Deadbeat Predictive Current Control for Circulating Currents Reduction in a Modular Multilevel Converter Based Rail Power Conditioner
Abstract
1. Introduction
2. SRPC Compensation Principle
2.1. Active Power Balancing
2.2. Reactive Power Compensation
3. SRPC Mathematical Analysis
3.1. Circulating Current Analysis
3.2. Deadbeat Predictive Current Control
4. SRPC Control Algorithm
4.1. Establishing the Compensation Current References
4.2. DC-Bus Voltage Balancing and Tracking of the Reference Signals
4.3. SM Voltages Balancing Control
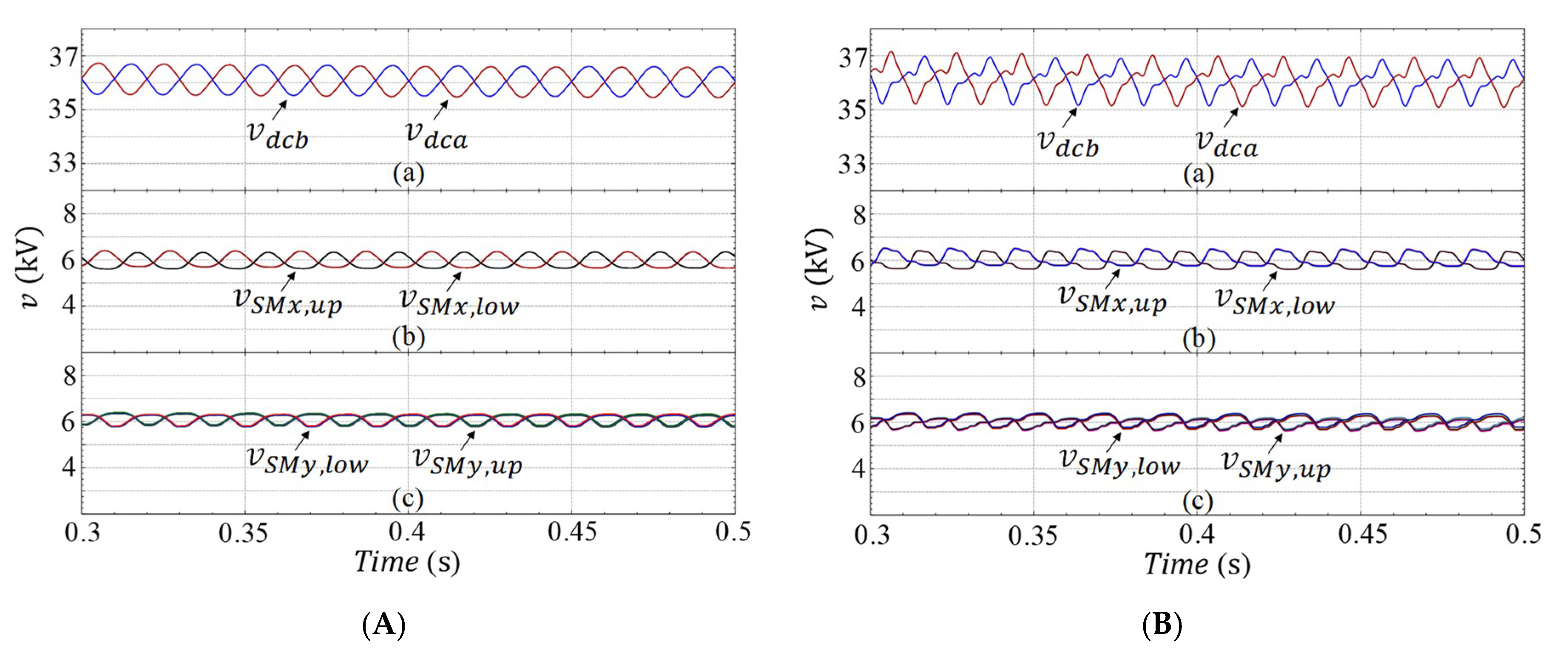
5. Simulation Results
- Removing the AC components of the MMC circulating current, then, the circulating current amplitude is reduced while keeping balanced SM voltages. The DC component of the circulating current is essential to keep the SM voltages of MMC around a reference value.
- Reducing the RMS value of the MMC arm currents.
- Reducing the voltage ripples in the SM DC-link capacitor.
- The suppression of circulating current does not disturb the MMC main functionality (in this study, MMC operated as a power quality compensator for electric railway applications).
- Being a deadbeat-based control methodology, unmodeled errors in the SRPC mathematical model often deteriorate the system performance. These unmodeled errors may lead to make the calculated voltage references deviate from the expected reference values. However, the one-cycle time delay and arm inductor resistance can be included in a more complex model.
- The presented control methodology is only valid for fixed switching frequency applications.
6. Conclusions
Author Contributions
Funding
Conflicts of Interest
Nomenclature
| Aσ | Output of MMC leg averaging voltage control |
| Cdca, Cdcb | Capacitance of the MMC DC-bus capacitors |
| f | Electrical grid fundamental frequency |
| fisw | Individual SM switching frequency |
| fsw | Equivalent switching frequency |
| iA, iB, iC | Phase A, phase B and phase C instantaneous currents before compensation |
| IA, IB, IC | Phase A, phase B and phase C RMS currents before compensation |
| IA1, IB1, IC1 | Phase A, phase B and phase C RMS currents after active power balance |
| IA2, IB2, IC2 | Phase A, phase B and phase C RMS currents after active power balance and reactive power compensation |
| ix, iy, iz | Phase x, phase y and phase z instantaneous currents of the secondary windings of the V/V power transformer before compensation. |
| Ix, Iy, Iz | Phase x, phase y and phase z RMS currents of the secondary windings of the V/V power transformer before compensation. |
| Ix1, Iy1, Iz1 | Phase x, phase y and phase z instantaneous currents of the secondary windings of the V/V power transformer after active power balance. |
| Ix2, Iy2, Iz2 | Phase x, phase y and phase z instantaneous currents of the secondary windings of the V/V power transformer after active power balance and reactive power compensation. |
| icirx, iciry | MMC instantaneous circulating current |
| iLx, iLy | Load section instantaeous currents |
| ILx, ILy | Load section RMS currents |
| ILxa, ILya | RMS load section active currents |
| ILxh, ILyh | RMS hth order harmonic current contents for both load sections |
| ILxr, ILyr | RMS load section reactive currents |
| irx*, iry* | Instantaemous compensation current references |
| irx, iry | Instantaneous compensation currents synthesized by SRPC system |
| irx_err | Instantaneous error current |
| Irxr, Iryr | Reactive RMS compensation currents synthesized by SRPC |
| irxu, irxl | Instantaneous upper and lower arm currents of MMC section x converter |
| iryu, iryl | Instantaneous upper and lower arm currents of MMC section y converter |
| KV | Turns ratio of the V/V power transformer |
| k | Present sample interval |
| Lxu, Lxl | Upper and lower arm inductors of the MMC section x converter |
| Lyu, Lyl | Upper and lower arm inductors of the MMC section y converter |
| N | MMC Voltage Level |
| N-1 | Number of SM in one MMC arm |
| Rxu, Rxl | Upper and lower arm equivalent resistance of the MMC section x converter |
| Ryu, Ryl | Upper and lower arm equivalent resistance of the MMC section y converter |
| Ts | Sampling period |
| UA, UB, UC | Phase-to-line RMS voltages of the three-phase public power grid |
| UAC, UBC | Line-to-line RMS voltages of the three-phase public power grid |
| ux, uy | Phase x and phase y instantaneous load section voltages |
| Ux, Uy | Phase x and phase y RMS load section voltages |
| uxu *, uxl * | Instantaneous reference signals of the upper and the lower MMC arm of section x converter |
| uxu, uxl | Instantaneous upper and lower MMC arm voltages of section x converter |
| uyu *, uyl * | Instantaneous reference signals of the upper and the lower MMC arm of section y converter |
| uyu, uul | Instantaneous upper and lower MMC arm voltages of section y converter |
| vdca, vdcb | Instantaneous DC-link voltage of upper and lower arm of section x converter |
| Vdc* | The reference value of the DC-link voltage |
| Vsm* | The reference value of the SM DC-link voltage |
| Vsmiu, Vsmil | The individual SM voltage in the upper and the lower MMC arm, respectively |
| Viσu, Viσl | Output of MMC SM individual voltage control |
| Average DC-voltage in one MMC leg | |
| vsmx,up, vsmx,low | Instantaneous SM voltages of upper and lower arm of section x converter |
| vsmy,up, vsmy,low | Instantaneous SM voltages of upper and lower arm of section y converter |
| ΔI | Active RMS compensation currents synthesized by RPC |
| ϕxh, ϕyh | The corresponded phase angles of the hth order harmonic current contents for both load sections |
Appendix A
References
- Gazafrudi, S.M.M.; Langerudy, A.T.; Fuchs, E.F.; Al-Haddad, K. Power Quality Issues in Railway Electrification: A Comprehensive Perspective. IEEE Trans. Ind. Electron. 2015, 62, 3081–3090. [Google Scholar] [CrossRef]
- Serrano-Jiménez, D.; Abrahamsson, L.; Castaño-Solís, S.; Sanz-Feito, J. Electrical railway power supply systems: Current situation and future trends. Int. J. Electr. Power Energy Syst. 2017, 92, 181–192. [Google Scholar] [CrossRef]
- Krastev, I.; Tricoli, P.; Hillmansen, S.; Chen, M. Future of Electric Railways: Advanced Electrification Systems with Static Converters for ac Railways. IEEE Electrif. Mag. 2016, 4, 6–14. [Google Scholar] [CrossRef]
- He, Z.; Zheng, Z.; Hu, H. Power quality in high-speed railway systems. Int. J. Rail Transp. 2016, 4, 71–97. [Google Scholar] [CrossRef]
- Tanta, M.; Monteiro, V.; Sousa, T.J.C.; Martins, A.P.; Carvalho, A.S.; Afonso, J.L. Power quality phenomena in electrified railways: Conventional and new trends in power quality improvement toward public power systems. In 2018 International Young Engineers Forum (YEF-ECE), Costa da Caparica. 2018, pp. 25–30. In Proceedings of the 2018 International Young Engineers Forum (YEF-ECE), Costa da Caparica, Portugal, 4 May 2018. [Google Scholar]
- Tanta, M.; Monteiro, V.; Exposto, B.; Pinto, J.G.; Martins, A.P.; Carvalho, A.S.; Meléndez, A.A.N.; Afonso, J.L. Simplified rail power conditioner based on a half-bridge indirect AC/DC/AC Modular Multilevel Converter and a V/V power transformer. In Proceedings of the IECON 2017—43rd Annual Conference of the IEEE Industrial Electronics Society, Beijing, China, 29 October–1 November 2017; pp. 6431–6436. [Google Scholar]
- Hafeez, K.; Khan, S.A.; Van den Bossche, A.; Hasan, Q.U. Circulating Current Reduction in MMC-HVDC System Using Average Model. Appl. Sci. 2019, 9, 1383. [Google Scholar] [CrossRef]
- Zhang, M.; Huang, L.; Yao, W.; Lu, Z. Circulating Harmonic Current Elimination of a CPS-PWM-Based Modular Multilevel Converter With a Plug-In Repetitive Controller. IEEE Trans. Power Electron. 2014, 29, 2083–2097. [Google Scholar] [CrossRef]
- Xu, Q.; Ma, F.; He, Z.; Chen, Y.; Guerrero, J.M.; Luo, A.; Li, Y.; Yue, Y. Analysis and Comparison of Modular Railway Power Conditioner for High-Speed Railway Traction System. IEEE Trans. Power Electron. 2017, 32, 6031–6048. [Google Scholar] [CrossRef]
- P, H.M.; Bina, M.T. A Transformerless Medium-Voltage STATCOM Topology Based on Extended Modular Multilevel Converters. IEEE Trans. Power Electron. 2011, 26, 1534–1545. [Google Scholar] [CrossRef]
- Ahmed, K.H.; Aboushady, A.A. Modified half-bridge modular multilevel converter for HVDC systems with DC fault ride-through capability. In Proceedings of the IECON 2014—40th Annual Conference of the IEEE Industrial Electronics Society, Dallas, TX, USA, 29 October–1 November 2014; pp. 4676–4682. [Google Scholar]
- Talon Louokdom, E.; Gavin, S.; Siemaszko, D.; Biya-Motto, F.; Essimbi Zobo, B.; Marchesoni, M.; Carpita, M. Small-Scale Modular Multilevel Converter for Multi-Terminal DC Networks Applications: System Control Validation. Energies 2018, 11, 1690. [Google Scholar] [CrossRef]
- Uddin, W.; Zeb, K.; Adil Khan, M.; Ishfaq, M.; Khan, I.; ul Islam, S.; Kim, H.-J.; Park, G.S.; Lee, C. Control of Output and Circulating Current of Modular Multilevel Converter Using a Sliding Mode Approach. Energies 2019, 12, 4084. [Google Scholar] [CrossRef]
- Ben-Brahim, L.; Gastli, A.; Trabelsi, M.; Ghazi, K.A.; Houchati, M.; Abu-Rub, H. Modular Multilevel Converter Circulating Current Reduction Using Model Predictive Control. IEEE Trans. Ind. Electron. 2016, 63, 3857–3866. [Google Scholar] [CrossRef]
- Li, Y.; Jones, E.A.; Wang, F. Circulating Current Suppressing Control’s Impact on Arm Inductance Selection for Modular Multilevel Converter. IEEE J. Emerg. Sel. Top. Power Electron. 2017, 5, 182–188. [Google Scholar] [CrossRef]
- Matas, J.; Garcia de Vicuna, L.; Miret, J.; Guerrero, J.M.; Castilla, M. Feedback Linearization of a Single-Phase Active Power Filter via Sliding Mode Control. IEEE Trans. Power Electron. 2008, 23, 116–125. [Google Scholar] [CrossRef]
- Moranchel, M.; Bueno, E.; Sanz, I.; Rodríguez, F.J. New Approaches to Circulating Current Controllers for Modular Multilevel Converters. Energies 2017, 10, 86. [Google Scholar] [CrossRef]
- Li, X.; Song, Q.; Liu, W.; Xu, S.; Zhu, Z.; Li, X. Performance Analysis and Optimization of Circulating Current Control for Modular Multilevel Converter. IEEE Trans. Ind. Electron. 2016, 63, 716–727. [Google Scholar] [CrossRef]
- Lu, M.; Hu, J.; Zeng, R.; He, Z. Fundamental-Frequency Reactive Circulating Current Injection for Capacitor Voltage Balancing in Hybrid-MMC HVDC Systems During Riding Through PTG Faults. IEEE Trans. Power Deliv. 2018, 33, 1348–1357. [Google Scholar] [CrossRef]
- Li, J.; Konstantinou, G.; Wickramasinghe, H.R.; Pou, J.; Wu, X.; Jin, X. Impact of Circulating Current Control in Capacitor Voltage Ripples of Modular Multilevel Converters Under Grid Imbalances. IEEE Trans. Power Deliv. 2018, 33, 1257–1267. [Google Scholar] [CrossRef]
- Tu, Q.; Xu, Z.; Xu, L. Reduced Switching-Frequency Modulation and Circulating Current Suppression for Modular Multilevel Converters. IEEE Trans. Power Deliv. 2011, 26, 2009–2017. [Google Scholar]
- Moon, J.; Kim, C.; Park, J.; Kang, D.; Kim, J. Circulating Current Control in MMC Under the Unbalanced Voltage. IEEE Trans. Power Deliv. 2013, 28, 1952–1959. [Google Scholar] [CrossRef]
- Qin, J.; Saeedifard, M. Predictive Control of a Modular Multilevel Converter for a Back-to-Back HVDC System. IEEE Trans. Power Deliv. 2012, 27, 1538–1547. [Google Scholar]
- Dekka, A.; Wu, B.; Yaramasu, V.; Fuentes, R.L.; Zargari, N.R. Model Predictive Control of High-Power Modular Multilevel Converters—An Overview. IEEE J. Emerg. Sel. Top. Power Electron. 2019, 7, 168–183. [Google Scholar] [CrossRef]
- Cortes, P.; Kazmierkowski, M.P.; Kennel, R.M.; Quevedo, D.E.; Rodriguez, J. Predictive Control in Power Electronics and Drives. IEEE Trans. Ind. Electron. 2008, 55, 4312–4324. [Google Scholar] [CrossRef]
- Luo, A.; Wu, C.; Shen, J.; Shuai, Z.; Ma, F. Railway Static Power Conditioners for High-speed Train Traction Power Supply Systems Using Three-phase V/V Transformers. IEEE Trans. Power Electron. 2011, 26, 2844–2856. [Google Scholar] [CrossRef]
- Tanta, M.; Afonso, J.A.; Martins, A.P.; Carvalho, A.S.; Afonso, J.L. Comprehensive Study for a Rail Power Conditioner Based on a Single–Phase Full–Bridge Back–to–Back Indirect Modular Multilevel Converter. In Transactions on Engineering Technologies; Ao, S.-I., Gelman, L., Kim, H.K., Eds.; Springer: Singapore, 2019; pp. 263–279. [Google Scholar]
- Monteiro, V.D.F. Development of Bidirectional Charging Systems for Electric Vehicles with New Modes of Operation for Smart Grid, in Portuguese: Desenvolvimento de sistemas de carregamento bidirecionais para veículos elétricos com novos modos de operação para Smart Grids; University of Minho: Braga, Portugal, 2016. [Google Scholar]
- Chen, M.; Sun, J. Feedforward current control of boost single-phase PFC converters. IEEE Trans. Power Electron. 2006, 21, 338–345. [Google Scholar] [CrossRef]
- Tan, S.; Lai, Y.M.; Tse, C.K.; Wu, C.K. A pulsewidth modulation based integral sliding mode current controller for boost converters. In Proceedings of the 2006 37th IEEE Power Electronics Specialists Conference, Jeju, Korea, 18–22 June 2006; pp. 1–7. [Google Scholar]
- Orts-Grau, S.; Gimeno-Sales, F.J.; Abellan-Garcia, A.; Segui-Chilet, S.; Alfonso-Gil, J.C. Improved Shunt Active Power Compensator for IEEE Standard 1459 Compliance. IEEE Trans. Power Deliv. 2010, 25, 2692–2701. [Google Scholar] [CrossRef]
- Tanta, M.; Pinto, G.; Monteiro, V.; Martins, A.P.; Carvalho, A.S.; Afonso, J.L. A Comprehensive Comparison of Rail Power Conditioners Based on Two-level Converters and a V/V Power Transformer in Railway Traction Power Systems. In Proceedings of the 7th Transport Research Arena (TRA 2018), Vienna, Austria, 16–19 April 2018; pp. 1–10. [Google Scholar]
- Karimi-Ghartemani, M.; Karimi, H.; Iravani, M.R. A magnitude/phase-locked loop system based on estimation of frequency and in-phase/quadrature-phase amplitudes. IEEE Trans. Ind. Electron. 2004, 51, 511–517. [Google Scholar] [CrossRef]
















| Parameter | Symbol | Value |
|---|---|---|
| Power grid voltage | UAB | 110 kV |
| Traction grid voltage | 25 kV | |
| Fundamental frequency | f | 50 Hz |
| Section x load power | PLx | 1.75 MW |
| Section y load power | PLy | 2.62 MW |
| V/V transformer turns ratio | KV | 110:25 |
| Parameter | Symbol | Value |
|---|---|---|
| Number of SM per MMC arm | N-1 | 12 |
| DC-link voltage | Vdc = Vdca + Vdcb | 72 kV |
| Single SM voltage | VSM | 6 kV |
| Switching frequency of each SM | fisw | 3 kHz |
| Equivalent switching frequency | fsw | 36 kHz |
| MMC arm inductor | 3 mH | |
| SM capacitance | 900 μF | |
| DC-bus capacitance | Cdca = Cdcb | 5 mF |
| Time | 0.4 s to 0.6 s | 0.6 s to 0.8 s | 0.8 s to 1.0 s |
|---|---|---|---|
| Section x power | 1.75 MW | 3.5 MW | 5.24 MW |
| Section y power | 2.62 MW | 5.24 MW | 5.24 MW |
© 2020 by the authors. Licensee MDPI, Basel, Switzerland. This article is an open access article distributed under the terms and conditions of the Creative Commons Attribution (CC BY) license (http://creativecommons.org/licenses/by/4.0/).
Share and Cite
Tanta, M.; Pinto, J.G.; Monteiro, V.; Martins, A.P.; Carvalho, A.S.; Afonso, J.L. Deadbeat Predictive Current Control for Circulating Currents Reduction in a Modular Multilevel Converter Based Rail Power Conditioner. Appl. Sci. 2020, 10, 1849. https://doi.org/10.3390/app10051849
Tanta M, Pinto JG, Monteiro V, Martins AP, Carvalho AS, Afonso JL. Deadbeat Predictive Current Control for Circulating Currents Reduction in a Modular Multilevel Converter Based Rail Power Conditioner. Applied Sciences. 2020; 10(5):1849. https://doi.org/10.3390/app10051849
Chicago/Turabian StyleTanta, Mohamed, J. G. Pinto, Vitor Monteiro, Antonio P. Martins, Adriano S. Carvalho, and Joao L. Afonso. 2020. "Deadbeat Predictive Current Control for Circulating Currents Reduction in a Modular Multilevel Converter Based Rail Power Conditioner" Applied Sciences 10, no. 5: 1849. https://doi.org/10.3390/app10051849
APA StyleTanta, M., Pinto, J. G., Monteiro, V., Martins, A. P., Carvalho, A. S., & Afonso, J. L. (2020). Deadbeat Predictive Current Control for Circulating Currents Reduction in a Modular Multilevel Converter Based Rail Power Conditioner. Applied Sciences, 10(5), 1849. https://doi.org/10.3390/app10051849

