Next Article in Journal
Log Analysis-Based Resource and Execution Time Improvement in HPC: A Case Study
Previous Article in Journal
Stability of Multiple Seasonal Holt-Winters Models Applied to Hourly Electricity Demand in Spain
 
 
Font Type:
Arial Georgia Verdana
Font Size:
Aa Aa Aa
Line Spacing:
Column Width:
Background:
Article

Guidelines for Impact Echo Test Signal Interpretation Based on Wavelet Packet Transform for the Detection of Pile Defects

1
Department of Civil Engineering, Kunsan National University, Gunsan 573-701, Korea
2
Horizon Survey Company (FZE), P6-31, SAIF Zone, Sharjah 68785, UAE
3
Department of Civil and Environmental Engineering, Kunsan National University, Gunsan 573-701, Korea
4
Kunsan National University Institute of Offshore Wind Energy, Gunsan 573-701, Korea
*
Author to whom correspondence should be addressed.
Appl. Sci. 2020, 10(7), 2633; https://doi.org/10.3390/app10072633
Submission received: 11 February 2020 / Revised: 31 March 2020 / Accepted: 3 April 2020 / Published: 10 April 2020
(This article belongs to the Section Acoustics and Vibrations)

Abstract

Nonlinear amplification is typically done on velocity signals from low-strain pile integrity tests to enhance weak echoes and superimpose any peak reflections. This conventional method may sometimes fail to untangle the hidden information within the signal that is obscured by the presence of noise. In this study, a pile defect identification system based on the conventional nonlinear amplification method and the wavelet packet transform (WPT) was proposed to easily detect the presence of any geometric or material defects by identifying feature parameters. Diagnostic rules, which have been lacking in the literature, were presented to serve as a guide in interpreting decomposed signals and in analyzing various characteristics of peak waveforms that are associated with certain types of defects. In this study, the finite element method was used to simulate the impact echo test of nine cases of defective piles. To verify the proposed scheme, six data sets of the nine cases of defective piles were made, in which a total of 54 piles were analyzed. The results of the study showed that the identification method based on WPT could detect defects 87.04% of the time compared to the conventional method, which only detected defects 64.81% of the time.

1. Introduction

The importance of assessing the actual integrity and quality of deep foundations has long been recognized since the last decades. Difficult soils and hydrogeological conditions (occurrence of weak and specific soils in the sections, the aggressiveness and dynamic effects of subsoil waters, etc.) can cause pile defects and impair its constructed pile geometry and material quality, which reduces pile strength and capacity. Methods to control the quality of construction procedures for deep foundations, such as drilled shafts and driven piles, have been provided by the use of nondestructive evaluation (NDE) techniques (e.g., [1,2]). Low-strain testings, such as the impact echo test method, have been extensively used to evaluate pile integrity, uniformity, and continuity, by checking for possible defects, imperfections, and anomalies in physical dimensions and consistency of the pile material. In addition, the application of low-strain testing methods has been used to evaluate the conditions in end-bearing, such as soft pile toe, due to improper base cleaning, or rock-socketed status of the pile toe [3,4]. In general, the interpretation of sonic integrity test results needs considerable experience and knowledge in testing, subsoil condition, and construction method.
Various guidelines are presented in the literature regarding the interpretation of low-strain integrity test results for the identification of geometric defects or spatial imperfections, such as estimating the cross-sectional area of necking (reduction) or bulge (enlargement) of the pile shaft section, their location, and extent [5,6]. In most cases, the typical method for signal processing and analysis of results in impact echo tests of piles for the evaluation of their integrity is by linear/nonlinear amplification of the original signal scale response to superimpose any reflected peaks and enhance weak echoes. The basic method of scale amplification of the original signal alone may sometimes fail to identify local and hidden discontinuities, irregularities, and small defects for complex signals, whose interpretation is sometimes obscured by noise. A numerical signal process tool that can substantially improve and strengthen the signal characteristics can be provided by wavelet analysis through the wavelet transform (WT) method. The application of the wavelet transform for low-strain integrity testing has been found to be a promising signal processing tool [7]. Addison et al. [8] presented finite element generated responses of an imaginary pile with a 20% impedance increase at the middle, in which they indicated that the change in impedance was difficult to identify in the time domain, whereas the defect could be observed clearly in the wavelet transform.
The wavelet packet transform (WPT) is an extension of the WT, which provides a complete level-by-level decomposition of the signal [9]. WPT has become a popular signal processing method, which has been applied in various fields, such as in the medical industry [10], wind industry [11,12], electric power industry [12], condition monitoring and fault diagnosis of mechanical systems and structures [13,14,15,16,17,18], fatigue damage analysis of composites [19], and many more. The WPT is a signal analysis tool that has the feature of time-frequency resolution. It can be applied to time-varying signals, where the Fourier transform does not produce useful results, and the wavelet transform does not produce sufficient results [20]. The WPT can be considered as an extension to the discrete wavelet transform (DWT), which performs better in the reconstruction process than the discrete one. However, guidelines and recommendations on the interpretation of decomposed signals from low-strain pile integrity tests lack in the literature. For this reason, diagnostic rules were designed in this study to provide a more efficient interpretation of the feature parameters, to be able to identify and classify the presence and type of any material and geometric defect on the pile, to consequently localize the position of the defect, and to quantify the extent of the defect. Wavelet packet transform was applied as a new and promising set of tools and techniques for analyzing and clarifying the reflection signals in impact echo test of piles by decomposing their scale and time aspects into high-resolution components to be able to reveal and identify any hidden information due to the presence of defects, flaws, anomalies, imperfections, material inconsistencies, or damage.

2. Theoretical Background

2.1. Pile Integrity Test by Impact Echo Method

The method of pile integrity test (PIT), also known as sonic echo (SE), pulse echo (PE), impulse response (IR), or impact echo (IE) methods, is used for the low-strain integrity testing. The technique is referred to as the low-strain method because the strain induced by the impact is of the order of a few microstrains or less. It is non-destructive testing that is also commonly used for deep foundations, such as bored or drilled shafts, auger cast-in-place piles, driven concrete piles, and concrete-filled pipes [21,22]. The impact echo method (Figure 1) involves impacting the top of a deep foundation with a hammer to generate a downward traveling compression wave, which reflects back to the surface from changes in stiffness, cross-sectional area, and density. The arrival of the reflected wave energy is sensed by a receiver (accelerometer or vertical geophone). If a defect is present along the shaft, its size and location can be estimated by analyzing the propagation and reflection of the wave signal induced on the foundation by the hammer impact. It is also possible to estimate the depth of the pile toe.
Considering the pile to be a one dimensional elastic and isotropic bar, the equation of motion of the stress wave propagating along the axis in a pile-soil system is given by Equations (1) and (2) [23].
p t + ζ v x = 0
p t + ζ v x = c · R
where p(x, t) and v(x, t) denote the force and particle velocity acting on each pile section, respectively; c is the wave speed of the pile, which is given by Equation (3); ρ and E are the density and Young’s modulus of the pile material, respectively; ζ is defined as the wave impedance of the pile, ζ = ρcA, in which A is the cross-sectional area; R is the soil resistance; t is the time measured from the moment of impact; and x is the travel time, which is defined by Equation (4). In Equation (4), z is the depth below the pile top.
c = E ρ
x = 0 z d z c
At low-strain level, the mobilized shaft resistance R is small and maybe neglected for all practical purposes, in which the low-strain condition is formed as the basis for the integrity testing [1]. With the mobilized shaft resistance being negligible under these conditions, Equation (2) is reduced to Equation (5).
p x + ζ v t = 0
Thus, the impedance ζ becomes the unique model parameter we seek to recover or interpret, with the wave Equations (1) and (5) now being an inverse medium problem. The change in wave impedance at the defect is mainly due to the change in cross-section area or wave velocity. The changes in impedance can be used to detect potential defects, anomalies, and imperfections, such as major cracks, necking, soil inclusions or voids, low-quality concrete, changes in pile cross-section, and reflections from the pile tip can be used to determine the embedment length.
For a perfectly intact and uniform pile with length L and having no defect or imperfections, the reflected wave from the pile tip propagates a total distance of 2 L, and thus the total travel time t defined by Equation (4) is given by Equation (6).
t = 2 L c
For the case of cast-in-place concrete drilled piles or bored shafts, the embedment depth or length L is normally known with sufficient accuracy, such that the propagation time t in Equation (6) is, therefore, mainly dependent and inversely proportional to the wave velocity of concrete c. The wave velocity is also regarded as an indication of concrete quality since the modulus of elasticity E is related to the compressive strength f’c, as shown in Table 1. In this study, the characteristics of the reflection time and impedance of the wave signals were explored as they relate to the presence of various geometric and material defects, imperfections, flaws, and anomalies in a pile.

2.2. Principle of Wavelet Packet Transform

The principle of wavelet packet transform (WPT) method can be described as a generalization of the wavelet decomposition that offers a richer range of possibilities for signal analysis that can be used in data preprocessing for fault diagnosis [14], damage identification [15], improving the time resolution and noise suppression [27], and signal compression [28]. In wavelet packet analysis, a signal S 0 0 is split into an approximation S 1 0 and a detail S 1 1 , which represent the low and high frequencies, respectively. The approximation is then itself split into a second-level approximation and detail, and the process is repeated (Figure 2). This decomposition, in effect, halves the time resolution and doubles the frequency resolution. For an n-level decomposition, there are n+1 possible ways to decompose or encode the signal, yielding more than different ways to encode the signal [29]. The wavelet packet function is a time-frequency function that can be defined as [30],
W j , k n ( t ) = 2 j 2 W n ( 2 j t k )
where the integers j and k are the index scale and translation operations. The index n is an operation modulation parameter or oscillation parameter. The first two wavelet packet functions are the scaling and mother wavelet functions given by Equations (8) and (9), respectively.
W o , o o ( t ) = ( t )
W o , o 1 ( t ) = ψ ( t )
when n = 2, 3 … the function can be defined by the following recursive relationships:
W o , o 2 n ( t ) = 2 k h ( k ) W 1 , k n ( 2 t k )
W o , o 2 n + 1 ( t ) = 2 k g ( k ) W 1 , k n ( 2 t k )
where h(k) and g(k) are the quadrature mirror filter (QMF) associated with the predefined scaling function and mother wavelet function. The wavelet packet coefficients, W j , k n , are computed by the inner product ❮ f ( t ) , W j , k n ❯ that is defined as,
W j , k n = f ( t ) , W j , k n = f ( t ) W j , k n ( t ) dt
An example of the framework of the WPT algorithm broken up to three resolution levels is viewed as a complete binary tree, as shown in Figure 2. In the figure, S 3 0 presents the symbol for a subspace that stands for the third resolution and the 0th subspace, while H and G are the two impulse responses of low-pass and high-pass analyzing filters corresponding to the scaling function and the wavelet function, respectively.
In pulse echo technique applied to piles, a pulse is emitted, and if a geometric defect, flaw, or material inconsistencies exists, peak reflections or delayed echo is expected. But in any case, the material response introduces grain noise, which hinders echo and defect detection. The main advantage gained by using wavelet packet analysis is the ability to perform a local analysis of a signal, i.e., zooming on any interval of time or space. Wavelet packet analysis is thus capable of revealing some hidden aspects of the data that other signal analysis techniques fail to detect [15], which is a particularly important property for damage and defect detection applications.

3. Interpretation of Velocity Signals from Impact Echo Method

3.1. Feature Parameters

As compared to the simple visual inspection of the original or amplified velocity signals that is sometimes obscured by noise from wave dispersions due to defects, the low-frequency components of the WPT decomposed signals would allow for easy identification of the feature parameters in an impact echo test on a pile, as described in the following.

3.1.1. Total Reflection Time, T of the Pile Tip

Reinforced concrete piles, such as drilled or bored piles, are normally designed and constructed using a known length L and concrete compressive strength f’c. Thus, from the design compressive strength used in the concrete mix, the expected equivalent modulus property E and wave velocity c could then be estimated from the relations in Table 1. For a normally constructed and intact pile without material defects (Figure 3), the expected travel time of the wave reflection from the pile bottom could be computed using Equation (6), and this expected travel time could be denoted as the reference time, Tr. The concrete quality and, consequently, the concrete compressive strength could then be verified using the actual total reflection time T from the pile tip obtained from the impact echo test measurements.

3.1.2. Number of Peaks, N

A normally constructed pile without geometric or material defects would typically have only two peak reflections generated from the impact test measurements, that is, one at the pile top due to impulse from the impact and another due to reflection at the pile tip, as shown in Figure 3. The presence of any intermediate peak reflections in between the pile top and bottom would then signify the existence of any geometric or material defects due to changes in the impedance at the defective sections of the pile. In the presence of any geometric or material defect, the reflected wave would then encounter two variations in impedance, corresponding to either an increase or decrease; first was from the change in impedance due to the presence of any defect at the start of the defective section, and the second was from the change in impedance due to the restored normal conditions at the end of the defective section. Thus, the expected number of intermediate reflection peaks due to defects would always be an even number greater than or equal to two.

3.1.3. Direction or Sign of Peaks

In addition to the number of intermediate peaks due to defect, the direction or sign of the reflected peak could be associated with the type or category of the defect being present, either when the peak was directed upward and thus having a positive sign and increase in impedance, or when the peak was directed downward and thus having a negative sign and decrease in impedance.

3.2. Identification and Classification of Defects from Feature Parameters

Based on the feature parameters being determined, an identification and classification scheme was being designed to be able to distinguish the type of defect, if any, that would be present at the pile. Two main classifications were being made: first, based on comparisons of the measured pile tip reflection time T with the reference time Tr; and second, based on the number of peak reflections N. A perfectly intact and uniform pile with no geometric and material defect would have a total reflection time T almost equal to the reference time Tr for the normal quality condition of the concrete material, and the number of reflection peaks was just two. When the measured tip reflection time T < Tr, it signified that the quality of the concrete material was higher than expected, and when T > Tr, it signified the presence of any low-quality material defect.
The presence of intermediate peaks greater than or equal to two signified a geometric or material defect. Geometric defects, such as the presence of neck, notch, crack, or voids, are all generally categorized as a reduction in the area of the pile cross-section, while bulge defects are generally categorized as enlargement in area. Pile defects due to reduction in the area or having material defects had a downward direction or negative sign of the first reflected wave and then an upward or positive sign of the next reflected wave, thus having the sign (−/+), as shown in Figure 4. On the other hand, the presence of a geometric pile defect with an enlarged section had an upward direction or positive sign of the first reflected wave and then a downward or negative sign of the next reflected wave, thus having the sign (+/−), as shown in Figure 5.
The proposed algorithm for the pile defect identification scheme was implemented in a pseudo-code, as shown in Figure 6, which was also graphically presented in the flowchart diagrams shown in Figure 7a,b. The pseudo-code in Figure 6 and the flowchart in Figure 7 had been used as reference guidelines for the interpretation, classification, and diagnosis of the type of pile defects. These had been implemented in program code using Excel VBA (Visual Basic for Applications). Based on visual inspection of the amplified and WPT decomposed signals, the basic input parameters (e.g., total travel time t, reference time Tr, and the number of significant peaks n) were entered, and the interpreted diagnosis of probable pile defects was presented in the output. A parametric study was performed in the following section to verify and test the proposed identification scheme through numerical simulation of impact-echo tests of bored piles with the application of WPT and to verify and compare its performance with the typical evaluation method by amplification of the original velocity signals without WPT applied.

4. Finite Element Method (FEM) Simulation and Analysis of Impact Echo Test

In connection with theoretical and numerical studies on piles, various researchers [31,32] have shown that three-dimensional (3D) modeling results are very similar in general terms to those predicted by the usual one-dimensional (1D) solutions. In this study, impact echo test simulations of intact and defective piles were performed using the finite element program ABAQUS [33]. Numerical studies were performed on various cases of intact and defective piles, as shown in Figure 8. Each case was assumed to be a bored pile, and was 0.50 m in diameter (D), bearing on a stiff soil layer at 15 m length (L). Figure 8a is the case for an intact pile having a uniform diameter with no geometric and material defects, while Figure 8b,c are example cases of defective piles with material defect, such as having the poor concrete quality or weak material in a certain zone. Figure 8d–f are example cases of the pile with geometric defects, while Figure 8h–j are example cases of the pile with multiple defects. Figure 8b is an example case of a pile with uniform diameter but had a low-quality concrete material through its length, while Figure 8c is an example case with a material defect at a segment along the shaft length. Figure 8d is an example of a pile with a neck defect that was modeled by a decrease in the cross-sectional area at the position shown. In Figure 8d,h,j, necking at the sections were modeled with a gradual reduction in diameter to a minimum 10% decrease of pile diameter (Dn = 0.9D) in the middle of the respective positions shown. Figure 8e is an example of a pile with bulge imperfection that was modeled by an increase in the cross-sectional area at the position shown. In Figure 8e,i,j, bulging at the sections were modeled with a gradual increase in diameter to a maximum of 20% increase of pile diameter (Db = 1.2D) in the middle of the respective positions shown. The pile and bearing soil layer were modeled in ABAQUS using three-dimensional 8-node linear brick elements of type C3D8R. The C3D8R element in ABAQUS is a general-purpose linear brick (continuum) element with reduced integration. Using the material properties ρ and E, the wave speed (c) of the material was calculated using Equation (3). At this speed (c), the wave passed to the bottom of the pile and traveled back to the top of the pile in total time (t) as given by Equation (6). To be able to see the wave propagate along the length of the pile through time, the mesh is adequately refined to capture the wave travel accurately. It is adequate to have the impact load take place over the span of 10 elements [33], and this means that the impact of duration times on the wave speed must equal the length of 10 elements. In this study, an element mesh size of 0.02 m was considered, which was consistent with the duration of impact as produced with the maximum force generated with typical handheld hammers and range of wave velocity of normal weight concrete used for piles. To keep the mesh uniform, the same size of the element (0.02 m) was considered for meshing in both the longitudinal and the transverse directions. Model boundaries of 5 times the width of the pile were considered in the horizontal direction and from the bottom of the pile in order to minimize boundary effects. The bottom boundary condition was constrained against displacement in all three directions, the vertical sides were constrained in the horizontal direction, and the top surface boundary was free. The analysis was based on an explicit method (ABAQUS/Explicit) that was especially well-suited for efficiently solving high-speed and short duration dynamic events, such as an impact load, which required many small increments to obtain a high-resolution solution. The ABAQUS/Explicit method used a central difference rule to integrate the equations of motion explicitly through time, using the kinematic conditions at one increment to calculate the kinematic conditions at the next increment.
The intact pile (reference pile) was modeled using an elastic modulus E1 = 38,400 MPa, density ρ = 2400 kg/m3, and Poisson ratio µ = 0.20, while pile sections with material defects were modeled by a lower elastic modulus property E2 = 20,000 MPa. The material properties of the bearing soil layer are Eb = 5000 MPa, density ρb = 2000 kg/m3, and Poisson ratio µb = 0.30. The impact was modeled by a suddenly applied maximum pressure of P = 10,000 Pa at a portion of the top quarter section area of the pile with a half-sine amplitude and 0.00008 s duration that was consistent with the maximum force generated with typical handheld hammers. Velocity responses were recorded at the top center of the pile at a sampling frequency of 50 kHz. The properties of the intact pile (reference pile) and bearing layer are listed in Table 2, while the properties of the defective piles in Figure 8 are summarized in Table 3.
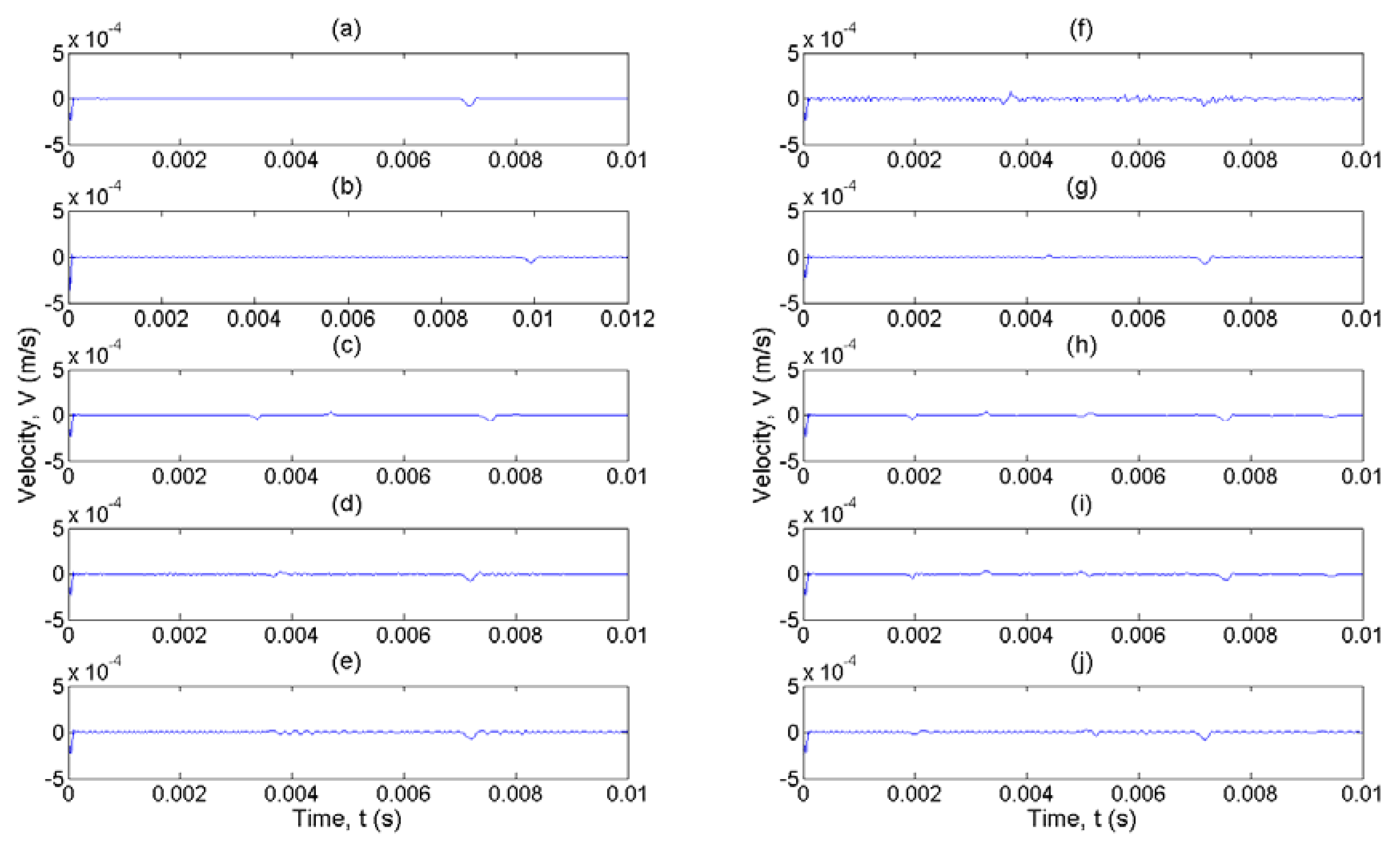
Figure 9 shows the original signals of the velocity record from the wave reflection responses taken at the top center of the pile for the different simulation cases. As could be seen in Figure 9, various types of wave dispersion existed due to the very complicated forms of defects present in the piles. The defects included not only a sudden change in cross-section area at fracture, crack, or void but also gradual variation in cross-section at necking or bulging and change in material properties, which occurred in parts of the concrete. Wavelet packet decomposition was applied to the velocity signals after nonlinear amplification with the one-dimensional wavelet packet analysis function ‘wpdec’ in Matlab and using the “db2” wavelet packet filter Ψ and “Shannon entropy” [29]. By applying wavelet packet transform (WPT), low-frequency and high-frequency components, as noted by the left and right branches, respectively, of the WPT decomposition tree shown in Figure 10a and Figure 2, could be obtained from the original waveforms of the signals according to each defect previously considered. Considering the case in Figure 8e, whose original signal generated from ABAQUS simulation is shown in Figure 9e, if WPT was applied up to the third level of decomposition, the following low-frequency approximations shown in Figure 10b were obtained. As could be seen in Figure 10b, the noise was effectively removed, and the feature parameters could then be easily identified. Furthermore, after WPT was successfully applied, lower-dimensional data with improved resolution could be obtained that would facilitate the defect identification and detection process. In Figure 11, the typical method for the evaluation of defects in sonic-echo test results was performed by nonlinear amplification of the original signal in order to enhance weak velocity peaks due to impedance changes arising from defects. A new method of signal processing was then suggested in this study by applying WPT decomposition to the amplified signal. As shown in Figure 11, the WPT decomposed signal would clearly reveal any hidden information, such as the presence of defects, that might not be seen by mere amplification alone.

5. Verification of the Proposed Scheme by Parametric Study

In order to test and verify the performance of the proposed pile defect identification scheme based on wavelet packet transform (Method 1), a parametric study using ABAQUS/Explicit [33] was performed on various FEM models of defective piles by varying the parameters and conditions of the simulated pile cases shown in Figure 8b–j into six datasets, as shown in Table 4. The range of the input parameters shown in Table 4 covered various extent and location or position of the defects shown in Figure 8, from small to large, narrow or wide, and long or short. In Table 4, E1 and E2 refer to the modulus of elasticity values for the intact and defective pile, respectively, Dn is the maximum diameter of the neck defect, Db is the maximum diameter of the bulge imperfection, while the rest of the material parameters are as described in Section 4. Similarly, the depths z1 and z2 in Table 4 indicate the variations of the position of the geometric defects in reference to Figure 8. The objective of the parametric study was to compare with the conventional method of evaluation by nonlinear amplification of the original signal without WPT applied (Method 2), as described in Figure 11, as well as to determine if there were any limitations of the proposed method presented. Table 5 shows a comparison of the detection ratio between the two methods of pile defect diagnosis from the parametric study, in which the detection ratio was rated as high = 1.0, medium = 0.5, and low = 0, as shown. In most cases, the low-frequency components of WPT applied to the signals at the third level of decomposition had yielded a clear resolution and identification of the feature parameters. As shown in Table 5 and Figure 12, the superiority of the identification scheme based on the WPT method was seen for the detection ratings of 1 against 0 using the conventional evaluation method without WPT applied. As shown, method 2 contained more dark colors on the contour plot, indicating lower detection ratios, especially at cases c, d, e, and f. This means that method 2 had difficulty in detecting segments with weak concrete, neck defects, bulge imperfections, cracks, and notches in comparison to method 1. Using method 2, segments with weak concrete were hardly detected if E2 was almost the same as E1 and were moderately detected if the length and area of the very weak segment (e.g., E2 = 7, 10, 15 GPa) were short and small. In addition, neck defects and bulge imperfections were hardly detected if the defects were small (Dn > 0.8D, Db < 1.1D) and if the segment with the defect was long. Moreover, notches and cracks were hardly detected if it was located nearer to the top of the pile and if the depth of the defect was shallow.
A comparison was made for the velocity waveform of the amplified signals shown in Figure 13, Figure 14, Figure 15, Figure 16, Figure 17 and Figure 18 with and without WPT applied, which clearly showed the identified feature parameters and noise suppression of the signal with WPT. Based on the observations of the velocity waveforms for pile defects due to reduction in the area of the pile section, it was not possible to distinguish among a neck, crack, and void when the length of the neck or void was short, as shown in Figure 14, Figure 17 and Figure 18. Similarly, a very short extent of a weak pile segment might be misinterpreted to be a defect due to a reduction in cross-section area, as shown in Figure 13, especially when the measured reflection time at the pile tip T was almost equal to the reference time Tr. On the other hand, the reflections from a reduced pile area defect could be distinguished from a notch or crack if the extent of the defect was long, as shown in Figure 15, although it might be difficult to distinguish it from being a long necking or a long and narrow void. There were also certain magnitudes of the defect in which identification by WPT was low or not possible, such as when the extent of the neck, bulge, depth of notch or crack, and maximum size of the void was smaller than about 10% of the pile diameter, as marked by the detection ratio of 0.5 and 0 in Table 5. These phenomena of limitations in pile integrity testing are also presented by Tchepak [34] and Hartung et al. [35]. The basic purpose of assigning a detection weight value, as summarized in Table 5, was to make a numerical comparison for assessments of results of interpreted signals with and without WPT decomposition. A high value of 1.0 meant that the defects were detected and that the type of defect was fully distinguishable, while a medium value of 0.5 meant that the defects were detected but were not fully distinguishable, such as when a weak pile segment could be misinterpreted as a reduction in cross-section area or when a reduced pile area defect was difficult to tell whether it was a long necking or narrow void. A low value of 0 meant that the pile defects were not detected. For piles with multiple defects, if one of the multiple defects were not detected, a value of 0 was given. Nevertheless, even though the integrity testing might not identify all minor imperfections, the identification method based on WPT coupled with the conventional amplification method could be a useful tool in identifying major defects within the effective length of the pile compared to the method by amplification alone, as verified by the comparison of the detection performance rating shown in Figure 19 between the two methods.

6. Conclusions

In this study, the application of the wavelet packet transform (WPT) was demonstrated for the efficient noise suppression, identification of the feature parameters, and detection of defects in the integrity testing of piles by impact echo test method. Diagnostic rules, which have been lacking in the literature, were presented to serve as a guide in interpreting decomposed signals and in analyzing various characteristics of peak waveforms that are associated with certain types of defects. In this study, the finite element method was used to simulate the impact echo test of nine cases of defective piles. To verify the proposed scheme, six data sets of the nine cases of defective piles were made, in which a total of 54 piles were analyzed. Using the decomposed signal by WPT after amplification, the characteristics of the velocity reflection responses of the various simulated impact echo test of different cases of piles were clearly identified through their associated geometric and material defects present at the pile. Based on the results of the study, the following conclusions were drawn:
  • Segments with weak concrete were hardly detected using method 2 (nonlinear amplification of the original signal without WPT applied) if its modulus of elasticity was almost the same as the reference modulus of elasticity and were moderately detected if the length and area of the very weak segment were short and small.
  • Neck defects and bulge imperfections were hardly detected using method 2 if the defects were small and if the segment with the defect was long.
  • Notches and cracks were hardly detected using method 2 if it was located nearer to the top of the pile and if the depth of the defect was shallow.
  • Using method 1 (WPT-based method), a very short extent of a weak pile segment might be misinterpreted to be a defect due to a reduction in cross-section area, especially when the measured reflection time at the pile tip was almost equal to the reference time.
  • Based on the observations of the velocity waveforms for pile defects due to reduction in the area of the pile section, it was not possible to distinguish among a neck, crack, and void using method 1 when the length of the neck or void was short.
  • Using method 1, it might be difficult to distinguish a reduced pile area defect from being a long necking or a long and narrow void.
  • Even though the integrity testing on piles might not identify all minor imperfections, the results of the study showed that the identification method based on WPT coupled with the conventional amplification method could be a useful tool in identifying major defects within the effective length of the pile compared to the method by signal amplification alone, wherein the identification method based on WPT detected defects 87.04% of the time compared to the conventional method, which only detected defects 64.81% of the time.

Author Contributions

Conceptualization, J.L.M. and H.-J.K.; supervision, H.-J.K.; simulation and validation, J.L.M.; analysis, J.L.M. and P.R.D.; writing—original draft preparation, J.L.M.; writing—review and editing, P.R.D.; project administration, H.-S.K.; funding acquisition, H.-J.K. and T.-W.P. All authors have read and agreed to the published version of the manuscript.

Funding

This research was funded by the National Research Foundation of Korea (NRF), grant number NRF-2017R1D1A3B03034189, and the Korea Institute of Energy Technology Evaluation and Planning (KETEP), grant number 20183010025200. The APC was funded by Brain Korea 21 Plus.

Acknowledgments

This work was supported by the Basic Science Research Program through the National Research Foundation of Korea (NRF) (NRF-2017R1D1A3B03034189) and Brain Korea 21 PLUS.

Conflicts of Interest

The authors declare no conflict of interest.

References

  1. Hearne, T.M.; Stokoe, K.H.; Reese, L.C. Drilled-shaft integrity by wave propagation method. J. Geotech. Eng. Div. 1981, 107, 1327–1344. [Google Scholar]
  2. Olson, L.D.; Wright, C.C. Nondestructive Testing of Deep Foundations with Sonic Methods. In Proceedings of the Foundation Engineering: Current principles and practices, Evanston, IL, USA, 25–29 June 1989. [Google Scholar]
  3. Liu, S.A.; Zhuang, P.H.; Zhong, D.B. Distinguish Rock-Socketed Status of Pile Toe by Low Strain Testing. In Proceedings of the Fifth International Conference on the Application of Stress-Wave Theory to Piles (StressWave ’96), Orlando, FL, USA, 11–13 September 1996; pp. 607–611. [Google Scholar]
  4. Kim, D.S.; Woo, K.H. Evaluation of the Base Condition of Drilled Shafts by the Impact-Echo Method. Geotech. Test. J. 2004, 27, 1–8. [Google Scholar]
  5. Rausche, F.; Goble, G.G. Determination of pile damage by top measurements. In Behavior of Deep Foundations; Lundgren, R., Ed.; ASTM International: West Conshohocken, PA, USA, 1979; pp. 500–506. [Google Scholar]
  6. Kido, K.; Kaneko, Y.; Gao, X.; Kanai, H.; Abe, M.; Makino, S.; Tsukada, Y.; Sakai, T. Diagnosis of Local Buckling of Foundation Concrete Piles by Analyzing Reaction of Pile Head to Hammer Pulse. In Proceedings of the Third International Conference on Application of Stress Wave Theory to Pile, Ottawa, ON, Canada, 25–27 May 1988; pp. 115–122. [Google Scholar]
  7. Addison, P.S.; Watson, J.N. Wavelet Analysis for Low-Strain Integrity Testing of Foundation piles. In Proceedings of the Fifth International Conference on Inspection, Appraisals, Repairs, Maintenance of Buildings and Structures, Singapore, Singapore, 15–16 May 1997; pp. 15–16. [Google Scholar]
  8. Addison, P.S.; Sibbald, A.; Watson, J.N. Wavelet analysis: A mathematical microscope with civil engineering applications. Insight 1997, 39, 493–497. [Google Scholar]
  9. Mallat, S.G. A theory for multiresolution signal decomposition: The wavelet representation. IEEE Trans. Pattern Anal. Mach. Intell. 1989, 674–693. [Google Scholar] [CrossRef]
  10. Yuan, Q.; Zhou, W.; Zhang, L.; Zhang, F.; Xu, F.; Leng, Y.; Wei, D.; Chen, M. Epileptic seizure detection based on imbalanced classification and wavelet packet transform. Seizures 2017, 50, 99–108. [Google Scholar] [CrossRef] [PubMed]
  11. Mujeeb, S.; Alghamdi, T.A.; Ullah, S.; Fatima, A.; Javaid, N.; Saba, T. Exploiting deep learning for wind power forecasting based on big data analytics. Appl. Sci. 2019, 9, 4417. [Google Scholar] [CrossRef]
  12. Zhang, P.; Lu, D. A survey of condition monitoring and fault diagnosis toward integrated O&M for wind turbines. Energies 2019, 12, 2801. [Google Scholar] [CrossRef]
  13. Kong, Z.; Xia, Z.; Cui, Y.; Lv, H. Probabilistic forecasting of short-term electric load demand: An integration scheme based on correlation analysis and improved weighted extreme learning machine. Appl. Sci. 2019, 9, 4215. [Google Scholar] [CrossRef]
  14. Liu, B. Selection of wavelet packet basis for rotating machinery fault diagnosis. J. Sound Vib. 2005, 284, 567–582. [Google Scholar] [CrossRef]
  15. Han, J.G.; Ren, W.X.; Sun, Z.S. Wavelet packet based damage identification of beam structures. Int. J. Solids Struct. 2005, 42, 6610–6627. [Google Scholar] [CrossRef]
  16. Asgarian, B.; Aghaeidoost, V.; Shokrgozar, H.R. Damage detection of jacket type offshore platforms using rate of signal energy using wavelet packet transform. Mar. Struct. 2016, 45, 1–21. [Google Scholar] [CrossRef]
  17. García Plaza, E.; Núñez López, P.J. Application of the wavelet packet transform to vibration signals for surface roughness monitoring in CNC turning operations. Mech. Syst. Signal. Process. 2018, 98, 902–919. [Google Scholar] [CrossRef]
  18. Sohaib, M.; Kim, J.M. Data driven leakage detection and classification of a boiler tube. Appl. Sci. 2019, 9, 2450. [Google Scholar] [CrossRef]
  19. Yan, G.; Lu, X.; Tang, J. Guided wave-based monitoring of evolution of fatigue damage in glass fiber/epoxy composites. Appl. Sci. 2019, 9, 1394. [Google Scholar] [CrossRef]
  20. Chan, Y.T. Wavelet Basic; Sringer: New York, NY, USA, 1995. [Google Scholar]
  21. Van Koten, H.; Middendorp, P. Testing of Foundation Piles; Heron, Joint Publication of the Dept. of Civil Engineering of Delft University of Technology: Delft, The Netherlands; Institute of TNO for Building Materials and Sciences: Rigswijk, The Netherlands, 1981. [Google Scholar]
  22. Davis, A.G.; Dunn, C.S. From Theory to Field Experience with the Non-Destructive Vibration Testing of Piles. Proc. Inst. Civ. Eng. 1974, 57, 571–593. [Google Scholar] [CrossRef]
  23. Wang, J.; Ding, M. Quantitative Analysis of Pile Integrity. In Proceedings of the Fifth International Conference on the Application of Stress-Wave Theory to Piles (StressWave ’96), Orlando, FL, USA, 11–13 September 1996; pp. 939–944. [Google Scholar]
  24. Horiguchi, T.; Karkee, M.; Sakai, T.; Kishida, H. Assessment of the Pile Integrity and the Mobilized Bearing Resistance Using the Mid-range Dynamic Test. In Proceedings of the Fifth International Conference on the Application of Stress-Wave Theory to Piles (StressWave ’96), Orlando, FL, USA, 11–13 September 1996; pp. 971–979. [Google Scholar]
  25. Pessiki, S.; Johnson, M. In-Place Determination of Concrete Strength by the Impact-Echo Method. In Proceedings of the Structures Congress XII, Atlanta, Georgia, 24–28 April 1994; pp. 1340–1345. [Google Scholar]
  26. ACI 318-08: Building Code Requirements for Structural Concrete and Commentary; American Concrete Institute: Indianapolis, IN, USA, 2008; ISBN 0870312642.
  27. Bettayeb, F.; Haciane, S.; Aoudia, S. Improving the time resolution and signal noise ratio of ultrasonic testing of welds by the wavelet packet. NDTE Int. 2005, 38, 478–484. [Google Scholar] [CrossRef]
  28. Walczak, B.; Massart, D.L. Tutorial: Noise suppression and signal compression using the wavelet packet transform. Chemomet. Intell. Lab. Syst. 1997, 36, 81–94. [Google Scholar] [CrossRef]
  29. Misiti, M.; Misiti, Y.; Oppenheim, G.; Poggi, J.M. Wavelet Toolbox User Guide for Use with Matlab-Version 4; Math Works Inc.: Natick, MA, USA, 2009. [Google Scholar]
  30. Yen, G.G.; Lin, K.C. Wavelet packet feature extraction for vibration monitoring. IEEE Trans. Ind. Electron. 2000, 47, 650–667. [Google Scholar] [CrossRef]
  31. Liao, S. Nondestructive Testing of Piles. Ph.D. Thesis, The University of Texas at Austin, Austin, TX, USA, 1994. [Google Scholar]
  32. Kim, H.J.; Mission, J.L.; Park, I.S. Analysis of static axial load capacity of single piles and large diameter shafts using nonlinear load transfer curves. KSCE J. Civ. Eng. 2007, 11, 285–292. [Google Scholar] [CrossRef]
  33. ABAQUS User’s Manual-Version 6.7; SIMULIA Dassault Systemes: Vélizy-Villacoublay, France, 2007.
  34. Tchepak, S. Experiences with Low Strain Integrity Testing of Cast in Situ Piles. In Proceedings of the Fifth International Conference on the Application of Stress-Wave Theory to Piles (StressWave ’96), Orlando, FL, USA, 11–13 September 1996; pp. 612–625. [Google Scholar]
  35. Hartung, M.; Meier, K.; Rodatz, W. Integrity Testing of Model Piles. In Proceedings of the Fourth International Conference on the Application of Stress-Wave Theory to Piles, The Hague, The Netherlands, 21–24 September 1992; CRC Press: Boca Raton, FL, USA, 1992; pp. 265–269. [Google Scholar]
Figure 1. Low-strain pile integrity test by impact echo method.
Figure 1. Low-strain pile integrity test by impact echo method.
Applsci 10 02633 g001
Figure 2. Tree structures of wavelet packet transform [30].
Figure 2. Tree structures of wavelet packet transform [30].
Applsci 10 02633 g002
Figure 3. Intact and uniform pile.
Figure 3. Intact and uniform pile.
Applsci 10 02633 g003
Figure 4. Pile with neck defect.
Figure 4. Pile with neck defect.
Applsci 10 02633 g004
Figure 5. Pile with the bulge.
Figure 5. Pile with the bulge.
Applsci 10 02633 g005
Figure 6. Pseudo-code for pile defect diagnosis.
Figure 6. Pseudo-code for pile defect diagnosis.
Applsci 10 02633 g006
Figure 7. Pile defect identification scheme: (a) Flowchart for pile defect diagnosis; (b) Detailed flowchart for diagnosis based on reference reflection time and the number of peaks.
Figure 7. Pile defect identification scheme: (a) Flowchart for pile defect diagnosis; (b) Detailed flowchart for diagnosis based on reference reflection time and the number of peaks.
Applsci 10 02633 g007
Figure 8. Various cases of intact and defective piles simulated by FEM: (a) Intact and uniform pile; (b) Pile with weak concrete throughout the length; (c) Weak concrete at a section; (d) Neck defect; (e) Bulge imperfection; (f) Notch, crack, or break; (g) Void; (hj) Multiple defects.
Figure 8. Various cases of intact and defective piles simulated by FEM: (a) Intact and uniform pile; (b) Pile with weak concrete throughout the length; (c) Weak concrete at a section; (d) Neck defect; (e) Bulge imperfection; (f) Notch, crack, or break; (g) Void; (hj) Multiple defects.
Applsci 10 02633 g008
Figure 9. Velocity records of wave reflection responses for the simulated pile cases (a-j) shown in Figure 8.
Figure 9. Velocity records of wave reflection responses for the simulated pile cases (a-j) shown in Figure 8.
Applsci 10 02633 g009
Figure 10. Signal decomposition: (a) Wavelet packet transform (WPT) decomposition tree; (b) Low-frequency components of the original signal of the simulated impact echo test of case e.
Figure 10. Signal decomposition: (a) Wavelet packet transform (WPT) decomposition tree; (b) Low-frequency components of the original signal of the simulated impact echo test of case e.
Applsci 10 02633 g010
Figure 11. Amplification and WPT decomposition of the signal.
Figure 11. Amplification and WPT decomposition of the signal.
Applsci 10 02633 g011
Figure 12. Contour plot of detection ratio: (a) Method 1 (amplification method and WPT); (b) Method 2 (amplification method only).
Figure 12. Contour plot of detection ratio: (a) Method 1 (amplification method and WPT); (b) Method 2 (amplification method only).
Applsci 10 02633 g012
Figure 13. Amplified and WPT decomposed velocity signal for case c of dataset 6 (pile with low-quality concrete segment).
Figure 13. Amplified and WPT decomposed velocity signal for case c of dataset 6 (pile with low-quality concrete segment).
Applsci 10 02633 g013
Figure 14. Amplified and WPT decomposed velocity signal for case d of dataset 4 (neck defect).
Figure 14. Amplified and WPT decomposed velocity signal for case d of dataset 4 (neck defect).
Applsci 10 02633 g014
Figure 15. Amplified and WPT decomposed velocity signal for case d of dataset 5 (neck defect).
Figure 15. Amplified and WPT decomposed velocity signal for case d of dataset 5 (neck defect).
Applsci 10 02633 g015
Figure 16. Amplified and WPT decomposed velocity signal for case e of dataset 5 (bulge imperfection).
Figure 16. Amplified and WPT decomposed velocity signal for case e of dataset 5 (bulge imperfection).
Applsci 10 02633 g016
Figure 17. Amplified and WPT decomposed velocity signal for case f dataset 6 (crack).
Figure 17. Amplified and WPT decomposed velocity signal for case f dataset 6 (crack).
Applsci 10 02633 g017
Figure 18. Amplified and WPT decomposed velocity signal for case g of dataset 2 (cylindrical void).
Figure 18. Amplified and WPT decomposed velocity signal for case g of dataset 2 (cylindrical void).
Applsci 10 02633 g018
Figure 19. Comparison of detection performance between method 1 (amplification method and WPT) and method 2 (amplification method only).
Figure 19. Comparison of detection performance between method 1 (amplification method and WPT) and method 2 (amplification method only).
Applsci 10 02633 g019
Table 1. The relation between concrete quality and impact wave velocity [24], compressive strength [25], and modulus of elasticity [26].
Table 1. The relation between concrete quality and impact wave velocity [24], compressive strength [25], and modulus of elasticity [26].
Concrete QualityImpact Wave Speed in Concrete, c (m/s)Compressive Strength, f’c (MPa) Modulus   of   Elasticity ,   E = 4700 ( f c ) 0.5   ( MPa )
Excellent>4570>73.5>40,294
Good3660–457020.4–73.521,228–40,294
Not good3050–36608.6–20.413,783–21,228
Bad2130–30502.4–8.67281–13,783
Very bad<2130<2.4<7281
Table 2. Properties of the intact pile (reference pile) and bearing layer.
Table 2. Properties of the intact pile (reference pile) and bearing layer.
Property UnitDescription or Quantity
Intact pile:
Pile typeNot applicableBored pile
Pile diameter, Dm0.5
Pile length, Lm15
Elastic modulus, E1GPa38.40
Density, ρkg/m32400
Poission ratio, µDimensionless0.20
Bearing layer:
Elastic modulus, EbGPa5 GPa
Density, ρbkg/m32000
Poission ratio, µbDimensionless0.30
Table 3. Properties of defective piles in Figure 8 that were used to simulate the impact echo test by FEM.
Table 3. Properties of defective piles in Figure 8 that were used to simulate the impact echo test by FEM.
CaseLocation of Pile Defect (z1 = First Pile Defect; z2 = Second Pile Defect)Description of Pile Defect
bz1 = 0–15.0 mPoor concrete quality (E2 = 20 GPa)
cz1 = 7.0–9.0 mWeak material at a section (E2 = 20 GPa)
dz1 = 7.5–8.0 mNeck (Dn = 0.9D)
ez1 = 8.5–9.0 mBulge (Db = 1.2D)
fz1 = 7.5 mNotch (50 mm wide and 0.20 m deep)
gz1 = 9.0 mSpherical void (0.20 m in diameter)
hz1 = 4.0–6.0 mWeak material at a section (E2 = 20 GPa)
z2 = 9.5–10.0 mNeck (Dn = 0.9D)
iz1 = 3.7–5.0 mWeak material at a section (E2 = 20 GPa)
z2 = 9.5–10.0 mBulge (Db = 1.2D)
jz1 = 4.0–4.5 mNeck (Dn = 0.9D)
z2 = 10.5–11.0 mBulge (Db = 1.2D)
E2 = modulus of elasticity of poor or weaker concrete; Dn = maximum diameter of neck; Db = maximum diameter of the bulge.
Table 4. Datasets used to verify the proposed pile defect diagnostic algorithm.
Table 4. Datasets used to verify the proposed pile defect diagnostic algorithm.
CaseDataset
123456
bz1 = 7–7.25 m
E2 = 7 GPa
z1 = 7–7.25 m
E2 = 10 GPa
z1 = 7–7.25 m
E2 = 15 GPa
z1 = 7–7.25 m
E2 = 25 GPa
z1 = 7–7.25 m
E2 = 30 GPa
z1 = 7–7.25 m
E2 = 35 GPa
cz1 = 7–7.25 m
E2 = 7 GPa (25% area)
z1 = 8–8.50 m
E2 = 10 GPa (25% area)
z1 = 9–10 m
E2 = 15 GPa
(50% area)
z1 = 10–11 m
E2 = 25 GPa
(50% area)
z1 = 3–4 m
E2 = 30 GPa
(75% area)
z1 = 12–13 m
E2 = 35 GPa
(75% area)
dz1 = 7.5–8 m
Dn = 0.95D
z1 = 7.5–8 m
Dn = 0.8D
z1 = 7–9 m
Dn = 0.7D
z1 = 3–4 m
Dn = 0.9D
z1 = 6–10 m
Dn = 0.8D
z1 = 12–13 m
Dn = 0.7D
ez1 = 7.5–8 m
Db = 1.1D
z1 = 7.75–8 m
Db = 1.2D
z1 = 7–9 m
Db = 1.3D
z1 = 3–4 m
Db = 1.2D
z1 = 6–10 m
Db = 1.3D
z1 = 12–13 m
Db = 1.3D
fz1 = 12 m
notch (30 mm wide
0.20 m deep)
z1 = 3 m
notch (20 mm wide
0.10 m deep)
z1 = 10 m
notch (10 mm wide
0.20 m deep)
z1 = 8 m
crack (5 mm wide
0.10 m deep)
z1 = 12 m
crack (3 mm wide
0.20 m deep)
z1 = 3 m
crack (3 mm wide
0.20 m deep)
gz1 = 7 m
spherical void (0.10 m diameter)
z1 = 4 m cylindrical void (0.1 m dia. × 0.5 m)z1 = 6–7 m cylindrical void (0.2 m dia. × 1.0 m)z1 = 7–7.5 m elliptical void (0.5 × 0.2 m dia.)z1 = 9–10 m, elliptical void (1.0 × 0.2 m dia.)z1 = 12–12.5 m elliptical void (0.5 × 0.1 m dia.)
h1z1 = 3–3.25 m
E2 = 7 GPa
z1 = 4–4.5 m
E2 = 10 GPa
z1 = 4–5 m
E2 = 15 GPa
z1 = 5–6 m
E2 = 25 GPa
z1 = 3–3.10 m
E2 = 30 GPa
z1 = 4–5 m
E2 = 35 GPa
2z2 = 8–8.5 m
Dn = 0.95D
z2 = 8.5–9 m
Dn = 0.8D
z2 = 7–9 m
Dn = 0.7D
z2 = 10–11 m
Dn = 0.9D
z2 = 8–12 m
Dn = 0.8D
z2 = 12–13 m
Dn = 0.7D
i1z1 = 3–3.25 m
E2 = 7 GPa
z1 = 4–4.5 m
E2 = 10 GPa
z1 = 4–5 m
E2 = 15 GPa
z1 = 5–6 m
E2 = 25 GPa
z1 = 3–4 m
E2 = 30 GPa
z1 = 4–5 m
E2 = 30 GPa
2z2 = 8–8.5 m
Db = 1.1D
z2 = 8.5–9 m
Db = 1.2D
z2 = 7–9 m
Db = 1.3D
z2 = 10–11 m
Db = 1.1D
z2 = 8–12 m
Db = 1.3D
z2 = 12–13 m
Db = 1.3D
j1z1 = 4.5–5 m
Dn = 0.95D
z1 = 3–4 m
Dn = 0.8D
z1 = 4–7 m
Dn = 0.7D
z1 = 3–4 m
Dn = 0.9D
z1 = 4–8 m
Dn = 0.8D
z1 = 4–5 m
Dn = 0.7D
2z2 = 10.5–11 m
Db = 1.1D
z2 = 7.5–8 m
Db = 1.2D
z2 = 9–12 m
Db = 1.3D
z2 = 8–10 m
Db = 1.2D
z2 = 12–13 m
Db = 1.3D
z2 = 8–12 m
Db = 1.3D
Table 5. Comparison of detection ratio (1.0 = high; medium = 0.5; 0 = low) between the two methods of pile defect diagnosis.
Table 5. Comparison of detection ratio (1.0 = high; medium = 0.5; 0 = low) between the two methods of pile defect diagnosis.
Method 1: Diagnostic Result Using Amplification Method and Wavelet Packet Transform (WPT)
Case123456
b1.01.01.01.01.01.0
c1.00.50.51.01.01.0
d0.51.01.01.01.01.0
e0.51.01.01.01.01.0
f1.001.001.01.0
g01.01.01.01.01.0
h0.51.01.01.01.01.0
i0.51.00.51.01.01.0
j1.01.00.51.01.01.0
Method 2: Diagnostic Result Using Visual Inspection Scheme Based on Peaks and Amplification
Case123456
b1.01.01.01.01.01.0
c0.50.50.51.00.50
d01.00.5001.0
e00.51.00.501.0
f0.501.001.00
g000.51.01.01.0
h0.51.01.01.01.00.5
i0.51.00.51.01.00.5
j1.01.00.51.01.00.5

Share and Cite

MDPI and ACS Style

Kim, H.-J.; Mission, J.L.; Dinoy, P.R.; Kim, H.-S.; Park, T.-W. Guidelines for Impact Echo Test Signal Interpretation Based on Wavelet Packet Transform for the Detection of Pile Defects. Appl. Sci. 2020, 10, 2633. https://doi.org/10.3390/app10072633

AMA Style

Kim H-J, Mission JL, Dinoy PR, Kim H-S, Park T-W. Guidelines for Impact Echo Test Signal Interpretation Based on Wavelet Packet Transform for the Detection of Pile Defects. Applied Sciences. 2020; 10(7):2633. https://doi.org/10.3390/app10072633

Chicago/Turabian Style

Kim, Hyeong-Joo, Jose Leo Mission, Peter Rey Dinoy, Hyeong-Soo Kim, and Tae-Woong Park. 2020. "Guidelines for Impact Echo Test Signal Interpretation Based on Wavelet Packet Transform for the Detection of Pile Defects" Applied Sciences 10, no. 7: 2633. https://doi.org/10.3390/app10072633

APA Style

Kim, H.-J., Mission, J. L., Dinoy, P. R., Kim, H.-S., & Park, T.-W. (2020). Guidelines for Impact Echo Test Signal Interpretation Based on Wavelet Packet Transform for the Detection of Pile Defects. Applied Sciences, 10(7), 2633. https://doi.org/10.3390/app10072633

Note that from the first issue of 2016, this journal uses article numbers instead of page numbers. See further details here.

Article Metrics

Back to TopTop