Mapping Maize Cultivated Area Combining MODIS EVI Time Series and the Spatial Variations of Phenology over Huanghuaihai Plain
Abstract
1. Introduction
2. Study Area and Data
2.1. Study Area and Reference Area
2.2. Data Description and Processing
2.2.1. Landsat7 ETM+ Image and Pre-Processing
2.2.2. MODIS EVI Data and Pre-Processing
2.2.3. Land Use Data
2.2.4. Phenological and Meteorological Data
2.2.5. Statistical Data
3. Methodology
3.1. Method of Maize Area Identification in the Reference Area
- (1).
- Combined with Google Earth, the training samples of road, vegetation, habitation, water body, and bare soil were selected from three periods of ETM+ data by visual interpretation. The SVM algorithm was used to classify the three images.
- (2).
- The vegetation coverage of the ETM+ image on 13 September 2012, and the bare soil coverage of the ETM+ images on 9 June 2012 and 13 October 2012, were recognized. Spatial intersection operations (Zhang et al., 2010) were performed for recognizing vegetation and bare soil coverage from the remote sensing images in the reference area.
- (3).
- The result of images intersection processing was superimposed with the cultivated land dataset (code 10) from the land use data of 30 m spatial resolution in 2010 (GlobeLand 30), to correct the extracted summer maize acreage in the reference area.
3.2. Multiple Linear Stepwise Regression
3.3. The Mean Absolute Distance
3.4. The p-Tile Algorithm
4. Results and Discussion
4.1. Extraction and Reconstruction of Summer Maize MODIS EVI Time Series Curve in the Reference Area
4.2. Construction of Standard Summer Maize EVI Time Series Curve in the Study Area
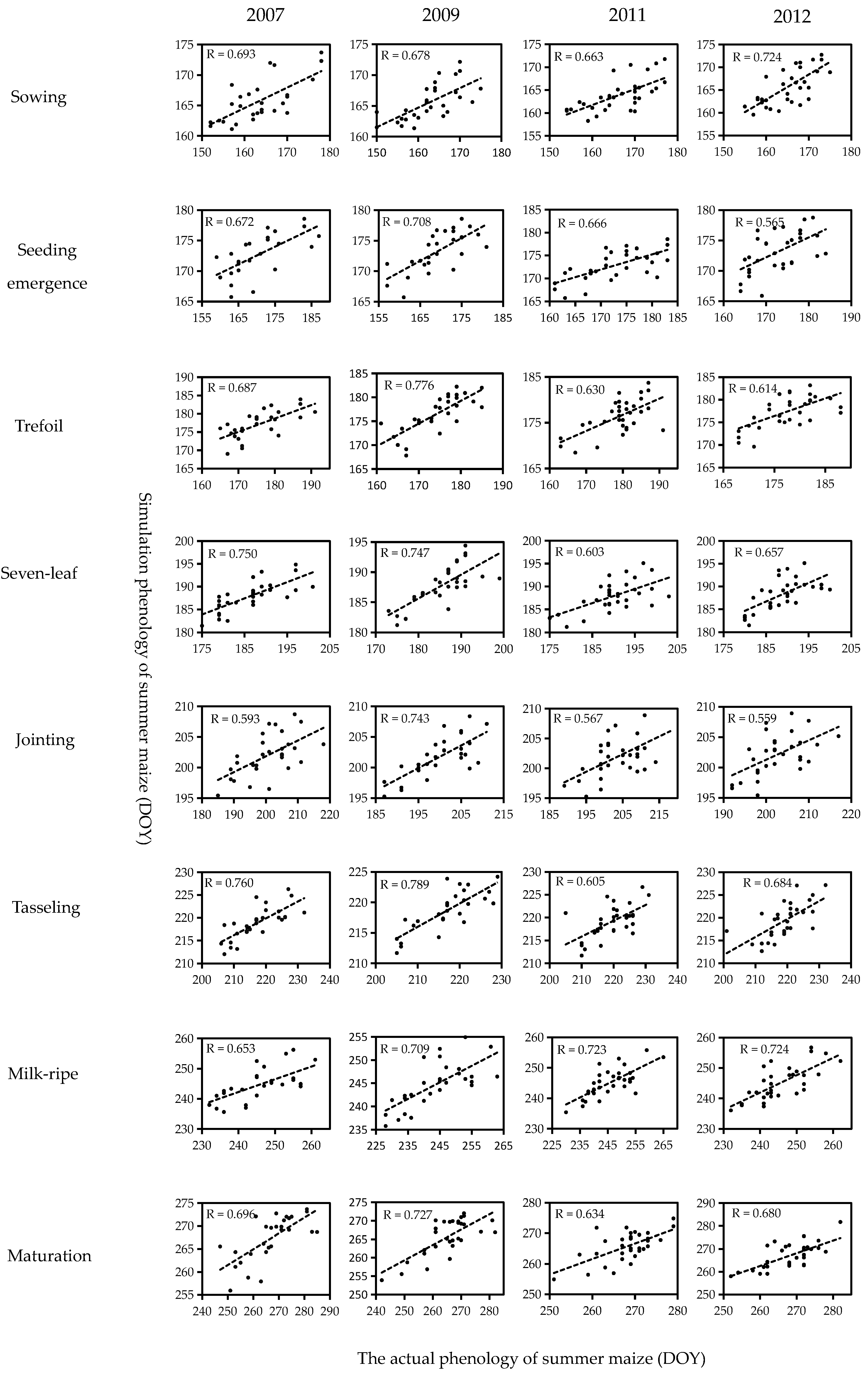
4.2.1. Estimation of Summer Maize Phenology
4.2.2. Construction of Standard Summer Maize EVI Time Series Curve in the Study Area
4.2.3. Validation of Standard Summer Maize EVI Time Series Curve in the Study Area
4.3. Summer Maize Recognition in Huanghuaihai Plain
4.3.1. The MAD between Standard Summer Maize EVI and Actual MODIS EVI
4.3.2. Extraction Results of Summer Maize in Huanghuaihai Plain
4.3.3. Validation of the Extracted Summer Maize Area in Huanghuaihai Plain
4.3.4. Extraction Results in Different Years
5. Conclusions
Author Contributions
Funding
Acknowledgments
Conflicts of Interest
References
- Zhao, J.R.; Wang, R.H. Development Process, Problem and Countermeasure of Maize Production in China. J. Agric. Sci. Technol. 2013, 15, 1–6. [Google Scholar]
- Chen, S.; Kung, J.K.-S. Of maize and men: The effect of a New World crop on population and economic growth in China. J. Econ. Growth 2016, 21, 71–99. [Google Scholar] [CrossRef]
- Ping, H.M.; Min, H.J.; Liu, P.H.; Lin, L.X. Research of Opportunities, Challenges and Countermeasures about WTO on Huanghuaihai Plain Agricultural Development. Res. Agric. Mod. 2003, 4, 28–32. [Google Scholar]
- Kai, W.; Bu, L. Systematic analysis and optimized prospect for agriculture structure in Huanghuaihai Plain. Chin. J. Agric. Resour. Reg. Plan. 2007, 28, 22–25. [Google Scholar]
- Dong, J.; Xiao, X. Evolution of regional to global paddy rice mapping methods: A review. ISPRS J. Photogramm. Remote Sens. 2016, 119, 214–227. [Google Scholar] [CrossRef]
- Forkuor, G.; Conrad, C.; Thiel, M.; Zoungrana, B.J.B.; Tondoh, J.E. Multiscale Remote Sensing to Map the Spatial Distribution and Extent of Cropland in the Sudanian Savanna of West Africa. Remote Sens. 2017, 9, 839. [Google Scholar] [CrossRef]
- Kyere, I.; Astor, T.; Grass, R.; Wachendorf, M. Multi-Temporal Agricultural Land-Cover Mapping Using Single-Year and Multi-Year Models Based on Landsat Imagery and IACS Data. Agronomy 2019, 9, 309. [Google Scholar] [CrossRef]
- Zhang, S.; Zhang, J.H.; Bai, Y.; Yao, F.M. Extracting winter wheat area in Huanghuaihai Plain using MODIS-EVIdata and phenology difference avoiding threshold. Trans. Chin. Soc. Agric. Eng. 2018, 34, 150–158. [Google Scholar] [CrossRef]
- Zhang, M.W.; Zhou, Q.B.; Chen, Z.X.; Liu, J.; Zhou, Y.; Cai, C.F. Crop discrimination in Northern China with double cropping systems using Fourier analysis of time-series MODIS data. Int. J. Appl. Earth Obs. Geoinf. 2008, 10, 476–485. [Google Scholar] [CrossRef]
- Tamilarasan, V.; Sharma, S.K.; Nagabhushana, S.R. Optimum spectral bands for land cover discrimination. Adv. Space Res. 1983, 3, 287–290. [Google Scholar] [CrossRef]
- Salmon, B.P.; Kleynhans, W.; Olivier, J.C.; van den Bergh, F.; Wessels, K.J. A modified temporal criterion to meta-optimize the extended Kalman filter for land cover classification of remotely sensed time series. Int. J. Appl. Earth Obs. Geoinf. 2018, 67, 20–29. [Google Scholar] [CrossRef]
- Carrão, H.; Gonçalves, P.; Caetano, M. Contribution of multispectral and multitemporal information from MODIS images to land cover classification. Remote Sens. Environ. 2008, 112, 986–997. [Google Scholar] [CrossRef]
- Chang, J.; Hansen, M.C.; Pittman, K.; Carroll, M.; Dimiceli, C. Corn and Soybean Mapping in the United States Using MODIS Time-Series Data Sets. Agron. J. 2007, 99, 1654–1664. [Google Scholar] [CrossRef]
- Huete, A.; Didan, K.; Miura, T.; Rodriguez, E.P.; Gao, X.; Ferreira, L.G. Overview of the radiometric and biophysical performance of the MODIS vegetation indices. Remote Sens. Environ. 2002, 83, 195–213. [Google Scholar] [CrossRef]
- Wardlow, B.; Egbert, S.; Kastens, J. Analysis of time-series MODIS 250 m vegetation index data for crop classification in the U.S. Central Great Plains. Remote Sens. Environ. 2007, 108, 290–310. [Google Scholar] [CrossRef]
- Bendini, H.D.N.; Fonseca, L.M.G.; Schwieder, M.; Korting, T.S.; Rufin, P.; Sanches, I.D.A.; Leitao, P.J.; Hostert, P. Detailed agricultural land classification in the Brazilian cerrado based on phenological information from dense satellite image time series. Int. J. Appl. Earth Obs. Geoinf. 2019, 82, 101872. [Google Scholar] [CrossRef]
- Wardlow, B.D.; Egbert, S.L. Large-area crop mapping using time-series MODIS 250 m NDVI data: An assessment for the U.S. Central Great Plains. Remote Sens. Environ. 2008, 112, 1096–1116. [Google Scholar] [CrossRef]
- Gu, X.H.; Pan, Y.C.; He, X.; Wang, J.H. Estimation of Maize Planting Area through the Fusion of Multi-source Images. In Proceedings of the Computer and Computing Technologies in Agriculture V; Springer: Berlin/Heidelberg, Germany, 2012; pp. 470–477. [Google Scholar]
- Maguranyanga, C.; Murwira, A. Mapping Maize, Tobacco, and Soybean Fields in Large-Scale Commercial Farms of Zimbabwe Based on Multitemporal NDVI Images in MAXENT. Can. J. Remote Sens. 2014, 40, 396–405. [Google Scholar] [CrossRef]
- Tang, K.; Zhu, W.; Zhan, P.; Ding, S. An Identification Method for Spring Maize in Northeast China Based on Spectral and Phenological Features. Remote Sens. 2018, 10, 193. [Google Scholar] [CrossRef]
- Zhang, J.H.; Feng, L.L.; Yao, F.M. Improved maize cultivated area estimation over a large scale combining MODIS–EVI time series data and crop phenological information. ISPRS J. Photogramm. Remote Sens. 2014, 94, 102–113. [Google Scholar] [CrossRef]
- Wang, X.T.; Zhang, S.; Deng, F.; Zhang, J.H. Mapping the Cultivated Areas of Summer Maize Using Spatial Variations of Crop Phenology over Huanghuaihai Plain. Chin. J. Agrometeorol. 2019, 40, 647–659. [Google Scholar]
- Wang, C.; Wu, J.; Wang, X.; He, X.; Li, N. Non-linear trends and fluctuations in temperature during different growth stages of summer maize in the North China Plain from 1960 to 2014. Theor. Appl. Climatol. 2019. [Google Scholar] [CrossRef]
- Shen, M.; Zhang, G.; Cong, N.; Wang, S.; Kong, W.; Piao, S. Increasing altitudinal gradient of spring vegetation phenology during the last decade on the Qinghai–Tibetan Plateau. Agric. For. Meteorol. 2014, 189, 71–80. [Google Scholar] [CrossRef]
- Li, L.; Friedl, M.; Xin, Q.; Gray, J.; Pan, Y.; Frolking, S. Mapping Crop Cycles in China Using MODIS-EVI Time Series. Remote Sens. 2014, 6, 2473–2493. [Google Scholar] [CrossRef]
- Wang, Z.; Chen, J.; Li, Y.; Li, C.; Zhang, L.; Chen, F. Effects of climate change and cultivar on summer maize phenology. Int. J. Plant Prod. 2016, 10, 509–525. [Google Scholar]
- Lizaso, J.I.; Ruiz-Ramos, M.; Rodríguez, L.; Gabaldon-Leal, C.; Oliveira, J.A.; Lorite, I.J.; Sánchez, D.; García, E.; Rodríguez, A. Impact of high temperatures in maize: Phenology and yield components. Field Crops Res. 2018, 216, 129–140. [Google Scholar] [CrossRef]
- Wang, N.; Wang, E.; Wang, J.; Zhang, J.; Zheng, B.; Huang, Y.; Tan, M. Modelling maize phenology, biomass growth and yield under contrasting temperature conditions. Agric. For. Meteorol. 2018, 250, 319–329. [Google Scholar] [CrossRef]
- Xiao, D.P.; Qi, Y.Q.; Shen, Y.J.; Tao, F.L.; Moiwo, J.P.; Liu, J.F.; Wang, R.D.; Zhang, H.; Liu, F.S. Impact of warming climate and cultivar change on maize phenology in the last three decades in North China Plain. Theor. Appl. Climatol. 2016, 124, 653–661. [Google Scholar] [CrossRef]
- Ahmad, I.; Wajid, S.A.; Ahmad, A.; Cheema, M.J.M.; Judge, J. Assessing the Impact of Thermo-temporal Changes on the Productivity of Spring Maize under Semi-Arid Environment. Int. J. Agric. Biol. 2018, 20, 2203–2210. [Google Scholar] [CrossRef]
- Riley, G.J. Effects of high temperature on the germination of maize (Zea mays L.). Planta 1981, 151, 68–74. [Google Scholar] [CrossRef]
- Tan, M.-X.; Wang, J.; Yu, W.-D.; He, D.; Wang, N.; Dai, T.; Sun, Y.; Tang, J.-Z.; Chang, Q. Temporal and spatial variation of the optimal sowing dates of summer maize based on both statistical and processes models in Henan Province, China. J. Appl. Ecol. 2015, 26, 3670–3678. [Google Scholar]
- Hou, P.; Liu, Y.; Xie, R.; Ming, B.; Ma, D.; Li, S.; Mei, X. Temporal and spatial variation in accumulated temperature requirements of maize. Field Crops Res. 2014, 158, 55–64. [Google Scholar] [CrossRef]
- Guo, E.; Zhang, J.; Wang, Y.; Alu, S.; Wang, R.; Li, D.; Ha, S. Assessing non-linear variation of temperature and precipitation for different growth periods of maize and their impacts on phenology in the Midwest of Jilin Province, China. Theor. Appl. Climatol. 2018, 132, 685–699. [Google Scholar] [CrossRef]
- Yan, H.; Zhen, Y.; Dongbing, W.U.; Cao, G.; Yao, J.; Liu, X. Effect of Latitude on Growth Period and Quality of Maize (Zea mays L.). Chin. Agric. Sci. Bull. 2009, 27, 38–41. [Google Scholar]
- Lu, A.G.; Pang, D.Q.; He, Y.Q.; Pang, H.X.; Yuan, L.L. Impact of Global Warming on Latitudinal Temperature Gradients in China. Sci. Geogr. Sin. 2006, 26, 345–350. [Google Scholar]
- Liu, Y.; Xie, R.; Hou, P.; Li, S.; Zhang, H.; Ming, B.; Long, H.; Liang, S. Phenological responses of maize to changes in environment when grown at different latitudes in China. Field Crops Res. 2013, 144, 192–199. [Google Scholar] [CrossRef]
- Wang, J.a.; Xiao, H.; Hartmann, R.; Yue, Y. Physical Geography of China and the U.S. In A Comparative Geography of China and the U.S.; Hartmann, R., Wang, J.A., Ye, T., Eds.; Springer: Dordrecht, The Netherlands, 2014; pp. 23–81. [Google Scholar] [CrossRef]
- Zhu, X. Features of climate changes in typical rural area of Huanghuaihai Plain. Guizhou Agric. Sci. 2012, 3, 104–109. [Google Scholar]
- Siqing, C.; Jiyuan, L.; Dafang, Z.; Xiangming, X. Characterization of land cover types in Xilin River Basin using multi-temporal Landsat images. J. Geogr. Sci. 2003, 13, 131–138. [Google Scholar] [CrossRef]
- Kontgis, C.; Schneider, A.; Ozdogan, M. Mapping rice paddy extent and intensification in the Vietnamese Mekong River Delta with dense time stacks of Landsat data. Remote Sens. Environ. 2015, 169, 255–269. [Google Scholar] [CrossRef]
- Bureau, Beijing Statistical. Beijing Statistical Yearbook; Beijing Statistical Press: Beijing, China, 2012.
- Bureau, Hebei Province Statistical. Hebei Rual Statistical Yearbook; Beijing Statistical Press: Beijing, China, 2012.
- Bureau, Henan Province Statistical. Henan Statistical Yearbook; Beijing Statistical Press: Beijing, China, 2012.
- Bureau, Shandong Province Statistics. Shandong Statistical Yearbook; Beijing Statistical Press: Beijing, China, 2012.
- Bureau, Tianjin Statistical. Tianjin Statistical Yearbook; Beijing Statistical Press: Beijing, China, 2012.
- Bureau, Beijing Statistical. Beijing Statistical Yearbook; Beijing Statistical Press: Beijing, China, 2013.
- Bureau, Hebei Province Statistical. Hebei Rual Statistical Yearbook; Beijing Statistical Press: Beijing, China, 2013.
- Bureau, Henan Province Statistical. Henan Statistical Yearbook; Beijing Statistical Press: Beijing, China, 2013.
- Bureau, Shandong Province Statistics. Shandong Statistical Yearbook; Beijing Statistical Press: Beijing, China, 2013.
- Bureau, Tianjin Statistical. Tianjin Statistical Yearbook; Beijing Statistical Press: Beijing, China, 2013.
- Pan, Z.K.; Huang, J.F.; Zhou, Q.B.; Wang, L.M.; Cheng, Y.X.; Zhang, H.K.; Blackburn, G.A.; Yan, J.; Liu, J.H. Mapping crop phenology using NDVI time-series derived from HJ-1 A/B data. Int. J. Appl. Earth Obs. Geoinf. 2015, 34, 188–197. [Google Scholar] [CrossRef]
- Duan, S.W.; He, H.S.; Spetich, M. Effects of Growing-Season Drought on Phenology and Productivity in the West Region of Central Hardwood Forests, USA. Forests 2018, 9, 377. [Google Scholar] [CrossRef]
- Bian, J.H.; Li, A.N.; Song, M.Q.; Ma, L.Q.; Jiang, J.G. Reconstruction of NDVI time-series datasets of MODIS based on Savitzky-Golay filter. J. Remote Sens. 2010, 14, 725–741. [Google Scholar]
- Savitzky, A.; Golay, M.J.E. Smoothing and Differentiation of Data by Simplified Least Squares Procedures. Anal. Chem. 1964, 36, 1627–1639. [Google Scholar] [CrossRef]
- Yang, J.Y.; Mei, X.R.; Qin, L.; Yan, C.R.; He, W.Q.; Liu, E.K.; Liu, S. Variations of winter wheat growth stages under climate changes in northern China. Chin. J. Plant Ecol. 2011, 35, 623–631. [Google Scholar] [CrossRef]
- Khikmah, L.; Wijayanto, H.; Syafitri, U. Modeling Governance KB with CATPCA to Overcome Multicollinearity in the Logistic Regression. J. Phys. Conf. Ser. 2017, 824, 012027. [Google Scholar] [CrossRef]
- Lee, S.H.-H. Analysis of the multicollinearity of regression equations of shear wave velocities. Soils Found. 1992, 32, 205–214. [Google Scholar] [CrossRef]
- Zhao, D.; Dong, C.; Guo, H.; Tian, W. Kinematic Calibration Based on the Multicollinearity Diagnosis of a 6-DOF Polishing Hybrid Robot Using a Laser Tracker. Math. Probl. Eng. 2018, 2018, 5602397. [Google Scholar] [CrossRef]
- Evans, J.P.; Geerken, R. Classifying rangeland vegetation type and coverage using a Fourier component based similarity measure. Remote Sens. Environ. 2006, 105, 1–8. [Google Scholar] [CrossRef]
- Guo, Y.S.; Liu, Q.S.; Liu, G.H.; Huang, C. Extraction of Main Crops in Yellow River Delta Based on MODIS NDVI Time Series. J. Nat. Resour. 2017, 32, 1808–1818. [Google Scholar] [CrossRef]
- Guan, X.D.; Huang, C.; Liu, G.H.; Xu, Z.R.; Liu, Q.S. Extraction of Paddy Rice Area Using a DTW Distance Based Similarity Measure. Resour. Sci. 2014, 36, 267–272. [Google Scholar]
- Li, H.Z.; Yang, C.; Liu, E.H.; Yin, H. P-tile Combined with Histogram-based FCM for Pavement Image Partitioning. Comput. Era 2010, 8, 32–34. [Google Scholar]
- Zheng, J.Y.; Yi, Y.H.; Li, B.Y. A New Scheme for Climate Regionalization in China. Acta Geogr. Sin. 2010, 65, 3–12. [Google Scholar] [CrossRef]
- Zheng, J.Y.; Bian, J.J.; Ge, Q.S.; Hao, Z.X.; Yin, Y.H.; Liao, Y.M. The climate regionalization in China for 1981–2010. Chin. Sci. Bull. 2013, 58, 3088–3099. [Google Scholar]
- Zhao, J.; Yang, X. Average amount and stability of available agro-climate resources in the main maize cropping regions in China during 1981–2010. J. Meteorol. Res. 2018, 32, 146–156. [Google Scholar] [CrossRef]
- Shi, S.; Han, Y.; Yu, W.; Cao, Y.; Cai, W.; Yang, P.; Wu, W.; Yu, Q. Spatio-temporal differences and factors influencing intensive cropland use in the Huang-Huai-Hai Plain. J. Geogr. Sci. 2018, 28, 1626–1640. [Google Scholar] [CrossRef]
- Wang, H.Y.; Pan, X.P.; Luo, J.M.; Luo, Z.P.; Chang, C.P.; Shen, Y.J. Using remote sensing to analyze spatiotemporal variations in crop planting in the North China Plain. Chin. J. Eco-Agric. 2015, 23, 1199–1209. [Google Scholar]
- Liu, J.; Huang, Y. Dynamic Monitoring of Summer Maize Planting Information for Spatial and Temporal Variations in Huanghuaihai Plain During 2000–2010. Spectrosc. Spectr. Anal. 2012, 32, 2534–2539. [Google Scholar]













| Sites | Environmental Factors | Phenological Information (DOY) | |||||||||||
|---|---|---|---|---|---|---|---|---|---|---|---|---|---|
| Name | Longit-ude (°E) | Latitude (°N) | Average Annual Temperature (°C) | ≥10 °C Accumulated Temperature (°C day) | Precipitation (mm) | Sowing | Seeding Emergence | Trefoil | Seven-Leaf | Joint-ing | Tassel-ing | Milk-ripe | Matura-tion |
| Nanyang | 112.58 | 33.03 | 14.61 | 640.3 | 4919.5 | 155 | 164 | 168 | 180 | 192 | 209 | 235 | 254 |
| Neixiang | 111.86 | 33.05 | 14.51 | 635.1 | 5014.5 | 163 | 169 | 171 | 181 | 198 | 212 | 232 | 252 |
| Ruzhou | 112.83 | 34.18 | 7.08 | 422.8 | 4930.8 | 157 | 164 | 168 | 180 | 192 | 212 | 241 | 258 |
| Shangqiu | 115.66 | 34.45 | 14.91 | 638.5 | 5035.6 | 168 | 174 | 176 | 186 | 200 | 219 | 243 | 262 |
| Qixian | 114.78 | 34.53 | 9.5 | 479.5 | 4969.8 | 160 | 166 | 170 | 186 | 198 | 215 | 241 | 261 |
| Zhengzho-u | 113.65 | 34.72 | 14.81 | 435.9 | 5093.4 | 161 | 166 | 168 | 180 | 194 | 216 | 241 | 260 |
| Heze | 115.43 | 35.25 | 15.39 | 417.5 | 4854.4 | 170 | 176 | 178 | 190 | 202 | 220 | 243 | 268 |
| Xinxiang | 113.88 | 35.31 | 13.84 | 439.4 | 5085.9 | 160 | 166 | 172 | 182 | 198 | 214 | 235 | 262 |
| Jining | 116.58 | 35.45 | 13.48 | 518.9 | 5050.5 | 170 | 184 | 188 | 198 | 208 | 228 | 250 | 272 |
| Juxian | 118.83 | 35.58 | 13.42 | 842.1 | 4614.6 | 171 | 178 | 182 | 192 | 206 | 221 | 248 | 268 |
| Puyang | 115.01 | 35.7 | 13.42 | 398.1 | 4793.8 | 159 | 176 | 182 | 192 | 210 | 221 | 252 | 262 |
| Anyang | 114.37 | 36.12 | 14.55 | 498.1 | 4878.3 | 166 | 172 | 177 | 186 | 198 | 219 | 245 | 268 |
| Taian | 117.15 | 36.16 | 13.57 | 587.7 | 4783.9 | 179 | 184 | 188 | 200 | 217 | 235 | 248 | 272 |
| Jiaozhou | 120 | 36.3 | 13.22 | 606 | 4545.7 | 167 | 174 | 178 | 190 | 210 | 228 | 262 | 276 |
| Gaomi | 119.75 | 36.41 | 13.67 | 650.9 | 4521.4 | 168 | 172 | 178 | 188 | 200 | 212 | 243 | 264 |
| Liaocheng | 115.96 | 36.48 | 14.06 | 465.3 | 4739 | 165 | 172 | 180 | 190 | 208 | 220 | 252 | 272 |
| Feixiang | 114.8 | 36.55 | 14.81 | 531.5 | 4850.1 | 158 | 168 | 174 | 188 | 208 | 219 | 243 | 268 |
| Shexian | 113.66 | 36.56 | 11.71 | 524.1 | 3701.2 | 168 | 174 | 180 | 194 | 208 | 227 | 258 | 282 |
| Hanting | 119.18 | 36.75 | 13.47 | 563.7 | 4600.7 | 164 | 168 | 176 | 188 | 200 | 219 | 241 | 262 |
| Laiyang | 120.7 | 36.93 | 11.71 | 587.3 | 4360.4 | 173 | 179 | 182 | 194 | 206 | 223 | 254 | 272 |
| Jiyang | 117.11 | 36.98 | 12.68 | 659.6 | 4850.6 | 166 | 170 | 174 | 186 | 200 | 216 | 243 | 270 |
| Neiqiu | 114.5 | 37.28 | 12.15 | 539.4 | 4840.3 | 158 | 165 | 171 | 182 | 197 | 215 | 242 | 272 |
| Gaoyi | 114.62 | 37.6 | 14.68 | 521.8 | 4823.8 | 159 | 166 | 170 | 178 | 184 | 198 | 217 | 241 |
| Luanchen-g | 114.63 | 37.88 | 12.12 | 521.8 | 4823.8 | 165 | 182 | 176 | 186 | 198 | 219 | 239 | 272 |
| Huanghua | 117.35 | 38.37 | 11.7 | 760.2 | 4649.1 | 175 | 182 | 186 | 196 | 212 | 228 | 252 | 278 |
| Hejian | 116.08 | 38.45 | 12.49 | 666.4 | 4658.8 | 164 | 170 | 178 | 190 | 204 | 217 | 241 | 272 |
| Rongchen-g | 115.85 | 39.05 | 13.57 | 730.9 | 4493.9 | 167 | 175 | 181 | 191 | 202 | 221 | 248 | 276 |
| Bazhou | 116.38 | 39.12 | 12.03 | 791.2 | 4587.1 | 160 | 168 | 182 | 174 | 196 | 217 | 243 | 266 |
| Zhuozhou | 115.96 | 39.48 | 12.71 | 730.9 | 4493.9 | 169 | 176 | 178 | 189 | 202 | 221 | 249 | 272 |
| Baodi | 117.28 | 39.7 | 13.05 | 881.6 | 4542.8 | 168 | 178 | 176 | 192 | 202 | 221 | 250 | 267 |
| Tongxian | 116.63 | 39.92 | 12.88 | 875.5 | 4554.2 | 172 | 178 | 183 | 198 | 206 | 225 | 256 | 274 |
| Sanhe | 117.08 | 39.96 | 13.09 | 881.6 | 4542.8 | 173 | 178 | 182 | 190 | 202 | 223 | 252 | 273 |
| Parameters | Data | Parameters | Data | Parameters | Data |
|---|---|---|---|---|---|
| a1 | 0.282 | a2 | 0.321 | a3 | 0.341 |
| b1 | 217.8 | b2 | 254.7 | b3 | 204.7 |
| c1 | 20.87 | c2 | 23.17 | c3 | 61.9 |
| i | 161 | 177 | 193 | 209 | 225 | 241 | 257 | 273 | 289 |
|---|---|---|---|---|---|---|---|---|---|
| s | 2 | 4 | 5 | 6 | 6 | 7 | 8 | 8 | 8 |
| Summer maize phenology | Seedling emergence | Seven-leaf | Join-ting | Tassel-ing | Tassel-ing | Milk-ripe | Maturation | Maturation | Maturation |
| Bao-di | Dong-ng | Gao-Mi | Gu-Cheng | Kai-Feng | Lu-Shan | Meng-Hou | Shou-Uang | Xi-Ping | Xu-Shui | |
|---|---|---|---|---|---|---|---|---|---|---|
| R | 0.905 ** | 0.917 ** | 0.907 ** | 0.926 ** | 0.989 ** | 0.955 ** | 0.989 ** | 0.922 ** | 0.968 ** | 0.912 ** |
| Sig. (Two-tailed) | 0.002 | 0.001 | 0.002 | 0.000 | 0.000 | 0.000 | 0.000 | 0.000 | 0.000 | 0.001 |
| N | 9 | 9 | 9 | 9 | 9 | 9 | 9 | 9 | 9 | 9 |
| Province | Statistical Area/103 ha | Extracted Area/103 ha | High (+) or Low (−)/% | Accuracy/% |
|---|---|---|---|---|
| Beijing | 133.0 | 129.7 | −2.51 | 97.49 |
| Tianjin | 179.0 | 175.4 | −1.96 | 98.04 |
| Hebei | 2684.3 | 2995.4 | 11.59 | 88.41 |
| Henan | 3100.0 | 3322.7 | 7.18 | 92.81 |
| Shandong | 3010.0 | 3428.2 | 13.59 | 86.41 |
| Region | Statistical Data/103 ha | Extracted Area of MODIS/103 ha | Extracted Area of Landsat/103 ha | Public Area/103 ha | Proportions of the Public to the Statistical Data/% | Proportions of the Public to the Results Based on MODIS/% | Proportions of the Public to the Results Based on Landsat/% |
|---|---|---|---|---|---|---|---|
| Changyua-n | 29.4 | 29.7 | 29.3 | 20.1 | 68.4 | 67.7 | 68.6 |
| Gaotang | 37.7 | 34.0 | 34.4 | 28.3 | 75.1 | 83.2 | 82.3 |
| Linzhang | 36.6 | 43.9 | 37.5 | 32.9 | 89.9 | 74.9 | 87.7 |
| Lushan | 24.7 | 25.9 | 37.6 | 23.5 | 95.1 | 90.7 | 62.5 |
| Yongnian | 33.9 | 35.0 | 25.3 | 22.3 | 65.8 | 63.7 | 88.1 |
| Xinji | 43.2 | 60.1 | 51.2 | 45.9 | 99.4 | 76.4 | 89.6 |
| average | — | — | — | — | 82.3 | 76.1 | 79.8 |
| Province | Statistical Area/103 ha | Extracted Area/103 ha | High (+) or Low (−)/% | Accuracy/% |
|---|---|---|---|---|
| Beijing | 114.5 | 105.1 | −8.21 | 91.79 |
| Tianjin | 191.7 | 178.2 | −7.05 | 92.95 |
| Hebei | 2693.6 | 2630.4 | −2.33 | 97.67 |
| Henan | 3203.3 | 3104.3 | −3.09 | 96.91 |
| Shandong | 3060.7 | 2707.0 | −11.56 | 88.44 |
© 2020 by the authors. Licensee MDPI, Basel, Switzerland. This article is an open access article distributed under the terms and conditions of the Creative Commons Attribution (CC BY) license (http://creativecommons.org/licenses/by/4.0/).
Share and Cite
Wang, X.; Zhang, S.; Feng, L.; Zhang, J.; Deng, F. Mapping Maize Cultivated Area Combining MODIS EVI Time Series and the Spatial Variations of Phenology over Huanghuaihai Plain. Appl. Sci. 2020, 10, 2667. https://doi.org/10.3390/app10082667
Wang X, Zhang S, Feng L, Zhang J, Deng F. Mapping Maize Cultivated Area Combining MODIS EVI Time Series and the Spatial Variations of Phenology over Huanghuaihai Plain. Applied Sciences. 2020; 10(8):2667. https://doi.org/10.3390/app10082667
Chicago/Turabian StyleWang, Xueting, Sha Zhang, Lili Feng, Jiahua Zhang, and Fan Deng. 2020. "Mapping Maize Cultivated Area Combining MODIS EVI Time Series and the Spatial Variations of Phenology over Huanghuaihai Plain" Applied Sciences 10, no. 8: 2667. https://doi.org/10.3390/app10082667
APA StyleWang, X., Zhang, S., Feng, L., Zhang, J., & Deng, F. (2020). Mapping Maize Cultivated Area Combining MODIS EVI Time Series and the Spatial Variations of Phenology over Huanghuaihai Plain. Applied Sciences, 10(8), 2667. https://doi.org/10.3390/app10082667

