Parallel Complex Quadrature Spatial Modulation
Abstract
1. Introduction
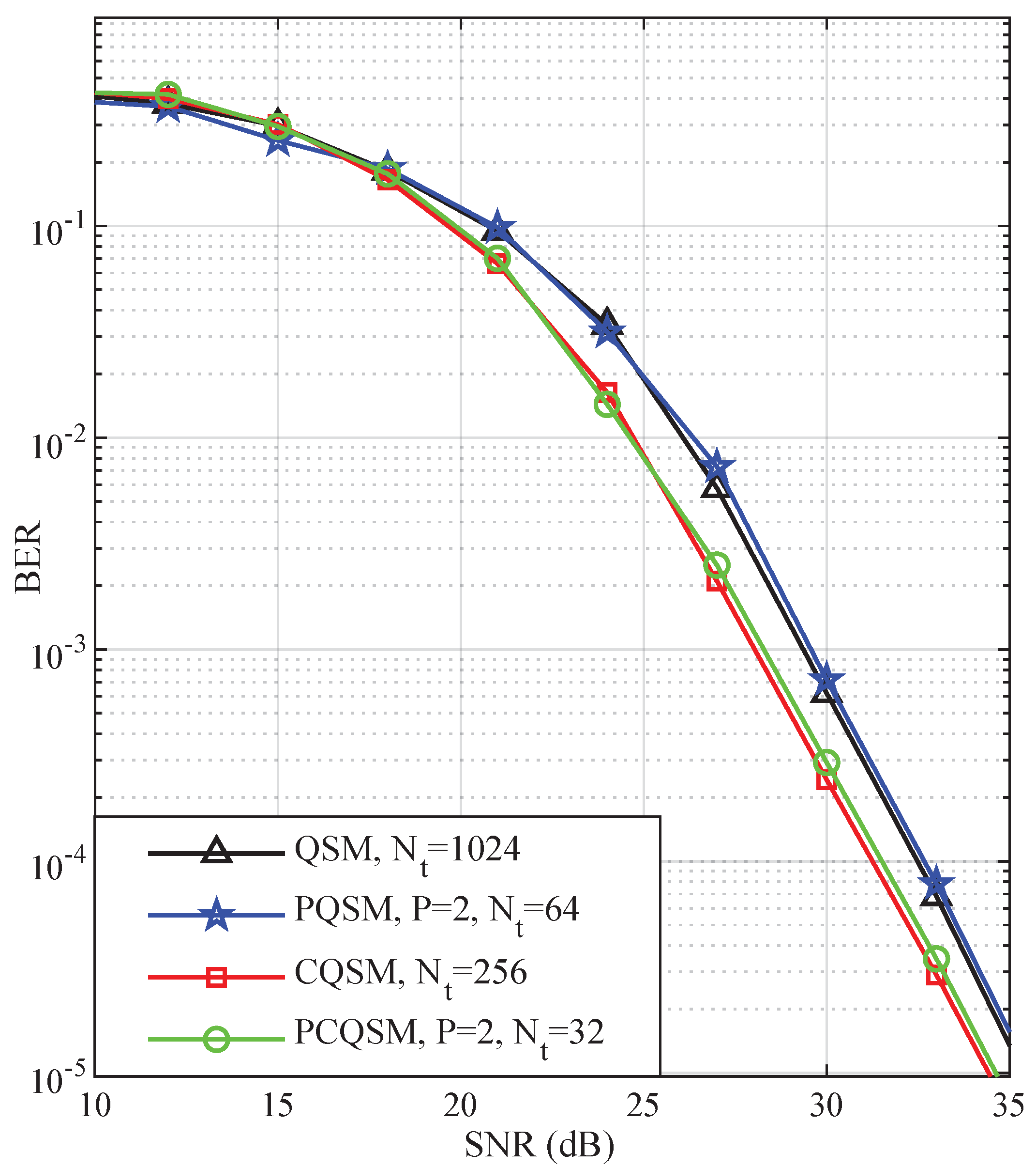
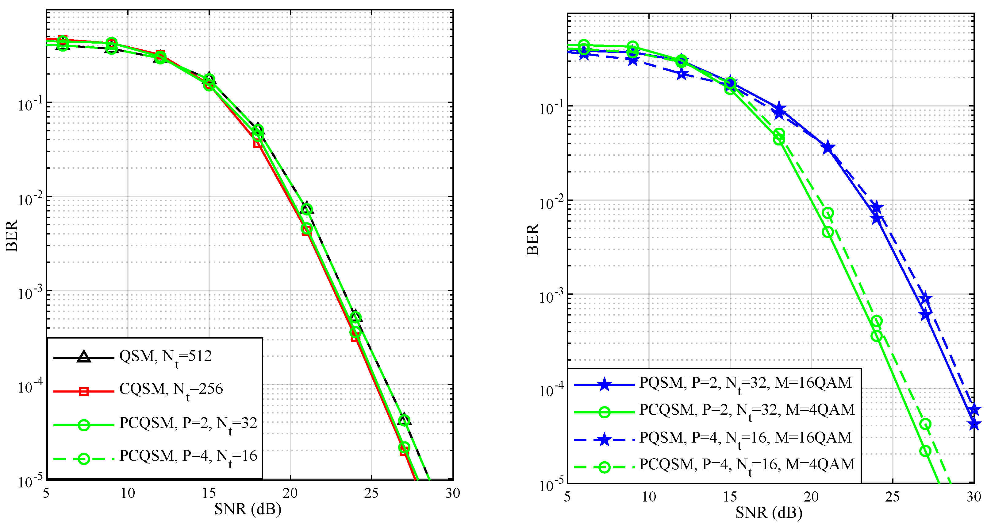
- The PCQSM increases the spatial spectral efficiency linearly with the number of antenna subgroups. As such, the PCQSM system extensively reduces the required number of transmit antennas to achieve a certain spectral efficiency. For example, to achieve 24 bits/s/Hz, the PCQSM requires 992, 224, and 32 less transmit antennas in contrast to QSM, CQSM, and PQSM, respectively.
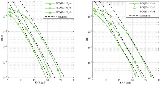
- For the same number of transmit antennas, the PCQSM uses lower modulation order, and therefore achieves better bit error rate (BER) performance. Compared to the PQSM, our proposed scheme has a signal-to-noise ratio (SNR) gain of 4 dB, while using two and four subgroups.
2. System Model and Related Works
2.1. Quadrature Spatial Modulation
2.2. Parallel Quadrature Spatial Modulation
2.3. Complex Quadrature Spatial Modulation
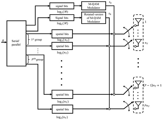
3. Parallel Complex Quadrature Spatial Modulation
4. Performance Analysis
5. Computation Complexity of the Receiver
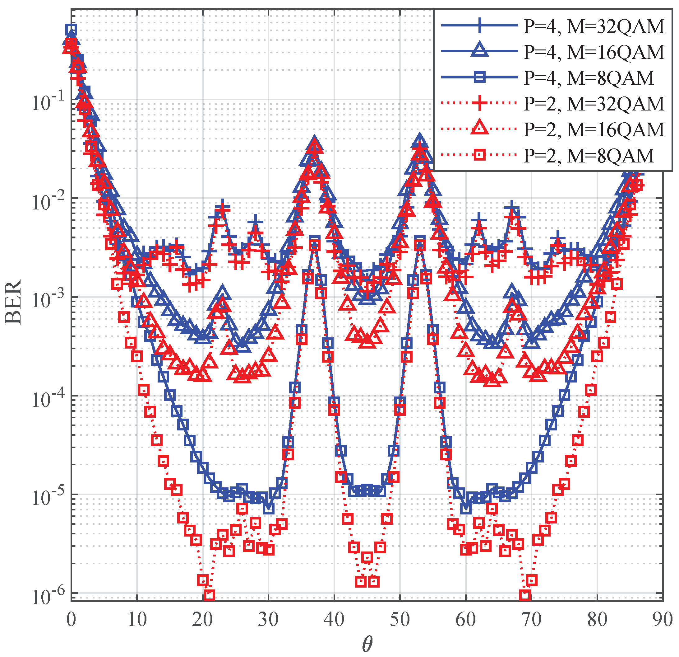
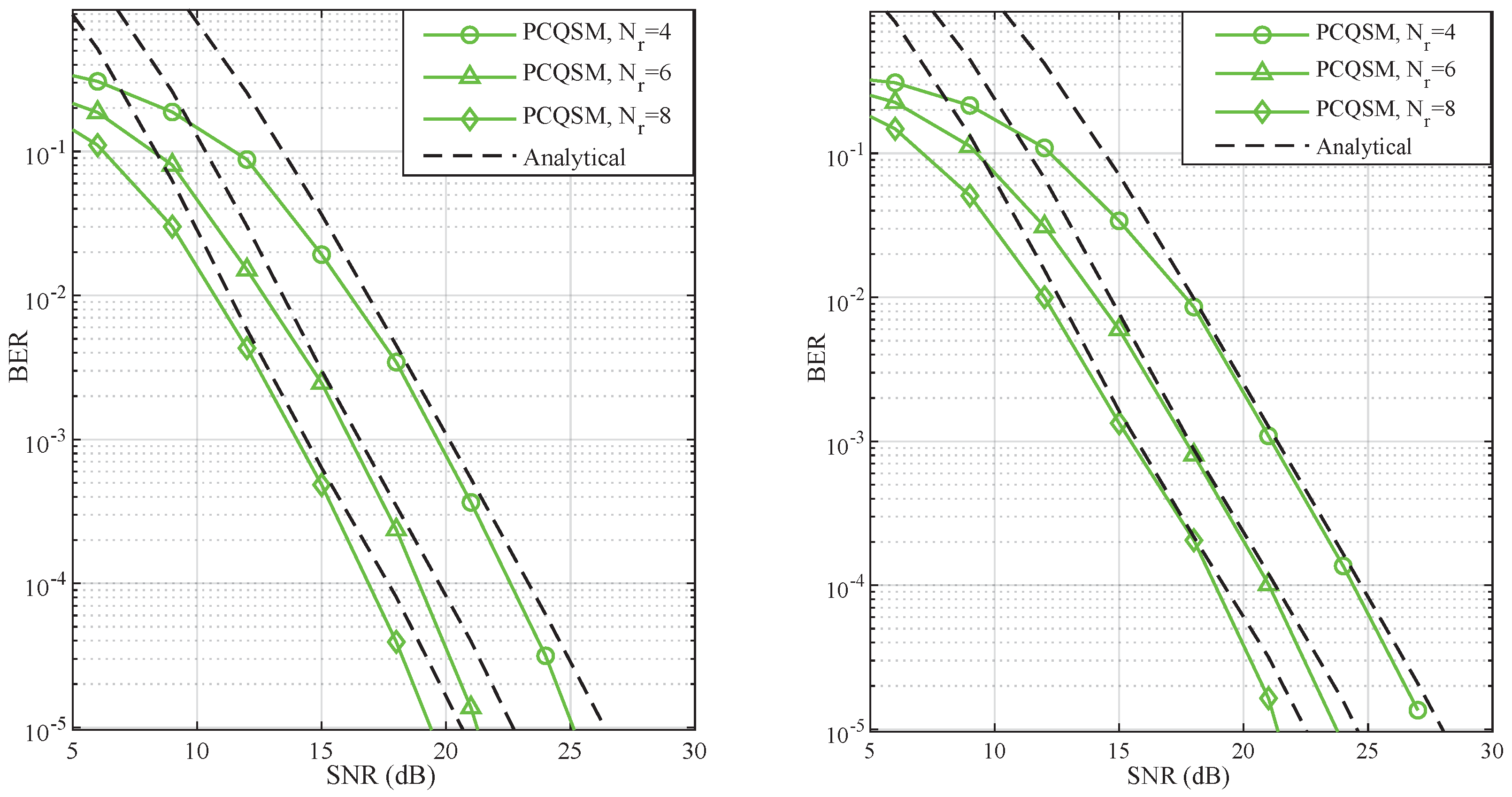
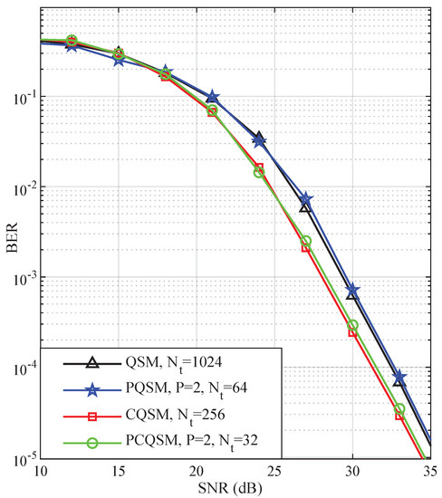
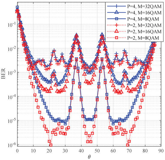
6. Simulation Results
7. Conclusions
Author Contributions
Funding
Institutional Review Board Statement
Informed Consent Statement
Data Availability Statement
Conflicts of Interest
Abbreviations
| ABEP | Average bit error probability |
| BER | Bit error rate |
| CQSM | Complex quadrature spatial modulation |
| IQSM | Improved quadrature spatial modulation |
| IM | Index modulation |
| MA-SM | Multiple active spatial modulation |
| MIMO | Multiple-input multiple-output |
| ML | Maximum likelihood |
| PCQSM | Parallel complex quadrature spatial modulation |
| PQSM | Parallel quadrature spatial modulation |
| PSM | Parallel spatial modulation |
| PEP | Pairwise-error probability |
| PSK | Phase shift keying |
| QAM | Quadrature amplitude modulation |
| QSM | Quadrature spatial modulation |
| RF | Radio frequency |
| SM | Spatial modulation |
| SNR | Signal to noise ratio |
References
- Agiwal, M.; Roy, A.; Saxena, N. Next Generation 5G Wireless Networks: A Comprehensive Survey. IEEE Commun. Surv. Tutor. 2016, 18, 1617–1655. [Google Scholar] [CrossRef]
- Basar, E.; Wen, M.; Mesleh, R.; Renzo, M.D.; Xiao, Y.; Haas, H. Index Modulation Techniques for Next-Generation Wireless Networks. IEEE Access 2017, 5, 16693–16746. [Google Scholar] [CrossRef]
- Mesleh, R.Y.; Haas, H.; Sinanovic, S.; Ahn, C.W.; Yun, S. Spatial Modulation. IEEE Trans. Veh. Technol. 2008, 57, 2228–2241. [Google Scholar] [CrossRef]
- Kaddoum, G.; Ahmed, M.; Nijsure, Y. Code index modulation: A high data rate and energy efficient communication system. IEEE Commun. Lett. 2015, 19, 75–178. [Google Scholar] [CrossRef]
- Zhang, J.; Wang, Y.; Zhang, J.; Ding, L. Polarization shift keying (PolarSK): System scheme and performance analysis. IEEE Trans. Veh. Technol. 2017, 66, 10139–10155. [Google Scholar] [CrossRef]
- Basar, E.g.; Aygolu, U.; Panayirci, E.; Poor, H.V. Orthogonal frequency division multiplexing with index modulation. IEEE Trans. Signal Proc. 2013, 61, 5536–5549. [Google Scholar] [CrossRef]
- Zhu, X.; Wang, Z.; Wang, Q.; Haas, H. Virtual spatial modulation for MIMO systems. In Proceedings of the 2016 IEEE Global Communications Conference (GLOBECOM), Washington, DC, USA, 4–8 December 2016. [Google Scholar]
- Li, J.; Wen, M.; Zhang, M.; Cheng, X. Virtual spatial modulation. IEEE Access 2016, 4, 6929–6938. [Google Scholar] [CrossRef]
- Wen, M.; Zheng, B.; Kim, K.J.; Di Renzo, M.; Tsiftsis, T.A.; Chen, K.C.; Al-Dhahir, N. A Survey on Spatial Modulation in Emerging Wireless Systems: Research Progresses and Applications. IEEE J. Select. Areas Commun. 2019, 37, 1949–1972. [Google Scholar] [CrossRef]
- Younis, A.; Serafimovski, N.; Mesleh, R.; Haas, H. Generalised spatial modulation. In Proceedings of the 2010 Conference Record of the Forty Fourth Asilomar Conference on Signals, Systems and Computers, Pacific Grove, CA, USA, 7–10 November 2010; pp. 1498–1502. [Google Scholar]
- Wang, J.; Jia, S.; Song, J. Generalised spatial modulation with multiple active transmit antennas and low complexity detection scheme. IEEE Trans. Wirel. Commun. 2012, 11, 1605–1615. [Google Scholar] [CrossRef]
- Ju, P.; Zhang, M.; Cheng, X.; Wang, C.X.; Yang, L. Generalized spatial modulation with transmit antenna grouping for correlated channels. In Proceedings of the 2016 IEEE International Conference on Communications (ICC), Kuala Lumpur, Malaysia, 22–27 May 2016; pp. 1–6. [Google Scholar]
- AbuTayeh, S.; Alsalahat, M.; Kaddumi, I.; Alqannas, Y.; Althunibat, S.; Mesleh, R. A half-full transmit-diversity spatial modulation scheme. In Proceedings of the International Conference on Broadband Communications, Networks and Systems (Portugal, 2018) (BROADNETS), Faro, Portugal, 19–20 September 2018; pp. 257–266. [Google Scholar]
- Qu, W.; Zhang, M.; Cheng, X.; Ju, P. Generalized Spatial Modulation With Transmit Antenna Grouping for Massive MIMO. IEEE Access 2017, 5, 26798–26807. [Google Scholar] [CrossRef]
- Xiao, L.; Xiao, Y.; Xu, C.; Lei, X.; Yang, P.; Li, S.; Hanzo, L. Compressed-sensing assisted spatial multiplexing aided spatial modulation. IEEE Trans. Wirel. Commun. 2018, 17, 794–807. [Google Scholar] [CrossRef]
- Mohaisen, M. Constellation design and performance analysis of the parallel spatial modulation. Int. J. Commun. Syst. 2019, 32, e4165. [Google Scholar] [CrossRef]
- Mesleh, R.; Ikki, S.S.; Aggoune, H.M. Quadrature Spatial Modulation. IEEE Trans. Veh. Technol. 2015, 64, 2738–2742. [Google Scholar] [CrossRef]
- Huang, G.; Li, C.; Aissa, S.; Xia, M. Parallel Quadrature Spatial Modulation for Massive MIMO Systems With ICI Avoidance. IEEE Access 2019, 7, 154750–154760. [Google Scholar] [CrossRef]
- Castillo-Soria, F.R.; Cortez-González, J.; Ramirez-Gutierrez, R.; Maciel-Barboza, F.M.; Soriano-Equigua, L. Generalized quadrature spatial modulation scheme using antenna grouping. ETRI J. 2017, 39, 707–717. [Google Scholar] [CrossRef]
- Vo, B.; Nguyen, H.H. Improved Quadrature Spatial Modulation. In Proceedings of the 2017 IEEE 86th Vehicular Technology Conference (VTC-Fall), Toronto, ON, Canada, 24–27 September 2017; pp. 1–5. [Google Scholar]
- Holoubi, T.; Murtala, S.; Muchena, N.; Mohaisen, M. On the performance of improved quadrature spatial modulation. ETRI J. 2020, 42, 562–574. [Google Scholar] [CrossRef]
- Mohaisen, M.; Lee, S. Complex Quadrature Spatial Modulation. ETRI J. 2017, 39, 514–524. [Google Scholar] [CrossRef]
- Mohaisen, M. Increasing the minimum Euclidean distance of the complex quadrature spatial modulation. IET Commun. 2018, 12, 854–860. [Google Scholar] [CrossRef]
- Iqbal, A.; Mohaisen, M.; Kwak, K.S. Modulation Set Optimization for the Improved Complex Quadrature SM. Wirel. Commun. Mobile Comput. 2018, 2018, 6769484. [Google Scholar] [CrossRef]
- Mohaisen, M. Generalized complex quadrature spatial modulation. Wirel. Commun. Mob. Comput. 2019, 2019, 3137927. [Google Scholar] [CrossRef]
- Gritsch, G.; Weinrichter, H.; Rupp, M. A union bound of the bit error ratio for data transmission over correlated wireless MIMO channels. In Proceedings of the 2004 IEEE International Conference on Acoustics, Speech, and Signal Processing, Montreal, QC, Canada, 17–21 May 2004; Volume 4, pp. iv-405–iv-408. [Google Scholar]





| (; ; P; M) | (, , P, M) | ||
|---|---|---|---|
| (8, 4, 2, 8) | (8, 4, 4, 8) | ||
| (8, 6, 2, 8) | 21/69 | (8, 6, 4, 8) | 30/60 |
| (8, 8, 2, 8) | (8, 8, 4, 8) | ||
| (8, 4, 2, 16) | 26/64 | (8, 4, 2, 32) | 45 |
| (8, 4, 4, 16) | (8, 4, 4, 32) | ||
| (32, 4, 2, 4) | 36/27/41 | (16, 4, 4, 4) | 31/41 |
| (32, 4, 2, 16) | 12/21/43 |
| (, , M) | |
|---|---|
| (256, 4, 4) | 36 |
| (256, 4, 16) | 44 |
Publisher’s Note: MDPI stays neutral with regard to jurisdictional claims in published maps and institutional affiliations. |
© 2020 by the authors. Licensee MDPI, Basel, Switzerland. This article is an open access article distributed under the terms and conditions of the Creative Commons Attribution (CC BY) license (http://creativecommons.org/licenses/by/4.0/).
Share and Cite
Murtala, S.; Muchena, N.; Holoubi, T.; Mohaisen, M.; Choi, K.-S. Parallel Complex Quadrature Spatial Modulation. Appl. Sci. 2021, 11, 330. https://doi.org/10.3390/app11010330
Murtala S, Muchena N, Holoubi T, Mohaisen M, Choi K-S. Parallel Complex Quadrature Spatial Modulation. Applied Sciences. 2021; 11(1):330. https://doi.org/10.3390/app11010330
Chicago/Turabian StyleMurtala, Sheriff, Nishal Muchena, Tasnim Holoubi, Manar Mohaisen, and Kang-Sun Choi. 2021. "Parallel Complex Quadrature Spatial Modulation" Applied Sciences 11, no. 1: 330. https://doi.org/10.3390/app11010330
APA StyleMurtala, S., Muchena, N., Holoubi, T., Mohaisen, M., & Choi, K.-S. (2021). Parallel Complex Quadrature Spatial Modulation. Applied Sciences, 11(1), 330. https://doi.org/10.3390/app11010330

