RETRACTED: Efficient Modulation Scheme for Intermediate Relay-Aided IoT Networks
Abstract
1. Introduction
1.1. Related Works
1.2. Motivation and Contribution
1.3. Organization
2. System Model
3. Proposed Solution
3.1. Proposed BER Minimization Solution
3.2. A Heuristic Modulation Diversity Scheme
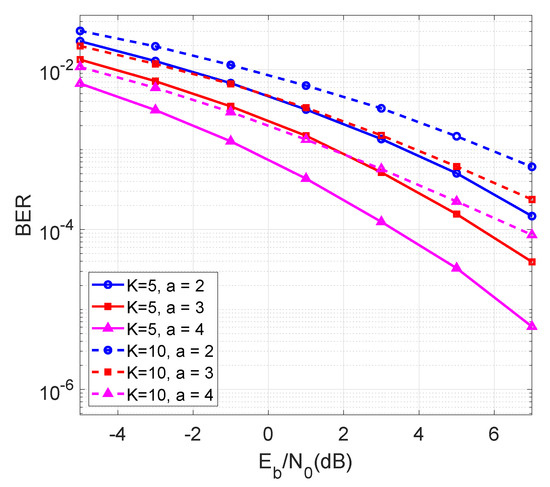
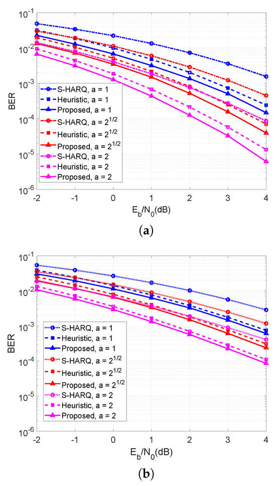
4. Numerical Results
5. Conclusions
Author Contributions
Funding
Acknowledgments
Conflicts of Interest
Abbreviations
| DF | Decode-and-forward |
| IoT | Internet-of-Things |
| UAV | Unmanned aerial vehicle |
| BER | Bit error rate |
| HARQ | Hybrid automatic repeat request |
| MISO | Multiple-input single-output |
| CSI | Channel state information |
| ML | Maximum likelihood |
| PEP | Pair-wise error probability |
| CDF | Cumulative distribution function |
| MGF | Moment generating function |
| LOS | Line-of-sight |
| MBS | Most significant bits |
| LBS | Least significant bits |
References
- Wen, M.; Zheng, B.; Kim, K.J.; Di Renzo, M.; Tsiftsis, T.A.; Chen, K.C.; Al-Dhahir, N. A survey on spatial modulation in emerging wireless systems: Research progresses and applications. IEEE J. Sel. Areas Commun. 2019, 37, 1949–1972. [Google Scholar] [CrossRef]
- Jameel, F.; Duan, R.; Chang, Z.; Liljemark, A.; Ristaniemi, T.; Jantti, R. Applications of Backscatter Communications for Healthcare Networks. IEEE Netw. 2019, 33, 50–57. [Google Scholar] [CrossRef]
- Shahjehan, W.; Riaz, A.; Khan, I.; Sadiq, A.S.; Khan, S.; Khan, M.K. Bat algorithm–based beamforming for mmWave massive MIMO systems. Int. J. Commun. Syst. 2020, 33, e4182. [Google Scholar] [CrossRef]
- Shahjehan, W.; Shah, S.W.; Lloret, J.; Bosch, I. A Novel Codeword Selection Scheme for MIMO-MAC Lower-Bound Maximization. Entropy 2018, 20, 546. [Google Scholar] [CrossRef]
- Jameel, F.; Ristaniemi, T.; Khan, I.; Lee, B.M. Simultaneous harvest-and-transmit ambient backscatter communications under Rayleigh fading. EURASIP J. Wirel. Commun. Netw. 2019, 2019, 166. [Google Scholar] [CrossRef]
- Awais, M.; Raza, M.; Ali, K.; Ali, Z.; Irfan, M.; Chughtai, O.; Khan, I.; Kim, S.; Ur Rehman, M. An Internet of Things based bed-egress alerting paradigm using wearable sensors in elderly care environment. Sensors 2019, 19, 2498. [Google Scholar] [CrossRef] [PubMed]
- Saraereh, O.A.; Ali, A.; Khan, I.; Rabie, K. Interference Analysis for Vehicle-to-Vehicle Communications at 28 GHz. Electronics 2020, 9, 262. [Google Scholar] [CrossRef]
- Saraereh, O.A.; Alsaraira, A.; Khan, I.; Choi, B.J. A Hybrid Energy Harvesting Design for On-Body Internet-of-Things (IoT) Networks. Sensors 2020, 20, 407. [Google Scholar] [CrossRef]
- Ma, D.; Lan, G.; Hassan, M.; Hu, W.; Das, S.K. Sensing, Computing, and Communications for Energy Harvesting IoTs: A Survey. IEEE Commun. Surv. Tutor. 2019. [Google Scholar] [CrossRef]
- Chakareski, J. UAV-IoT for next generation virtual reality. IEEE Trans. Image Process. 2019, 28, 5977–5990. [Google Scholar] [CrossRef]
- Saraereh, O.A.; Khan, I.; Lee, B.M. An efficient neighbor discovery scheme for mobile WSN. IEEE Access 2018, 7, 4843–4855. [Google Scholar] [CrossRef]
- Saraereh, O.A.; Alsaraira, A.; Khan, I.; Uthansakul, P. An Efficient Resource Allocation Algorithm for OFDM-Based NOMA in 5G Systems. Electronics 2019, 8, 1399. [Google Scholar] [CrossRef]
- Jameel, F.; Wyne, S.; Krikidis, I. Secrecy outage for wireless sensor networks. IEEE Commun. Lett. 2017, 21, 1565–1568. [Google Scholar] [CrossRef]
- Bakht, K.; Jameel, F.; Ali, Z.; Khan, W.U.; Khan, I.; Sidhu, S.; Ahmad, G.; Lee, J.W. Power Allocation and User Assignment Scheme for beyond 5G Heterogeneous Networks. Wirel. Commun. Mob. Comput. 2019, 2019, 2472783. [Google Scholar] [CrossRef]
- 3GPP TS36.331. E-UTRA Radio Resource Control (RRC); Protocol Specification (Release 12) 2015. v12.5.0. Available online: https://www.etsi.org/deliver/etsi_ts/136300_136399/136331/12.05.00_60/ts_136331v120500p.pdf (accessed on 1 March 2020).
- Ngo, H.A.; Hanzo, L. Hybrid Automatic-Repeat-reQuest Systems for Cooperative Wireless Communications. IEEE Commun. Surv. Tutor. 2014, 16, 25–45. [Google Scholar] [CrossRef]
- Sahin, C.; Liu, L.; Perrins, E.; Ma, L. Delay-sensitive communications over IR-HARQ: Modulation, coding latency, and reliability. IEEE J. Sel. Areas Commun. 2019, 37, 749–764. [Google Scholar] [CrossRef]
- Seddik, K.; Ibrahim, A.; Liu, K. Trans-Modulation in Wireless Relay Networks. IEEE Commun. Lett. 2008, 12, 170–172. [Google Scholar] [CrossRef]
- Jameel, F.; Wyne, S.; Kaddoum, G.; Duong, T.Q. A comprehensive survey on cooperative relaying and jamming strategies for physical layer security. IEEE Commun. Surv. Tutor. 2018, 21, 2734–2771. [Google Scholar] [CrossRef]
- Ryu, H.S.; Lee, J.S.; Kang, C. BER Analysis of Constellation Rearrangement for Cooperative Relaying Networks over Nakagami-m Fading Channel. In Proceedings of the 2011 IEEE International Conference on Communications (ICC), Kyoto, Japan, 5–9 June 2011. [Google Scholar] [CrossRef]
- Bedoui, A.; Et-tolba, M.; Nouasria, H. An MMSE Integrated Equalization for HARQ Chase Combining in OQAM-FBMC systems. In Proceedings of the IEEE 2019 15th International Wireless Communications & Mobile Computing Conference (IWCMC), Tangier, Morocco, 24–28 June 2019; pp. 811–816. [Google Scholar]
- Leturc, X.; Ciblat, P.; Le Martret, C.J. Energy efficient resource allocation for Type-I HARQ under the Rician channel. IEEE Trans. Wirel. Commun. 2019, 18, 3739–3751. [Google Scholar] [CrossRef]
- Xiang, Z.; Yang, W.; Pan, G.; Cai, Y.; Song, Y.; Zou, Y. Secure Transmission in HARQ-Assisted Non-orthogonal Multiple Access Networks. IEEE Trans. Inf. Forensics Secur. 2019, 15, 2171–2182. [Google Scholar] [CrossRef]
- Xia, H.; Han, S.; Li, C.; Meng, W. Joint PHY/MAC Layer AN-Assisted Security Scheme in SVD-Based MIMO HARQ system. In Proceedings of the 2019 IEEE/CIC International Conference on Communications in China (ICCC), Changchun, China, 11–13 August 2019; pp. 328–333. [Google Scholar]
- Baldi, M.; Maturo, N.; Ricciutelli, G.; Chiaraluce, F. Physical layer security over fading wiretap channels through classic coded transmissions with finite block length and discrete modulation. Phys. Commun. 2019, 37, 100829. [Google Scholar] [CrossRef]
- Chen, K.; Niu, K.; Lin, J. A hybrid ARQ scheme based on polar codes. IEEE Commun. Lett. 2013, 17, 1996–1999. [Google Scholar] [CrossRef]
- Saber, H.; Marsland, I. An incremental redundancy hybrid ARQ scheme via puncturing and extending of polar codes. IEEE Trans. Commun. 2015, 63, 3964–3973. [Google Scholar] [CrossRef]
- Liang, H.; Liu, A.; Zhang, Y.; Liang, X. Efficient design of multi-packet hybrid ARQ transmission scheme based on polar codes. IEEE Access 2018, 6, 31564–31570. [Google Scholar] [CrossRef]
- Eslami, A.; Pishro-Nik, H. A practical approach to polar codes. In Proceedings of the 2011 IEEE International Symposium on Information Theory Proceedings, St. Petersburg, Russia, 31 July–5 August 2011; pp. 16–20. [Google Scholar]
- Niu, K.; Chen, K.; Lin, J.R. Beyond turbo codes: Rate-compatible punctured polar codes. In Proceedings of the 2013 IEEE International Conference on Communications (ICC), Budapest, Hungary, 9–13 June 2013; pp. 3423–3427. [Google Scholar]
- Zhao, M.M.; Zhang, G.; Xu, C.; Zhang, H.; Li, R.; Wang, J. An adaptive IR-HARQ scheme for polar codes by polarizing matrix extension. IEEE Commun. Lett. 2018, 22, 1306–1309. [Google Scholar] [CrossRef]
- Liang, H.; Liu, A.; Zhang, Y.; Cheng, F.; Yi, X. A Throughput-Efficient Rateless Scheme of Polar Codes. In Proceedings of the IEEE 2018 10th International Conference on Wireless Communications and Signal Processing (WCSP), Hangzhou, China, 18–20 October 2018; pp. 1–7. [Google Scholar]
- Gao, J.; Fan, P.; Li, L. Optimized Polarizing Matrix Extension based HARQ Scheme for Short Packet Transmission. IEEE Commun. Lett. 2020. [Google Scholar] [CrossRef]
- Song, E.C.; Yue, G. Finite Blocklength Analysis for Coded Modulation with Applications to Link Adaptation. In Proceedings of the 2019 IEEE Wireless Communications and Networking Conference (WCNC), Marrakesh, Morocco, 15–18 April 2019; pp. 1–7. [Google Scholar]
- Wang, Z.; Dang, S.; Kennedy, D.T. Multi-hop index modulation-aided OFDM with decode-and-forward relaying. IEEE Access 2018, 6, 26457–26468. [Google Scholar] [CrossRef]
- Zhao, Y.; Hu, J.; Ding, Z.; Yang, K. Joint interleaver and modulation design for multi-user SWIPT-NOMA. IEEE Trans. Commun. 2019, 67, 7288–7301. [Google Scholar] [CrossRef]
- Pechetti, S.V.; Bose, R. Precoding-aided Spatial Modulation Assisted Joint Two-Tier Downlink Reception. IEEE Trans. Wirel. Commun. 2020. [Google Scholar] [CrossRef]
- Jiang, L.; Li, X.; Ye, N.; Wang, A. Deep Learning-Aided Constellation Design for Downlink NOMA. In Proceedings of the IEEE 2019 15th International Wireless Communications & Mobile Computing Conference (IWCMC), Tangier, Morocco, 24–28 June 2019; pp. 1879–1883. [Google Scholar]
- Saeed Khan, A.; Chatzigeorgiou, I.; Zheng, G.; Basulti, B.; Chuma, J.; Lambotharan, S. Random linear network coding based physical layer security for relay-aided device-to-device communication. IET Commun. 2020, 17, 33. [Google Scholar]
- Wu, W.; Mittelmann, H.; Ding, Z. Modulation design for two-way amplify-and-forward relay HARQ. IEEE Wirel. Commun. Lett. 2016, 5, 244–247. [Google Scholar] [CrossRef]
- Benlic, U.; Hao, J.K. Memetic search for the quadratic assignment problem. Expert Syst. Appl. 2015, 42, 584–595. [Google Scholar] [CrossRef]
- Hu, J.; Zhao, Y.; Yang, K. Modulation and coding design for simultaneous wireless information and power transfer. IEEE Commun. Mag. 2019, 57, 124–130. [Google Scholar] [CrossRef]
- Zheng, K.; Hu, L.; Wang, W.; Huang, L. Performance analysis of HARQ transmission in cooperative DF relaying systems. Wirel. Pers. Commun. 2010, 55, 441–455. [Google Scholar] [CrossRef]
- Ozkan, I. Analysis of Cooperative Hybrid ARQ with Adaptive Modulation and Coding on a Correlated Fading Channel. arXiv 2019, arXiv:1910.07959. [Google Scholar]
- Kim, J.W.; Lee, H.; Ahn, J.; Kang, C. Design of Signal Constellation Rearrangement (CoRe) for Multiple Relay Links. In Proceedings of the GLOBECOM 2009—2009 IEEE Global Telecommunications Conference, Honolulu, HI, USA, 30 November–4 December 2009; pp. 1–6. [Google Scholar] [CrossRef]
- Samra, H.; Ding, Z.; Hahn, P. Symbol mapping diversity design for multiple packet transmissions. IEEE Trans. Commun. 2005, 53, 810–817. [Google Scholar] [CrossRef]
- Taricco, G.; Biglieri, E. Exact pairwise error probability of space-time codes. EEE Tran. Inf. Theory 2002, 48, 510–513. [Google Scholar] [CrossRef]






© 2020 by the authors. Licensee MDPI, Basel, Switzerland. This article is an open access article distributed under the terms and conditions of the Creative Commons Attribution (CC BY) license (http://creativecommons.org/licenses/by/4.0/).
Share and Cite
Shahjehan, W.; Bashir, S.; Mohammed, S.L.; Fakhri, A.B.; Adebayo Isaiah, A.; Khan, I.; Uthansakul, P. RETRACTED: Efficient Modulation Scheme for Intermediate Relay-Aided IoT Networks. Appl. Sci. 2020, 10, 2126. https://doi.org/10.3390/app10062126
Shahjehan W, Bashir S, Mohammed SL, Fakhri AB, Adebayo Isaiah A, Khan I, Uthansakul P. RETRACTED: Efficient Modulation Scheme for Intermediate Relay-Aided IoT Networks. Applied Sciences. 2020; 10(6):2126. https://doi.org/10.3390/app10062126
Chicago/Turabian StyleShahjehan, Waleed, Shahid Bashir, Saleem Latteef Mohammed, Ahmed Bashar Fakhri, Adeniyi Adebayo Isaiah, Imran Khan, and Peerapong Uthansakul. 2020. "RETRACTED: Efficient Modulation Scheme for Intermediate Relay-Aided IoT Networks" Applied Sciences 10, no. 6: 2126. https://doi.org/10.3390/app10062126
APA StyleShahjehan, W., Bashir, S., Mohammed, S. L., Fakhri, A. B., Adebayo Isaiah, A., Khan, I., & Uthansakul, P. (2020). RETRACTED: Efficient Modulation Scheme for Intermediate Relay-Aided IoT Networks. Applied Sciences, 10(6), 2126. https://doi.org/10.3390/app10062126

