Imaging Differential Mercury Species Bioaccumulation in Glass Eels Using Isotopic Tracers and Laser Ablation Inductively Coupled Plasma Mass Spectrometry
Abstract
1. Introduction
2. Materials and Methods
2.1. Reagents
2.2. Glass Eels Sampling and Conditioning
2.3. Exposure Conditions
2.4. Mercury Speciation Analysis
2.5. Sample Preparation for LA-ICPMS
2.6. Laser Ablation ICPMS
2.7. Data Handling Treatment
3. Results and Discussion
3.1. Endogenous Hg Concentration and Localization
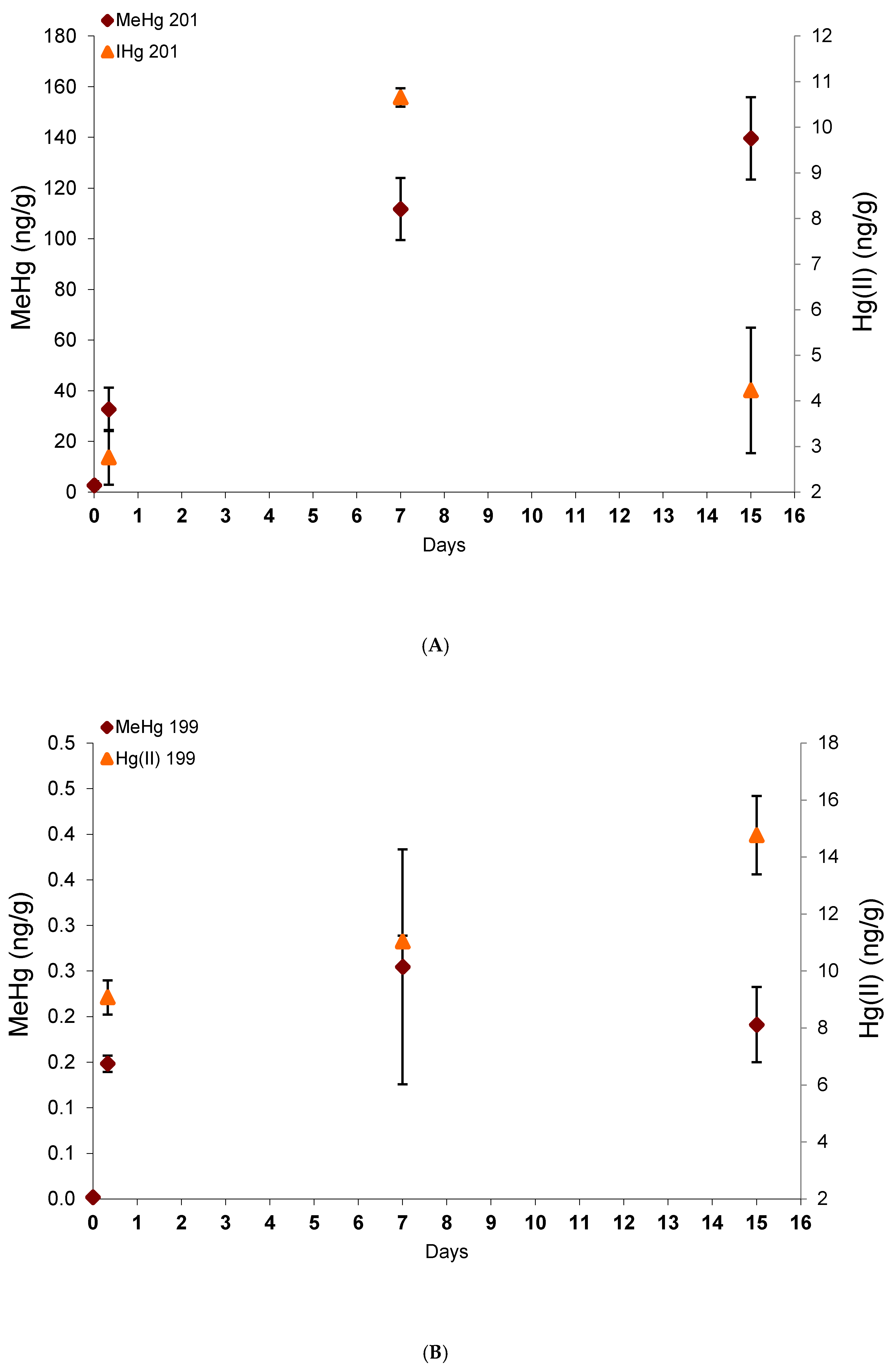
3.2. Me201Hg and 199Hg(II) Concentrations
3.3. Hg Species Localization and Redistribution
3.4. Implications for Future
Author Contributions
Funding
Acknowledgments
Conflicts of Interest
References
- Beckers, F.; Rinklebe, J. Cycling of mercury in the environment: Sources, fate, and human health implications: A review. Crit. Rev. Environ. Sci. Technol. 2017, 47, 693–794. [Google Scholar] [CrossRef]
- Bridges, C.C.; Zalups, R.K. Mechanisms involved in the transport of mercuric ions in target tissues. Arch. Toxicol. 2016, 91, 63–81. [Google Scholar] [CrossRef] [PubMed]
- Ribeiro, C.A.D.O.; Belger, L.; Pelletier, E.; Rouleau, C. Histopathological evidence of inorganic mercury and methyl mercury toxicity in the arctic charr (Salvelinus alpinus). Environ. Res. 2002, 90, 217–225. [Google Scholar] [CrossRef]
- Gentès, S.; Monperrus, M.; Legeay, A.; Maury-Brachet, R.; Davail, S.; André, J.-M.; Guyoneaud, R. Incidence of invasive macrophytes on methylmercury budget in temperate lakes: Central role of bacterial periphytic communities. Environ. Pollut. 2013, 172, 116–123. [Google Scholar] [CrossRef] [PubMed]
- Maulvault, A.; Custodio, A.; Anacleto, P.; Repolho, T.; Pousão, P.; Nunes, M.; Diniz, M.; Rosa, R.; Marques, A. Bioaccumulation and elimination of mercury in juvenile seabass (Dicentrarchus labrax) in a warmer environment. Environ. Res. 2016, 149, 77–85. [Google Scholar] [CrossRef] [PubMed]
- Ribeiro, C.A.D.O.; Rouleau, C.; Pelletier, E.; Audet, C.; Tjälve, H. Distribution Kinetics of Dietary Methylmercury in the Arctic Charr (Salvelinus alpinus). Environ. Sci. Technol. 1999, 33, 902–907. [Google Scholar] [CrossRef]
- Korbas, M.; Krone, P.H.; Pickering, I.J.; George, G.N. Dynamic accumulation and redistribution of methylmercury in the lens of developing zebrafish embryos and larvae. JBIC J. Boil. Inorg. Chem. 2010, 15, 1137–1145. [Google Scholar] [CrossRef]
- Korbas, M.; Macdonald, T.C.; Pickering, I.J.; George, G.N.; Krone, P.H. Chemical Form Matters: Differential Accumulation of Mercury Following Inorganic and Organic Mercury Exposures in Zebrafish Larvae. ACS Chem. Boil. 2011, 7, 411–420. [Google Scholar] [CrossRef]
- Polak-Juszczak, L. Distribution of organic and inorganic mercury in the tissues and organs of fish from the southern Baltic Sea. Environ. Sci. Pollut. Res. 2018, 25, 34181–34189. [Google Scholar] [CrossRef]
- Peng, X.; Liu, F.; Wang, W.-X. Organ-specific accumulation, transportation and elimination of methylmercury and inorganic mercury in a low Hg accumulating fish. Environ. Toxicol. Chem. 2016, 35, 2074–2083. [Google Scholar] [CrossRef]
- Becker, J.S.; Matusch, A.; Wu, B. Bioimaging mass spectrometry of trace elements – recent advance and applications of LA-ICP-MS: A review. Anal. Chim. Acta 2014, 835, 1–18. [Google Scholar] [CrossRef] [PubMed]
- Flórez, M.R.; Aramendía, M.; Resano, M.; Lapeña, A.C.; Balcaen, L.; Vanhaecke, F. Isotope ratio mapping by means of laser ablation-single collector-ICP-mass spectrometry: Zn tracer studies in thin sections of Daphnia magna. J. Anal. At. Spectrom. 2013, 28, 1005–1015. [Google Scholar] [CrossRef]
- Lobo, L.; Pereiro, R.; Fernández, B. Opportunities and challenges of isotopic analysis by laser ablation ICP-MS in biological studies. TrAC Trends Anal. Chem. 2018, 105, 380–390. [Google Scholar] [CrossRef]
- Claveau, J.; Monperrus, M.; Jarry, M.; Baudrimont, M.; Gonzalez, P.; Cavalheiro, J.; Mesmer-Dudons, N.; Bolliet, V. Methylmercury effects on migratory behaviour in glass eels (Anguilla anguilla): An experimental study using isotopic tracers. Comp. Biochem. Physiol. Part C Toxicol. Pharmacol. 2015, 171, 15–27. [Google Scholar] [CrossRef]
- Arleny, I.; Tabouret, H.; González, O.C.; Bareille, G.; Donard, O.F.; Amouroux, D. Methylmercury bioconcentration in muscle tissue of the European eel (Anguilla anguilla) from the Adour estuary (Bay of Biscay, France). Mar. Pollut. Bull. 2007, 54, 1031–1036. [Google Scholar] [CrossRef][Green Version]
- Navarro, P.; Clémens, S.; Perrot, V.; Bolliet, V.; Tabouret, H.; Guérin, T.; Amouroux, D. Simultaneous determination of mercury and butyltin species using a multiple species-specific isotope dilution methodology on the European, Anguilla anguilla glass eel and yellow eel. Int. J. Environ. Anal. Chem. 2013, 93, 166–182. [Google Scholar] [CrossRef]
- González, O.C.; Bouchet, S.; Monperrus, M.; Tessier, E.; Amouroux, D. In situ experiments for element species-specific environmental reactivity of tin and mercury compounds using isotopic tracers and multiple linear regression. Environ. Sci. Pollut. Res. 2012, 20, 1269–1280. [Google Scholar] [CrossRef]
- Claverie, F.; Fernández, B.; Pécheyran, C.; Alexis, J.; Donard, O.F.X. Elemental fractionation effects in high repetition rate IR femtosecond laser ablation ICP-MS analysis of glasses. J. Anal. At. Spectrom. 2009, 24, 891–902. [Google Scholar] [CrossRef]
- Tabouret, H.; Bareille, G.; Claverie, F.; Pécheyran, C.; Prouzet, P.; Donard, O.F. Simultaneous use of strontium:calcium and barium:calcium ratios in otoliths as markers of habitat: Application to the European eel (Anguilla anguilla) in the Adour basin, South West France. Mar. Environ. Res. 2010, 70, 35–45. [Google Scholar] [CrossRef]
- Tsui, M.T.K.; Wang, W.-X. Uptake and Elimination Routes of Inorganic Mercury and Methylmercury inDaphnia magna. Environ. Sci. Technol. 2004, 38, 808–816. [Google Scholar] [CrossRef]
- Lopes, C.; Vale, C.; Canário, J.; Branco, V.; Moura, I. Relations between mercury, methyl-mercury and selenium in tissues of Octopus vulgaris from the Portuguese Coast. Environ. Pollut. 2010, 158, 2094–2100. [Google Scholar]
- Bridges, C.C.; Zalups, R.K. Transport of inorganic mercury and methylmercury in target tissues and organs. J. Toxicol. Environ. Health Part B 2010, 13, 385–410. [Google Scholar] [CrossRef] [PubMed]
- Pereira, P.; Lopes, C.; Barata, M.; Araújo, O.; Canário, J.; Almeida, A.; Pacheco, M.; Pousão-Ferreira, P. A new page on the road book of inorganic mercury in fish body—Tissue distribution and elimination following waterborne exposure and post-exposure periods. Metallomics 2015, 7, 525–535. [Google Scholar] [CrossRef] [PubMed]
- Macdonald, T.; Sylvain, N.J.; James, A.K.; Pickering, I.J.; Krone, P.H.; George, G.N. Effects of Inorganic Mercury on the Olfactory Pits of Zebrafish Larvae. Metallomics 2016, 8, 514–517. [Google Scholar] [CrossRef] [PubMed]
- Mela, M.; Neto, F.F.; Yamamoto, F.; Almeida, R.D.A.D.; Grötzner, S.R.; Ventura, D.; Ribeiro, C.A.D.O. Mercury distribution in target organs and biochemical responses after subchronic and trophic exposure to Neotropical fish Hoplias malabaricus. Fish Physiol. Biochem. 2013, 40, 245–256. [Google Scholar] [CrossRef]
- Harris, H.H. The Chemical Form of Mercury in Fish. Science 2003, 301, 1203. [Google Scholar] [CrossRef]
- Ribeyre, F.; Boudou, A. Etude expérimentale des processus de décontamination chez Salmo gairdneri, après contamination par voie directe avec deux dérivés du mercure (HgCl2 et CH3HgCl)—Analyse des transferts aux niveaux ‘organisme’ et ‘organes’. Environ. Pollut. Ser. A Ecol. Boil. 1984, 35, 203–228. [Google Scholar] [CrossRef]
- Pereira, P.; Lopes, C.; Araújo, O.; Canário, J.; Almeida, A.; Pacheco, M. Fish eyes and brain as primary targets for mercury accumulation—A new insight on environmental risk assessment. Sci. Total. Environ. 2014, 494, 290–298. [Google Scholar] [CrossRef]



| Laser Ablation Conditions | |
| Laser Ablation System | ALFAMET (Nexeya) fitted with an HP1 fs laser source (Amplitude Système) |
| Wavelength | 1030 nm |
| Pulse duration | 400 fs |
| Repetition rate | 300 Hz |
| Energy | 3 μJ |
| Spot diameter (Airy 1/e2) | 10 µm |
| Scan speed (y axis) | 2 mm s-1 |
| Stage speed (x axis) | 50 µm s-1 |
| Space between lines | 50 µm |
| Transport gas | He, 1 L min-1 |
| ICPMS: DRC2, Perkin Elmer | |
| RF power | 1200 W |
| Ar plasma/auxiliary flow rates | 15.0/0.9 L min-1 |
| Dwell time per acquisition point | 100 ms |
| Number of sweeps | 100 |
| Isotopes monitored | 198Hg+,199Hg+, 200Hg+, 201Hg+, 202Hg+ |
© 2020 by the authors. Licensee MDPI, Basel, Switzerland. This article is an open access article distributed under the terms and conditions of the Creative Commons Attribution (CC BY) license (http://creativecommons.org/licenses/by/4.0/).
Share and Cite
Monperrus, M.; Pécheyran, C.; Bolliet, V. Imaging Differential Mercury Species Bioaccumulation in Glass Eels Using Isotopic Tracers and Laser Ablation Inductively Coupled Plasma Mass Spectrometry. Appl. Sci. 2020, 10, 2463. https://doi.org/10.3390/app10072463
Monperrus M, Pécheyran C, Bolliet V. Imaging Differential Mercury Species Bioaccumulation in Glass Eels Using Isotopic Tracers and Laser Ablation Inductively Coupled Plasma Mass Spectrometry. Applied Sciences. 2020; 10(7):2463. https://doi.org/10.3390/app10072463
Chicago/Turabian StyleMonperrus, Mathilde, Christophe Pécheyran, and Valérie Bolliet. 2020. "Imaging Differential Mercury Species Bioaccumulation in Glass Eels Using Isotopic Tracers and Laser Ablation Inductively Coupled Plasma Mass Spectrometry" Applied Sciences 10, no. 7: 2463. https://doi.org/10.3390/app10072463
APA StyleMonperrus, M., Pécheyran, C., & Bolliet, V. (2020). Imaging Differential Mercury Species Bioaccumulation in Glass Eels Using Isotopic Tracers and Laser Ablation Inductively Coupled Plasma Mass Spectrometry. Applied Sciences, 10(7), 2463. https://doi.org/10.3390/app10072463
