System Design and Monitoring Method of Robot Grinding for Friction Stir Weld Seam
Abstract
1. Introduction
2. Method
2.1. System Design of Robot Grinding and Monitoring
2.2. Extraction Method of Weld Seam
2.2.1. Weld Seam Detection
2.2.2. Weld Seam Partition
2.3. Monitor Method of Grinding Process Based on PSO-SVM
2.3.1. Analysis of Weld Seam Grinding Process in Designed System
2.3.2. Feature Analysis of Weld Seam
2.3.3. Feature Analysis of Grinding Force
2.3.4. Classification Method
| Algorithm 1 Classification Method based on PSO-SVM |
| Input:, , , , , , , |
| Output:, |
| Initialize particle swarm and parameters , . |
| Set generation time |
| Compute SVM accuracy for each particle , using 5-fold cross validation. |
| Set fitness of every particle . |
| Update individual optimal value and group optimal value . |
| while Convergence condition not satisfied do |
| Update position and velocity vectors for each particle. |
| Compute fitness of every particle using the above method. |
| Update individual optimal value and group optimal value . |
| Set |
| end while |
2.3.5. Specific use of Monitoring Methods in Processing
3. Result
3.1. Experiment Platform
3.1.1. Judgment of Excessive Grinding
3.2. Experiment of Feature Extraction Method of Weld Seam
3.3. Validation of Monitor of Line Weld Seam Grinding Process
3.4. Experiment of Monitor of Grinding Process Based on PSO-SVM Method
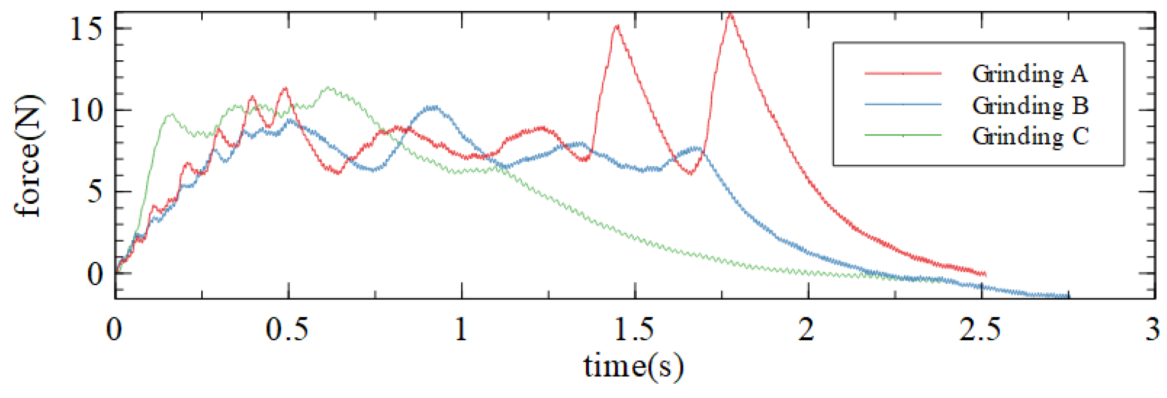
3.4.1. Feature Analysis of Point Cloud and Force Signal
3.4.2. Data Training and Result Analysis
3.4.3. Result Comparison
4. Conclusions
Author Contributions
Funding
Acknowledgments
Conflicts of Interest
References
- Smoljkic, G.; Franjic, H.; Sinkic, M. Automated Robotic Grinding of the control rod drive mechanism J-Groove Weld at PWR nuclear power plants. In Proceedings of the 2010 IEEE International Conference on Robotics and Automation, Anchorage, AK, USA, 3–7 May 2010; pp. 1234–1240. [Google Scholar] [CrossRef]
- Swarnkar, A.; Kumar, R.; Suri, A.; Saha, A. A review on Friction Stir Welding: An environment friendly welding technique. In Proceedings of the 2016 IEEE Region 10 Humanitarian Technology Conference (R10-HTC), Agra, India, 21–23 December 2016; pp. 1–4. [Google Scholar] [CrossRef]
- Tian, X.Y.; Hong-Zeng, D.U.; Xing, X.Y. Impact of Grinding Depth on Fatigue Life. J. Civ. Aviat. Univ. China 2004, 22, 26–29. [Google Scholar]
- Xie, X.; Sun, L. Force control based robotic grinding system and application. In Proceedings of the 2016 12th World Congress on Intelligent Control and Automation (WCICA), Guilin, China, 12–15 June 2016; pp. 2552–2555. [Google Scholar] [CrossRef]
- Zhang, J.; Liu, G.; Zang, X.; Li, L. A hybrid passive/active force control scheme for robotic belt grinding system. In Proceedings of the 2016 IEEE International Conference on Mechatronics and Automation, Harbin, China, 7–10 August 2016; pp. 737–742. [Google Scholar] [CrossRef]
- Liang, W.; Song, Y.; Lv, H.; Jia, P.; Gan, Z.; Qi, L. A Novel Control Method for Robotic Belt Grinding Based on SVM and PSO Algorithm. In Proceedings of the 2010 International Conference on Intelligent Computation Technology and Automation, Changsha, China, 11–12 May 2010; Volume 1, pp. 258–261. [Google Scholar] [CrossRef]
- Song, Y.; Lv, H.; Yang, Z. An Adaptive Modeling Method for a Robot Belt Grinding Process. IEEE/ASME Trans. Mechatron. 2012, 17, 309–317. [Google Scholar] [CrossRef]
- Song, Y.; Lv, H.; Yang, Z. Intelligent Control for a Robot Belt Grinding System. IEEE Trans. Control Syst. Technol. 2013, 21, 716–724. [Google Scholar] [CrossRef]
- Pandiyan, V.; Caesarendra, W.; Tjahjowidodo, T.; Praveen, G. Predictive modelling and analysis of process parameters on material removal characteristics in Abrasive Belt Grinding process. Appl. Sci. 2017, 7, 363. [Google Scholar] [CrossRef]
- Liang, W.; Song, Y.; Lv, H.; Jia, P.; Gan, Z.; Qi, L. An effective trajectory optimization method for robotic belt grinding based on intelligent algorithm. In Proceedings of the 2010 IEEE International Conference on Robotics and Biomimetics, Tianjin, China, 14–18 December 2010; pp. 1142–1147. [Google Scholar] [CrossRef]
- Liu, Y.; Li, Q.; Xiao, G.; Huang, Y. Study of the Vibration Mechanism and Process Optimization for Abrasive Belt Grinding for a Blisk-Blade. IEEE Access 2019, 7, 24829–24842. [Google Scholar] [CrossRef]
- Wang, H.; Xing, Y.; Xiao, T. The control system of belt grinder which based on the touch screen and PLC. In Proceedings of the 2010 International Conference on Computer Application and System Modeling (ICCASM 2010), Taiyuan, China, 22–24 October 2010; Volume 14, pp. V14-438–V14-441. [Google Scholar] [CrossRef]
- Wei, J.; Wang, K.; Sun, X. Analysis on the wheel of abrasive belt polishing mechanism to helix curved surface. In Proceedings of the 2010 Second International Conference on Computational Intelligence and Natural Computing, Wuhan, China, 13–14 September 2010; Volume 1, pp. 129–132. [Google Scholar] [CrossRef]
- Wu, J. The design research on adaptive control system of the ground belt of coal mine. In Proceedings of the 2011 International Conference on Electrical and Control Engineering, Yichang, China, 16–18 September 2011; pp. 2664–2666. [Google Scholar] [CrossRef]
- Yang, H.; Song, Y.; Liang, W.; Jia, P. Robot belt grinding trajectory optimization based on GLS-PSO. In Proceedings of the 30th Chinese Control Conference, Yantai, China, 22–24 July 2011; pp. 5418–5423. [Google Scholar]
- Ng, W.X.; Chan, H.K.; Teo, W.K.; Chen, I. Programming a Robot for Conformance Grinding of Complex Shapes by Capturing the Tacit Knowledge of a Skilled Operator. IEEE Trans. Autom. Sci. Eng. 2017, 14, 1020–1030. [Google Scholar] [CrossRef]
- Yin, C.; Tang, D.; Deng, Z. Development of ray nondestructive detecting and grinding robot for weld seam in pipe. In Proceedings of the 2017 IEEE International Conference on Robotics and Biomimetics (ROBIO), Macau, China, 5–8 December 2017; pp. 208–214. [Google Scholar] [CrossRef]
- Aguiar, P.R.; Serni, P.J.A.; Bianchi, E.C.; Dotto, F.R.L. In-process grinding monitoring by acoustic emission. In Proceedings of the 2004 IEEE International Conference on Acoustics, Speech, and Signal Processing, Montreal, QC, Canada, 17–21 May 2004; Volume 5, p. V-405. [Google Scholar] [CrossRef]
- Chen, J.; Wang, J.; Zhang, X.; Cao, F.; Chen, X. Acoustic signal based tool wear monitoring system for belt grinding of superalloys. In Proceedings of the 2017 12th IEEE Conference on Industrial Electronics and Applications (ICIEA), Siem Reap, Cambodia, 18–20 June 2017; pp. 1281–1286. [Google Scholar] [CrossRef]
- Zhao, Z.; Hou, C.; Duan, S. Online Intelligent Monitoring System of Grinding Process Based on Process Modeling. In Proceedings of the 2012 Second International Conference on Instrumentation, Measurement, Computer, Communication and Control, Harbin, China, 8–10 December 2012; pp. 327–330. [Google Scholar] [CrossRef]
- Bi, G.; Guo, Y.; Lin, J.; Han, W.; Zheng, M.; Chen, X. Principles of an in-process monitoring system for precision grinding machine. In Proceedings of the 2011 Second International Conference on Mechanic Automation and Control Engineering, Hohhot, China, 15–17 July 2011; pp. 7546–7549. [Google Scholar] [CrossRef]
- Huang, Y.; Xiao, G.; Liu, Y.; Meng, F.K. Interactive Strategy for Adaptive Belt Grinding Heterogeneous Data for an Aero-Engine Blade. IEEE Access 2019, 7, 84637–84648. [Google Scholar] [CrossRef]
- Huang, Z. Research for the Bearing Grinding Temperature On-Line Monitoring System Based on the Infrared Technology. In Proceedings of the 2008 International Workshop on Modelling, Simulation and Optimization, Hong Kong, China, 27–28 December 2008; pp. 129–132. [Google Scholar] [CrossRef]
- Li, H. Experimental study of surface roughness on abrasive belt grinding. In Proceedings of the 2011 International Conference on Electronic Mechanical Engineering and Information Technology, Harbin, China, 12–14 August 2011; Volume 6, pp. 3010–3013. [Google Scholar] [CrossRef]
- Ma, K.; Wang, X.; Shen, D. Design and Experiment of Robotic Belt Grinding System with Constant Grinding Force. In Proceedings of the 2018 25th International Conference on Mechatronics and Machine Vision in Practice (M2VIP), Stuttgart, Germany, 20–22 November 2018; pp. 1–6. [Google Scholar] [CrossRef]
- Pandiyan, V.; Tjahjowidodo, T.; Caesarendra, W.; Praveen, G.; Wijaya, T.; K Pappachan, B. Analysis of Contact Conditions Based on Process Parameters in Robotic Abrasive Belt Grinding Using Dynamic Pressure Sensor. In Proceedings of the 2018 Joint 10th International Conference on Soft Computing and Intelligent Systems (SCIS) and 19th International Symposium on Advanced Intelligent Systems (ISIS), Toyama, Japan, 5–8 December 2018; pp. 1217–1221. [Google Scholar] [CrossRef]
- Qi, J.; Chen, B. Surface Roughness Prediction Based on the Average Cutting Depth of Abrasive Grains in Belt Grinding. In Proceedings of the 2018 3rd International Conference on Mechanical, Control and Computer Engineering (ICMCCE), Huhhot, China, 14–16 September 2018; pp. 169–174. [Google Scholar] [CrossRef]
- Pandiyan, V.; Murugan, P.; Tjahjowidodo, T.; Caesarendra, W.; Manyar, O.M.; Then, D.J.H. In-process virtual verification of weld seam removal in robotic abrasive belt grinding process using deep learning. Robot. Comput.-Integr. Manuf. 2019, 57, 477–487. [Google Scholar] [CrossRef]
- Rusu, R.B.; Marton, Z.C.; Blodow, N.; Dolha, M.; Beetz, M. Towards 3D Point cloud based object maps for household environments. Robot. Auton. Syst. 2008, 56, 927–941. [Google Scholar] [CrossRef]
- Boykov, Y.; Kolmogorov, V. An experimental comparison of min-cut/max- flow algorithms for energy minimization in vision. IEEE Trans. Pattern Anal. Mach. Intell. 2004, 26, 1124–1137. [Google Scholar] [CrossRef] [PubMed]



















| Method | Accuracy | Method | Accuracy |
|---|---|---|---|
| Fine Tree | 88.3% | Bagged Trees | 89.3% |
| Coarse Tree | 89.1% | Logistic Regression | 89.1% |
| Linear SVM | 89.6% | Fine Gaussian SVM | 78.3% |
| Cubic SVM | 88.1% | PSO-SVM (Adopted) | 91.5% |
© 2020 by the authors. Licensee MDPI, Basel, Switzerland. This article is an open access article distributed under the terms and conditions of the Creative Commons Attribution (CC BY) license (http://creativecommons.org/licenses/by/4.0/).
Share and Cite
Li, M.; Du, Z.; Ma, X.; Gao, K.; Dong, W.; Di, Y.; Gao, Y. System Design and Monitoring Method of Robot Grinding for Friction Stir Weld Seam. Appl. Sci. 2020, 10, 2903. https://doi.org/10.3390/app10082903
Li M, Du Z, Ma X, Gao K, Dong W, Di Y, Gao Y. System Design and Monitoring Method of Robot Grinding for Friction Stir Weld Seam. Applied Sciences. 2020; 10(8):2903. https://doi.org/10.3390/app10082903
Chicago/Turabian StyleLi, Mingyang, Zhijiang Du, Xiaoxing Ma, Kui Gao, Wei Dong, Yan Di, and Yongzhuo Gao. 2020. "System Design and Monitoring Method of Robot Grinding for Friction Stir Weld Seam" Applied Sciences 10, no. 8: 2903. https://doi.org/10.3390/app10082903
APA StyleLi, M., Du, Z., Ma, X., Gao, K., Dong, W., Di, Y., & Gao, Y. (2020). System Design and Monitoring Method of Robot Grinding for Friction Stir Weld Seam. Applied Sciences, 10(8), 2903. https://doi.org/10.3390/app10082903

