Machine Learning Methods for Herschel–Bulkley Fluids in Annulus: Pressure Drop Predictions and Algorithm Performance Evaluation
Abstract
1. Introduction
2. Related Work
3. Methodology
3.1. Herschel–Bulkley Rheological Model
3.2. Data Mining Algorithms
3.3. Description of Experimental Data
3.4. Performance Metrics
4. Result and Discussion
4.1. Prediction and Validation
4.1.1. Predictions via Support Vector Machine (SVM)
4.1.2. Predictions via Artificial Neural Network (ANN)
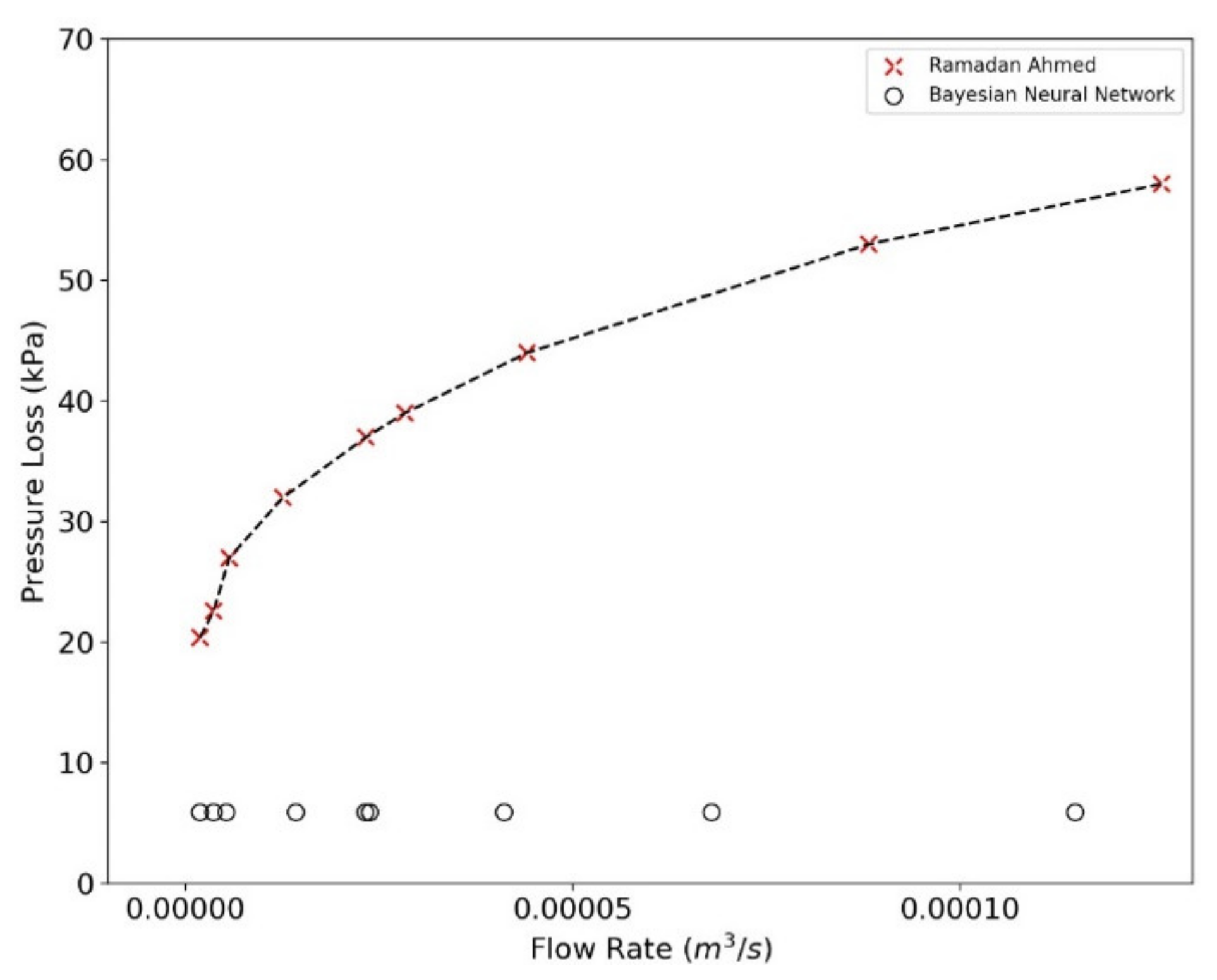
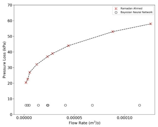
4.1.3. Predictions via Bayesian Neural Network (BNN)
4.1.4. Predictions via Random Forest (RF)
4.2. Algorithm’s Performance Evaluation
5. Conclusions
Author Contributions
Funding
Acknowledgments
Conflicts of Interest
Appendix A
Appendix A.1. Artificial Neural Network

Appendix A.2. Bayesian Neural Network


Appendix A.3. Support Vector Machine

Appendix A.4. Random Forest

Appendix B
| Fluid and Annuli | n | ||
|---|---|---|---|
| XCD1 (Annulus #3) | 4.3 | 1.29 | 0.38 |
| XCD2 (Annulus #3) | 11.3 | 1.85 | 0.35 |
| XCD3 (Annulus #3) | 14.4 | 1.56 | 0.39 |
| XCD4 (Annulus #3) | 5.1 | 1.26 | 0.36 |
| XCD-PAC1 (Annulus #3) | 7.5 | 1.07 | 0.47 |
| XCD-PAC2 (Annulus #3) | 4.8 | 4.49 | 0.35 |
| XCD-PAC3 (Annulus #1,2,4) | 0 | 0.99 | 0.48 |
| XCD5 (Annulus #1,2,4) | 6.5 | 0.64 | 0.48 |
| XCD6 (Annulus #1,2,4) | 12.6 | 1.77 | 0.38 |
| XCD7 (Annulus #1,2,4) | 6.4 | 0.81 | 0.45 |
| XCD8 (Annulus #1,2,4) | 4.9 | 0.7 | 0.45 |
| XCD-PAC4 (Annulus #1,2,4) | 1.9 | 4.28 | 0.36 |
| XCD-PAC5 (Annulus #1,2,4) | 3.5 | 3.27 | 0.39 |
| XCD-PAC6 (Annulus #1,2,4) | 0 | 1.12 | 0.49 |
| XCD9 (Annulus #1,2,4) | 8.1 | 0.9 | 0.45 |
| XCD-PAC7 (Annulus #1,2,4) | 0 | 1.4 | 0.46 |
| XCD10 (Annulus #1,2,4) | 9 | 1.01 | 0.48 |
| XCD-PAC8 (Annulus# 1,2,4) | 3.8 | 2.98 | 0.4 |
References
- Herschel, W.H.; Bulkley, R. Konsistenzmessungen von Gummi-Benzollösungen. Kolloid Z. 1926, 39, 291–300. [Google Scholar] [CrossRef]
- Hemphill, T.; Campos, W.R.; Pilehvari, A.A. Yield-Power Law Model more Accurately Predicts Mud Rheology. Oil and Gas Journal 1993, 19, 34. [Google Scholar]
- Technology Equations Determine Flow States for Yield-Pseudoplastic Drilling Fluids.|Oil & Gas Journal. Available online: https://www.ogj.com/home/article/17234529/technology-equations-determine-flow-states-for-yieldpseudoplastic-drilling-fluids (accessed on 9 March 2020).
- Rheologic and Hydraulic Parameter Integration Improves Drilling Operations.|Oil & Gas Journal. Available online: https://www.ogj.com/home/article/17230023/rheologic-and-hydraulic-parameter-integration-improves-drilling-operations (accessed on 9 March 2020).
- Maglione, R.; Robotti, G.; Romagnoli, R. In-situ rheological characterization of drilling mud. SPE J. 2000, 5, 377–386. [Google Scholar] [CrossRef]
- Bailey, W.J.; Peden, J.M. A generalized and consistent pressure drop and flow regime transition model for drilling hydraulics. In SPE Drilling and Completion; Soc Pet Eng (SPE): Englewood, CO, USA, 2000; Volume 15, pp. 44–56. [Google Scholar]
- Becker, T.E.; Morgan, R.G.; Chin, W.C.; Griffith, J.E. Improved rheology model and hydraulics analysis for tomorrow’s Wellbore Fluid Applications. In Proceedings of the SPE Production and Operations Symposium, Oklahoma City, OK, USA, 23–26 March 2003. [Google Scholar]
- Kelessidis, V.C.; Tsamantaki, C.; Dalamarinis, P. Effect of pH and electrolyte on the rheology of aqueous Wyoming bentonite dispersions. Appl. Clay Sci. 2007, 38, 86–96. [Google Scholar] [CrossRef]
- AADE-05-NTCE-27 Comparing a Basic Set of Drilling Fluid Pressure-Loss Relationships to Flow-Loop and Field Data. Available online: https://www.aade.org/application/files/1915/7304/0408/AADE-05-NTCE-27_Zamora.pdf (accessed on 9 March 2020).
- Fredrickson, A.; Bird, R.B. Non-newtonian flow in annuli. Ind. Eng. Chem. 1958, 50, 347–352. [Google Scholar] [CrossRef]
- Hanks, R.W. The axial laminar flow of yield-pseudoplastic fluids in a concentric annulus. Ind. Eng. Chem. Process Des. Dev. 1979, 18, 488–493. [Google Scholar] [CrossRef]
- Buchtelová, M. Comments on “The Axial Laminar Flow of Yield-Pseudoplastic Fluids in a Concentric Annulus. ” Ind. Eng. Chem. Res. 1988, 27, 1557–1558. [Google Scholar] [CrossRef]
- Heywood, N.I.; Cheng, D.C.H. Comparison of methods for predicting head loss in turbulent pipe flow of non-newtonian fluids. Meas. Control 1984, 6, 33–45. [Google Scholar] [CrossRef]
- Gücüyener, I.H.; Mehmetoǧlu, T. Characterization of flow regime in concentric annuli and pipes for yield-pseudoplastic fluids. J. Pet. Sci. Eng. 1996, 16, 45–60. [Google Scholar] [CrossRef]
- Reed, T.D.; Pilehvari, A.A. A new model for laminar, transitional, and turbulent flow of drilling muds. In Proceedings of the SPE Production Operations Symposium, Oklahoma City, Oklahoma, 21–23 March 1993. [Google Scholar]
- Non-Newtonian Fluid Flow in Eccentric Annuli and Its Application to Petroleum Engineering Problems. Available online: https://digitalcommons.lsu.edu/cgi/viewcontent.cgi?referer=&httpsredir=1&article=5847&context=gradschool_disstheses (accessed on 9 March 2020).
- Haciislamoglu, M.; Langlinais, J. Non-newtonian flow in eccentric annuli. J. Energy Resour. Technol. Trans. ASME 1990, 112, 163–169. [Google Scholar] [CrossRef]
- Kelessidis, V.C.; Dalamarinis, P.; Maglione, R. Experimental study and predictions of pressure losses of fluids modeled as Herschel-Bulkley in concentric and eccentric annuli in laminar, transitional and turbulent flows. J. Pet. Sci. Eng. 2011, 77, 305–312. [Google Scholar] [CrossRef]
- Ahmed, R. Experimental Study and Modeling of Yield Power-Law Fluid Flow in Pipes and Annuli. Available online: https://edx.netl.doe.gov/dataset/experimental-study-and-modeling-of-yield-power-law-fluid-flow-in-pipes-and-annuli/resource_download/131420e2-5b16-4e4b-9ceb-74b73f9393b1 (accessed on 9 March 2020).
- Kozicki, W.; Chou, C.H.; Tiu, C. Non-newtonian flow in ducts of arbitrary cross-sectional shape. Chem. Eng. Sci. 1966, 21, 665–679. [Google Scholar] [CrossRef]
- Luo, Y.; Peden, M. Flow of Non·Newtonian Fluids Through Eccentric Annuli; Society of Petroleum Engineers: Englewood, CO, USA, 1990. [Google Scholar]
- Vajargah, A.K.; Fard, F.N.; Parsi, M.; Hoxha, B.B. Investigating the impact of the “tool joint effect” on equivalent circulating density in deep-water wells. In Proceedings of the Society of Petroleum Engineers—SPE Deepwater Drilling and Completions Conference, Galveston, TX, USA, 10–11 September 2014; pp. 341–352. [Google Scholar]
- CFD Method for Predicting Annular Pressure Losses and Cuttings Concentration in Eccentric Horizontal Wells. Available online: https://www.hindawi.com/journals/jpe/2014/486423/ (accessed on 9 March 2020).
- Kelessidis, V.C.; Maglione, R.; Tsamantaki, C.; Aspirtakis, Y. Optimal determination of rheological parameters for Herschel-Bulkley drilling fluids and impact on pressure drop, velocity profiles and penetration rates during drilling. J. Pet. Sci. Eng. 2006, 53, 203–224. [Google Scholar] [CrossRef]
- Founargiotakis, K.; Kelessidis, V.C.; Maglione, R. Laminar, transitional and turbulent flow of Herschel-Bulkley fluids in concentric annulus. Can. J. Chem. Eng. 2008, 86, 676–683. [Google Scholar] [CrossRef]
- Sorgun, M.; Ozbayoglu, M.E.; Aydin, I. Modeling and experimental study of newtonian fluid flow in annulus. J. Energy Resour. Technol. Trans. ASME 2010, 132. [Google Scholar] [CrossRef]
- Ahmed, R.M.; Miska, S.; Miska, W. Friction pressure loss determination of yield power law fluid in eccentric annular laminar flow. In Proceedings of the Wiertnictwo Nafta Gaz, Krakow, Poland, 23 January 2006; Volume 23, pp. 47–53. [Google Scholar]
- Ogugbue, C.C.; Shah, S.N. Friction pressure correlations for oilfield polymeric solutions in eccentric annulus. In Proceedings of the International Conference on Offshore Mechanics and Arctic Engineering—OMAE, Honolulu, HI, USA, 31 May–5 June 2009; Volume 7, pp. 583–592. [Google Scholar]
- Mokhtari, M.; Ermila, M.; Tutuncu, A.N. Accurate Bottomhole Pressure for Fracture Gradient Prediction and Drilling Fluid Pressure Program—Part I; American Rock Mechanics Association: Woodland Terrance, VA, USA, 2012. [Google Scholar]
- Karimi Vajargah, A.; Van Oort, E. Determination of drilling fluid rheology under downhole conditions by using real-time distributed pressure data. J. Nat. Gas Sci. Eng. 2015, 24, 400–411. [Google Scholar] [CrossRef]
- Erge, O.; Karimi Vajargah, A.; Ozbayoglu, M.E.; Van Oort, E. Frictional pressure loss of drilling fluids in a fully eccentric annulus. J. Nat. Gas Sci. Eng. 2015, 26, 1119–1129. [Google Scholar] [CrossRef]
- A Novel Hybrid Bat Algorithm with Harmony Search for Global Numerical Optimization. Available online: https://www.hindawi.com/journals/jam/2013/696491/ (accessed on 9 March 2020).
- La Fe-Perdomo, I.; Beruvides, G.; Quiza, R.; Haber, R.; Rivas, M. Automatic selection of optimal parameters based on simple soft-computing methods: A case study of micromilling processes. IEEE Trans. Ind. Inform. 2019, 15, 800–811. [Google Scholar] [CrossRef]
- Osman, E.A.; Aggour, M.A. Determination of drilling mud density change with pressure and temperature made simple and accurate by ANN. In Proceedings of the Middle East Oil Show, Bahrain, 9–12 June 2003. Society of Petroleum Engineers. [Google Scholar]
- Jeirani, Z.; Mohebbi, A. Artificial neural networks approach for estimating filtration properties of drilling fluids. J. Jpn. Pet. Inst. 2006, 49, 65–70. [Google Scholar] [CrossRef]
- Siruvuri, C.; Nagarakanti, S.; Samuel, R. Stuck pipe prediction and avoidance: A convolutional neural network approach. In Proceedings of the IADC/SPE Drilling Conference, Miami, FL, USA, 21–23 February 2006. Society of Petroleum Engineers. [Google Scholar]
- Miri, R.; Sampaio, J.H.B.; Afshar, M.; Lourenco, A. Development of artificial neural networks to predict differential pipe sticking in iranian offshore oil fields. In Proceedings of the International Oil Conference and Exhibition in Mexico, Cancun, Mexico, 31 August–2 September 2006. Society of Petroleum Engineers. [Google Scholar]
- Murillo, A.; Neuman, J.; Samuel, R. Pipe sticking prediction and avoidance using adaptive fuzzy logic and neural network modeling. In Proceedings of the SPE Production and Operations Symposium, Oklahoma City, Oklahoma, 4–8 April 2009; Society of Petroleum Engineers. pp. 244–258. [Google Scholar]
- Abdulmalek Ahmed, S.; Elkatatny, S.; Abdulraheem, A.; Mahmoud, M.; Ali, A.Z. Prediction of rate of penetration of deep and tight formation using support vector machine. In Proceedings of the Society of Petroleum Engineers—SPE Kingdom of Saudi Arabia Annual Technical Symposium and Exhibition 2018, SATS 2018, Dammam, Saudi Arabia, 23–26 April 2018. Society of Petroleum Engineers. [Google Scholar]
- Elkatatny, S. Real-time prediction of rheological parameters of KCl water-based drilling fluid using artificial neural networks. Arab. J. Sci. Eng. 2017, 42, 1655–1665. [Google Scholar] [CrossRef]
- Ozbayoglu, E.M.; Miska, S.Z.; Reed, T.; Takach, N. Analysis of Bed Height in Horizontal and Highly-Inclined Wellbores by Using Artificial Neuraletworks; Society of Petroleum Engineers (SPE): Englewood, CO, USA, 2002. [Google Scholar]
- Rooki, R. Estimation of pressure loss of herschel–bulkley drilling fluids during horizontal annulus using artificial neural network. J. Dispers. Sci. Technol. 2015, 36, 161–169. [Google Scholar] [CrossRef]
- Rooki, R. Application of general regression neural network (GRNN) for indirect measuring pressure loss of Herschel-Bulkley drilling fluids in oil drilling. Meas. J. Int. Meas. Confed. 2016, 85, 184–191. [Google Scholar] [CrossRef]
- Rooki, R.; Rakhshkhorshid, M. Cuttings transport modeling in underbalanced oil drilling operation using radial basis neural network. Egypt. J. Pet. 2017, 26, 541–546. [Google Scholar] [CrossRef]
- Ahmadi, M.A.; Shadizadeh, S.R.; Shah, K.; Bahadori, A. An accurate model to predict drilling fluid density at wellbore conditions. Egypt. J. Pet. 2018, 27, 1–10. [Google Scholar] [CrossRef]
- Lu, Y.; Chen, M.; Jin, Y.; Hou, B.; Jia, L.; Hui, H. Identification of leak zone pre-drilling based on fuzzy control. In Proceedings of the PEAM 2011—Proceedings: 2011 IEEE Power Engineering and Automation Conference, Wuhan, China, 8–9 September 2011; Volume 3, pp. 353–356. [Google Scholar]
- Chhantyal, K.; Viumdal, H.; Mylvaganam, S. Ultrasonic level scanning for monitoring mass flow of complex fluids in open channels—A novel sensor fusion approach using AI techniques. In Proceedings of the Proceedings of IEEE Sensors, Glasgow, UK, 29 October–1 November 2017; pp. 1–3. [Google Scholar]
- Chhantyal, K.; Viumdal, H.; Mylvaganam, S. Soft sensing of non-newtonian fluid flow in open venturi channel using an array of ultrasonic level sensors—AI models and their validations. Sensors (Switzerland) 2017, 17, 2458. [Google Scholar] [CrossRef]
- Skalle, P.; Sveen, J.; Aamodt, A. Improved efficiency of oil well drilling through case based reasoning. In Proceedings of the Lecture Notes in Computer Science (including subseries Lecture Notes in Artificial Intelligence and Lecture Notes in Bioinformatics); Springer: Berlin/Heidelberg, Germany, 2000; Volume 1886 LNAI, pp. 712–722. [Google Scholar]
- Al-Azani, K.; Elkatatny, S.; Abdulraheem, A.; Mahmoud, M.; Ali, A. Prediction of cutting concentration in horizontal and deviated wells using support vector machine. In Proceedings of the Society of Petroleum Engineers—SPE Kingdom of Saudi Arabia Annual Technical Symposium and Exhibition 2018, SATS 2018, Dammam, Saudi Arabia, 23–26 April 2018. Society of Petroleum Engineers. [Google Scholar]
- Sameni, A.; Chamkalani, A. The application of least square support vector machine as a mathematical algorithm for diagnosing drilling effectivity in shaly formations. J. Pet. Sci. Technol. 2018, 8, 3–15. [Google Scholar]
- Kankar, P.K.; Sharma, S.C.; Harsha, S.P. Fault diagnosis of ball bearings using machine learning methods. Expert Syst. Appl. 2011, 38, 1876–1886. [Google Scholar] [CrossRef]
- Guo, X.; Chen, L.; Shen, C. Hierarchical adaptive deep convolution neural network and its application to bearing fault diagnosis. Meas. J. Int. Meas. Confed. 2016, 93, 490–502. [Google Scholar] [CrossRef]
- Wen, L.; Li, X.; Gao, L.; Zhang, Y. A new convolutional neural network-based data-driven fault diagnosis method. IEEE Trans. Ind. Electron. 2018, 65, 5990–5998. [Google Scholar] [CrossRef]
- Castaño, F.; Beruvides, G.; Haber, R.E.; Artuñedo, A. Obstacle recognition based on machine learning for on-chip LiDAR sensors in a cyber-physical system. Sensors 2017, 17, 2109. [Google Scholar] [CrossRef]
- Wolpert, D.H.; Macready, W.G. No free lunch theorems for optimization. IEEE Trans. Evol. Comput. 1997, 1, 67–82. [Google Scholar] [CrossRef]
- Bingham, E.C. Fluidity and Plasticity, 2nd ed.; McGraw-Hill: New York, NY, USA, 1922. [Google Scholar]
- Govier, G.W.; George, W.; Aziz, K. The Flow of Complex Mixtures in Pipes, 2nd ed.; Society of Petroleum Engineers: Richardson, TX, USA, 2008; ISBN 9781555631390. [Google Scholar]
- Bourgoyne, A.T. Applied Drilling Engineering; Society of Petroleum Engineers: Englewood, CO, USA, 1986; ISBN 9781555630010. [Google Scholar]
- Castaño, F.; Strzełczak, S.; Villalonga, A.; Haber, R.E.; Kossakowska, J. Sensor reliability in cyber-physical systems using internet-of-things data: A review and case study. Remote Sens. 2019, 11, 2252. [Google Scholar] [CrossRef]
- Ding, Y.; Xiao, X.; Huang, X.; Sun, J. System identification and a model-based control strategy of motor driven system with high order flexible manipulator. Ind. Robot 2019, 46, 672–681. [Google Scholar] [CrossRef]
- Matía, F.; Jiménez, V.; Alvarado, B.P.; Haber, R. The fuzzy Kalman filter: Improving its implementation by reformulating uncertainty representation. Fuzzy Sets Syst. 2019. [Google Scholar] [CrossRef]
- Abbas, A.K.; Al-haideri, N.A.; Bashikh, A.A. Implementing artificial neural networks and support vector machines to predict lost circulation. Egypt. J. Pet. 2019, 28, 339–347. [Google Scholar] [CrossRef]
- Adaptive MCMC with Bayesian Optimization. 2010. Available online: http://proceedings.mlr.press/v22/mahendran12/mahendran12.pdf (accessed on 9 March 2020).
- Hutter, F.; Hoos, H.H.; Leyton-Brown, K. Sequential model-based optimization for general algorithm configuration. In Proceedings of the Lecture Notes in Computer Science (Including Subseries Lecture Notes in Artificial Intelligence and Lecture Notes in Bioinformatics); Springer: Berlin/Heidelberg, Germany, 2011; Volume 6683 LNCS, pp. 507–523. [Google Scholar]
- Practical Bayesian Optimization of Machine Learning Algorithms. Available online: https://papers.nips.cc/paper/4522-practical-bayesian-optimization-of-machine-learning-algorithms.pdf (accessed on 9 March 2020).



















| Annulus #1 | Annulus #2 | Annulus #3 | Annulus #4 | |
|---|---|---|---|---|
| Pipe Diameter [m] | 0.009652 | 0.0127 | 0.017272 | 0.016002 |
| Hole Diameter [m] | 0.035052 | 0.035052 | 0.035052 | 0.020828 |
| Di/Do | 0.27 | 0.36 | 0.49 | 0.76 |
| Input Parameters | Dimension |
|---|---|
| Ratio of Diameter (Di/Do) | unitless |
| Flow Behavior Index (n) | unitless |
| Eccentricity of Annulus (e) | unitless |
| Consistency Index (k) | |
| Yield Stress () | |
| Flow Rate (Q) |
| Parameters | Maximum | Minimum |
|---|---|---|
| (Di/Do) (―) | 0.76 | 0.27 |
| e (―) | 1 | 0 |
| n (―) | 0.49 | 0.35 |
| K () | 4.49 | 0.64 |
| (Pa) | 14.4 | 0 |
| Q () | ||
| ΔP () | 381.23 | 0.196 |
| ANN | SVM | RF | BNN | |||||
|---|---|---|---|---|---|---|---|---|
| Train | Test | Train | Test | Train | Test | Train | Test | |
| R2 | 0.915 | 0.904 | 0.925 | 0.83 | 0.99 | 0.986 | 0.99 | 0.989 |
| RMSE | 17.8 kPa | 21.36 kPa | 21.92 kPa | 22 kPa | 4.7 kPa | 9.09 kPa | 5.3 kPa | 8.38 kPa |
| MAE | 10.7% | 12.34% | 17.92% | 18.34% | 1.74% | 3.4% | 2.85% | 3.7% |
© 2020 by the authors. Licensee MDPI, Basel, Switzerland. This article is an open access article distributed under the terms and conditions of the Creative Commons Attribution (CC BY) license (http://creativecommons.org/licenses/by/4.0/).
Share and Cite
Kumar, A.; Ridha, S.; Ganet, T.; Vasant, P.; Ilyas, S.U. Machine Learning Methods for Herschel–Bulkley Fluids in Annulus: Pressure Drop Predictions and Algorithm Performance Evaluation. Appl. Sci. 2020, 10, 2588. https://doi.org/10.3390/app10072588
Kumar A, Ridha S, Ganet T, Vasant P, Ilyas SU. Machine Learning Methods for Herschel–Bulkley Fluids in Annulus: Pressure Drop Predictions and Algorithm Performance Evaluation. Applied Sciences. 2020; 10(7):2588. https://doi.org/10.3390/app10072588
Chicago/Turabian StyleKumar, Abhishek, Syahrir Ridha, Tarek Ganet, Pandian Vasant, and Suhaib Umer Ilyas. 2020. "Machine Learning Methods for Herschel–Bulkley Fluids in Annulus: Pressure Drop Predictions and Algorithm Performance Evaluation" Applied Sciences 10, no. 7: 2588. https://doi.org/10.3390/app10072588
APA StyleKumar, A., Ridha, S., Ganet, T., Vasant, P., & Ilyas, S. U. (2020). Machine Learning Methods for Herschel–Bulkley Fluids in Annulus: Pressure Drop Predictions and Algorithm Performance Evaluation. Applied Sciences, 10(7), 2588. https://doi.org/10.3390/app10072588

