on cutting force model of triangular blade for ultrasonic assisted cutting honeycomb composites. Procedia CIRP 2017, 66, 159–163. [Google Scholar] [CrossRef]
  12. Kang, D.; Zou, P.; Wu, H.; Duan, J.; Wang, W. Study on ultrasonic vibration–assisted cutting of Nomex honeycomb cores. Int. J. Adv. Manuf. Technol. 2019, 104, 979–992. [Google Scholar] [CrossRef]
  13. Sun, J.; Dong, Z.; Wang, X.; Wang, Y.; Qin, Y.; Kang, R. Simulation and experimental study of ultrasonic cutting for aluminum honeycomb by disc cutter. Ultrasonics 2020, 103, 106102. [Google Scholar] [CrossRef] [PubMed]
  14. Wang, Y.; Wang, X.; Kang, R.; Sun, J.; Jia, Z.; Dong, Z. Analysis of influence on ultrasonic-assisted cutting force of Nomex honeycomb core material with straight knife. Chin. J. Mech. Eng. 2017, 53, 73–82. [Google Scholar] [CrossRef]
  15. Cao, W.; Zha, J.; Chen, Y. Cutting force prediction and experiment verification of paper honeycomb materials by ultrasonic vibration-assisted machining. Appl. Sci. 2020, 10, 4676. [Google Scholar] [CrossRef]
  16. Zhang, X.; Dong, Z.; Wang, Y.; Xu, Z.; Song, H.; Kang, R. Charization of surface microscopic of Nomex honeycomb after ultrasonic assisted cutting. J. Mech. Eng. 2007, 53, 90–99. [Google Scholar] [CrossRef]
  17. Xiang, D.; Wu, B.; Yao, Y.; Liu, Z.; Feng, H. Ultrasonic longitudinal-torsional vibration-assisted cutting of Nomex® honey-comb-core composites. Int. J. Adv. Manuf. Technol. 2019, 100, 1521–1530. [Google Scholar] [CrossRef]
  18. Toboła, D.; Morgiel, J.; Maj, Ł. TEM analysis of surface layer of Ti-6Al-4V ELI alloy after slide burnishing and low-temperature gas nitriding. Appl. Surf. Sci. 2020, 515, 145942. [Google Scholar] [CrossRef]
  19. Han, X.; Zhang, Z.; Hou, J.; Barber, G.C.; Qiu, F. Tribological behavior of shot peened/austempered AISI 5160 steel. Tribol. Int. 2020, 145, 106197. [Google Scholar] [CrossRef]
  20. Kalisz, J.; Żak, K.; Wojciechowski, S.; Gupta, M.; Krolczyk, G. Technological and tribological aspects of milling-burnishing process of complex surfaces. Tribol. Int. 2020, 106770. [Google Scholar] [CrossRef]
  21. Li, X.; Ren, J.; Tang, K.; Zhou, Y. A tracking-based numerical algorithm for efficiently constructing the feasible space of tool axis of a conical ball-end cutter in five-axis machining. Comput. Aided Des. 2019, 117, 102756. [Google Scholar] [CrossRef]
  22. Feng, P.; Wang, J.; Zhang, J.; Zheng, J. Drilling induced tearing defects in rotary ultrasonic machining of C/SiC composites. Ceram. Int. 2017, 43, 791–799. [Google Scholar] [CrossRef]
  23. Lin, Z. Principle and Design of Ultrasonic Horn; Science Press: Beijing, China, 1987. [Google Scholar]
  24. Xia, Y.; Zhang, J.; Wu, Z.; Feng, P.; Yu, D. Study on the design of cutting disc in ultrasonic-assisted machining of honeycomb composites. IOP Conf. Ser. Mater. Sci. Eng. 2019, 611, 012032. [Google Scholar] [CrossRef]
  25. Ahmad, S.; Zhang, J.; Feng, P.; Yu, D.; Wu, Z.; Ke, M. Research on Design and FE Simulations of Novel Ultrasonic Circular Saw Blade (UCSB) Cutting Tools for Rotary Ultrasonic Machining of Nomex Honeycomb Composites; Institute of Electrical and Electronics Engineers (IEEE): New York, NY, USA, 2019; pp. 113–119. [Google Scholar]
  26. Junichiro, K. Precision Machining and Vibration Assisted Cutting (Base and Application); China Machine Press: Beijing, China, 1985. [Google Scholar]
Publisher’s Note: MDPI stays neutral with regard to jurisdictional claims in published maps and institutional affiliations.

Article Metrics

Citations

Article Access Statistics

Multiple requests from the same IP address are counted as one view.