Vibration-Based Thermal Health Monitoring for Face Layer Debonding Detection in Aerospace Sandwich Structures
Abstract
1. Introduction
2. Methods
2.1. Vibration-Based Thermography
2.2. Local Defect Resonance Concept
2.3. Thermography Data Processing Algorithms
2.4. Thermal Health Monitoring
3. Experimental Investigation
3.1. Investigated Structure
3.2. Experimental Set-Ups
4. Results and Discussion
4.1. Local Damage Vibration Results
4.2. Temperature-Based Damage Identification
4.2.1. Demonstration of LDR Concept for Face Layer Debonding Detection
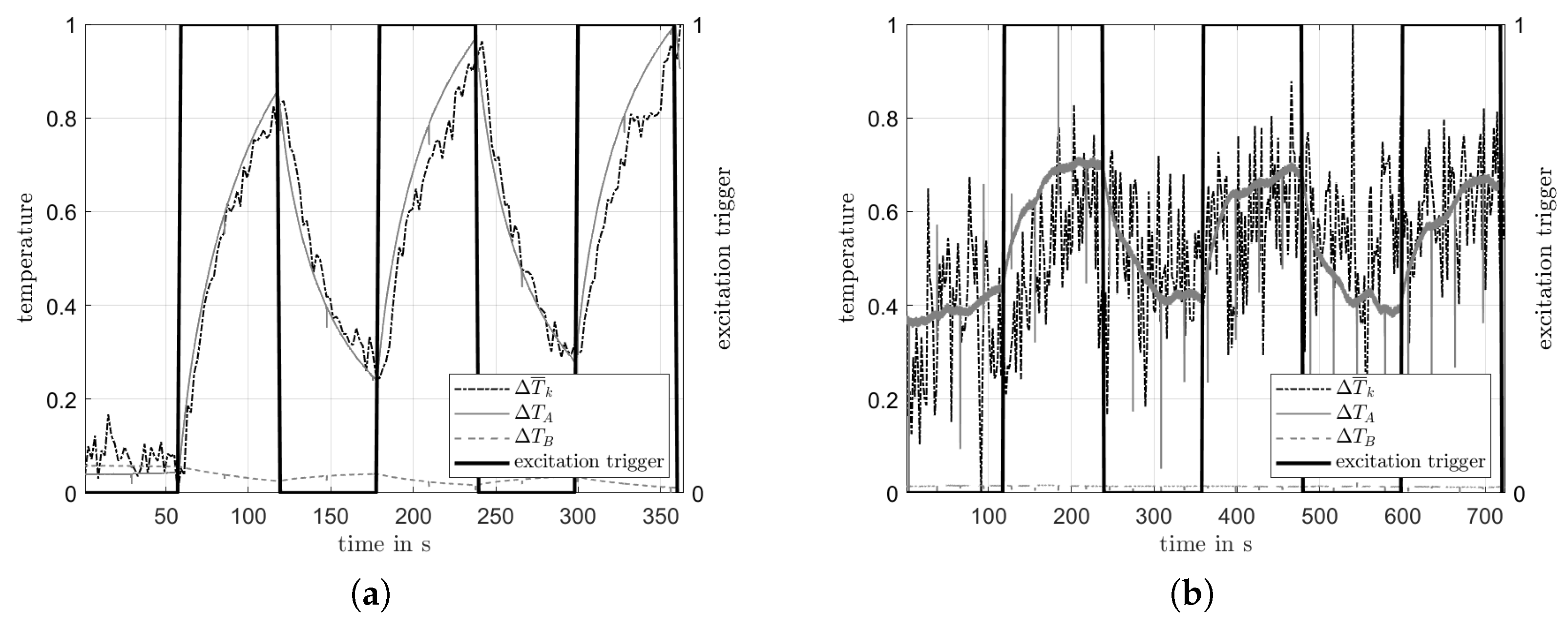
4.2.2. Potential of Vibration-Based Thermal Health Monitoring
5. Conclusions
Author Contributions
Funding
Data Availability Statement
Conflicts of Interest
References
- Kralovec, C.; Schagerl, M. Review of Structural Health Monitoring Methods Regarding a Multi-Sensor Approach for Damage Assessment of Metal and Composite Structures. Sensors 2020, 20, 826. [Google Scholar] [CrossRef] [PubMed]
- Rytter, A. Vibrational Based Inspection of Civil Engineering Structures. Ph.D. Thesis, Department of Building Technology and Structural Engineering, Aalborg University, Aalborg, Denmark, 1993. [Google Scholar]
- Kralovec, C.; Schagerl, M. Electro-Mechanical Impedance Measurements as a Possible SHM Method for Sandwich Debonding Detection. Key Eng. Mater. 2017, 742, 763–777. [Google Scholar] [CrossRef]
- Gschoßmann, S.; Humer, C.; Schagerl, M. Lamb Wave Excitation and Detection with Piezoelectric Elements: Essential Aspects for a Reliable Numerical Simulation. In Proceedings of the 8th EWSHM, Bilbao, Spain, 5–8 July 2016. [Google Scholar]
- Kulakovskyi, A.; Mesnil, O.; Lhémery, A.; Chapuis, B.; d’Almeida, O. Defect Imaging in Layered Composite Plates and Honeycomb Sandwich Structures Using Sparse Piezoelectric Transducers Network. J. Phys. Conf. Ser. 2019, 1184, 012001. [Google Scholar] [CrossRef]
- Nonn, S.; Schagerl, M.; Zhao, Y.; Gschossmann, S.; Kralovec, C. Application of Electrical Impedance Tomography to an Anisotropic Carbon Fiber-Reinforced Polymer Composite Laminate for Damage Localization. Compos. Sci. Technol. 2018, 160, 231–236. [Google Scholar] [CrossRef]
- Grassia, L.; Iannone, M.; Califano, A.; D’Amore, A. Strain Based Method for Monitoring the Health State of Composite Structures. Compos. Part B Eng. 2019, 176, 107253. [Google Scholar] [CrossRef]
- Schagerl, M.; Viechtbauer, C.; Schaberger, M. Optimal Placement of Fiber Optical Sensors along Zero-Strain Trajectories to Detect Damages in Thin-Walled Structures with Highest Sensitivity. In Proceedings of 7th IWSHM; Destech Publications: Lancaster, PA, USA, 2015. [Google Scholar] [CrossRef]
- Bergmayr, T.; Winklberger, M.; Kralovec, C.; Schagerl, M. Strain Measurements along Zero-Strain Trajectories as Possible Structural Health Monitoring Method for Debonding Initiation and Propagation in Aircraft Sandwich Structures. Procedia Struct. Integr. 2020, 28, 1473–1480. [Google Scholar] [CrossRef]
- Stewart, A.; Carman, G.; Richards, L. Health Monitoring Technique for Composite Materials Utilizing Embedded Thermal Fiber Optic Sensors. J. Compos. Mater. 2005, 39, 199–213. [Google Scholar] [CrossRef]
- Stewart, A.; Carman, G.; Richards, L. Nondestructive Evaluation Technique Utilizing Embedded Thermal Fiber Optic Sensors. J. Compos. Mater. 2003, 37, 2197–2206. [Google Scholar] [CrossRef]
- Fereidoon, A.; Andalib, M.; Hemmatian, H. Bending Analysis of Curved Sandwich Beams with Functionally Graded Core. Mech. Adv. Mater. Struct. 2015, 22, 564–577. [Google Scholar] [CrossRef]
- Bahabadi, H.M.; Farrokhabadi, A.; Rahimi, G.H. Investigation of Debonding Growth between Composite Skins and Corrugated Foam-Composite Core in Sandwich Panels under Bending Loading. Eng. Fract. Mech. 2020, 230, 106987. [Google Scholar] [CrossRef]
- Chi, X.; Di Maio, D.; Lieven, N.A. Modal-Based Vibrothermography Using Feature Extraction with Application to Composite Materials. Struct. Health Monit. 2019. [Google Scholar] [CrossRef]
- Meola, C.; Carlomagno, G.M.; Giorleo, G. Using Infrared Thermography to Analyze Substrate and Adhesive Effects in Bonded Structures. J. Adhes. Sci. Technol. 2004, 18, 617–634. [Google Scholar] [CrossRef]
- Solodov, I.; Bai, J.; Busse, G. Resonant Ultrasound Spectroscopy of Defects: Case Study of Flat-Bottomed Holes. J. Appl. Phys. 2013, 113, 223512. [Google Scholar] [CrossRef]
- Solodov, I.; Bai, J.; Bekgulyan, S.; Busse, G. A Local Defect Resonance to Enhance Acoustic Wave-Defect Interaction in Ultrasonic Nondestructive Evaluation. Appl. Phys. Lett. 2011, 99, 211911. [Google Scholar] [CrossRef]
- Solodov, I. Resonant Acoustic Nonlinearity for Defect-Selective Imaging and NDT. In Proceedings of the RECENT DEVELOPMENTS IN NONLINEAR ACOUSTICS: 20th International Symposium on Nonlinear Acoustics Including the 2nd International Sonic Boom Forum, Écully, France, 29 June–3 July 2015; p. 020003. [Google Scholar] [CrossRef]
- Rahammer, M.; Kreutzbruck, M. Fourier-Transform Vibrothermography with Frequency Sweep Excitation Utilizing Local Defect Resonances. NDT E Int. 2017, 86, 83–88. [Google Scholar] [CrossRef]
- Rahammer, M.; Kreutzbruck, M. Local Defect Resonance Excitation Thermography for Damage Detection in Plastic Composites. In Proceedings of the Europe/Africa Conference—Polymer Processing Society, Dresden, Germany, 27–29 June 2017; p. 120004. [Google Scholar] [CrossRef]
- Stepinski, T.; Uhl, T.; Staszewski, W.J. Advanced Structural Damage Detection: From Theory to Engineering Applications; Wiley: Chichester, UK, 2013. [Google Scholar]
- Renshaw, J.; Chen, J.C.; Holland, S.D.; Bruce Thompson, R. The Sources of Heat Generation in Vibrothermography. NDT E Int. 2011, 44, 736–739. [Google Scholar] [CrossRef]
- Vavilov, V.P.; Burleigh, D.D. Review of Pulsed Thermal NDT: Physical Principles, Theory and Data Processing. NDT E Int. 2015, 73, 28–52. [Google Scholar] [CrossRef]
- Vavilov, V.P.; Taylor, R. Theoretical and Practical Aspects of the Thermal Nondestructive Testing of Bonded Structures; Academic Press, Research Techniques in Nondestructive Testing: Oxford, UK, 1982; pp. 239–280. [Google Scholar]
- Gao, B.; Bai, L.; Woo, W.L.; Tian, G.Y.; Cheng, Y. Automatic Defect Identification of Eddy Current Pulsed Thermography Using Single Channel Blind Source Separation. IEEE Trans. Instrum. Meas. 2014, 63, 913–922. [Google Scholar] [CrossRef]
- Rajic, N. Principal Component Thermography for Flaw Contrast Enhancement and Flaw Depth Characterisation in Composite Structures. Compos. Struct. 2002, 58, 521–528. [Google Scholar] [CrossRef]
- Liang, T. Low Energy Impact Damage Detection in CFRP Using Eddy Current Pulsed Thermography. Compos. Struct. 2016, 143, 352–361. [Google Scholar] [CrossRef]
- Maldague, X.; Marinetti, S. Pulse Phase Infrared Thermography. J. Appl. Phys. 1996, 79, 6. [Google Scholar] [CrossRef]
- Karimov, K.S.; Khalid, F.A.; Tariq Saeed Chani, M.; Mateen, A.; Asif Hussain, M.; Maqbool, A. Carbon Nanotubes Based Flexible Temperature Sensors. Optoelectron. Adv. Mater. Rapid Commun. 2012, 6, 194–196. [Google Scholar]
- Sauerbrunn, E.; Chen, Y.; Didion, J.; Yu, M.; Smela, E.; Bruck, H.A. Thermal Imaging Using Polymer Nanocomposite Temperature Sensors: Thermal Imaging. Phys. Status Solidi(a) 2015, 212, 2239–2245. [Google Scholar] [CrossRef]
- James, R.; Giurgiutiu, V. Towards the Generation of Controlled One-Inch Impact Damage in Thick CFRP Composites for SHM and NDE Validation. Compos. Part B Eng. 2020, 203, 108463. [Google Scholar] [CrossRef]
- Kralovec, C.; Schagerl, M.; Mayr, M. Localization of Damages by Model-Based Evaluation of Electro-Mechanical Impedance Measurements. In Proceedings of the 9th EWSHM, Manchester, UK, 10–13 July 2018; p. 12. [Google Scholar]
- Vavilov, V.; Burleigh, D. Infrared Thermography and Thermal Nondestructive Testing; Springer International Publishing: Cham, Switzerland, 2020. [Google Scholar] [CrossRef]








| Excitation Source | Excitation Voltage Amplitude [V] | Offset Voltage [V] | Velocity Response Amplitude mm/s |
|---|---|---|---|
| piezoelectric stack actuator | 40 V | 20 V | 338.42 |
| PWAS | 150 V | 0 | 75.64 |
Publisher’s Note: MDPI stays neutral with regard to jurisdictional claims in published maps and institutional affiliations. |
© 2020 by the authors. Licensee MDPI, Basel, Switzerland. This article is an open access article distributed under the terms and conditions of the Creative Commons Attribution (CC BY) license (http://creativecommons.org/licenses/by/4.0/).
Share and Cite
Bergmayr, T.; Kralovec, C.; Schagerl, M. Vibration-Based Thermal Health Monitoring for Face Layer Debonding Detection in Aerospace Sandwich Structures. Appl. Sci. 2021, 11, 211. https://doi.org/10.3390/app11010211
Bergmayr T, Kralovec C, Schagerl M. Vibration-Based Thermal Health Monitoring for Face Layer Debonding Detection in Aerospace Sandwich Structures. Applied Sciences. 2021; 11(1):211. https://doi.org/10.3390/app11010211
Chicago/Turabian StyleBergmayr, Thomas, Christoph Kralovec, and Martin Schagerl. 2021. "Vibration-Based Thermal Health Monitoring for Face Layer Debonding Detection in Aerospace Sandwich Structures" Applied Sciences 11, no. 1: 211. https://doi.org/10.3390/app11010211
APA StyleBergmayr, T., Kralovec, C., & Schagerl, M. (2021). Vibration-Based Thermal Health Monitoring for Face Layer Debonding Detection in Aerospace Sandwich Structures. Applied Sciences, 11(1), 211. https://doi.org/10.3390/app11010211

