Intensity Evolution of Cosine-Gaussian-Correlated Schell-Model Pulse Scattered by a Medium
Abstract
1. Introduction
2. Theory
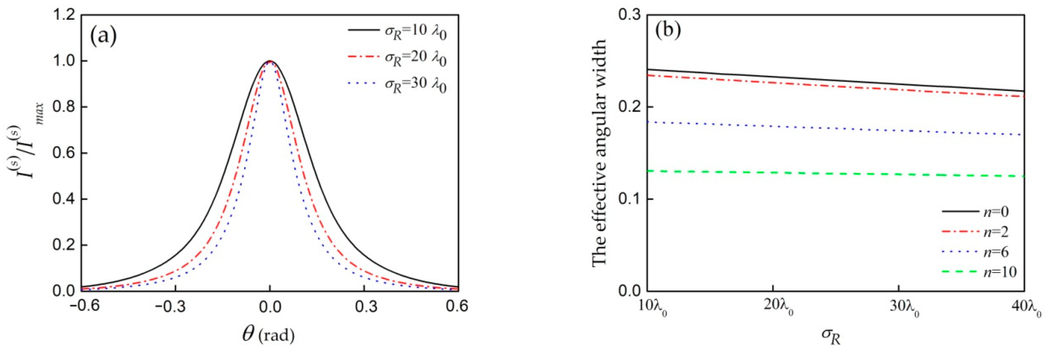
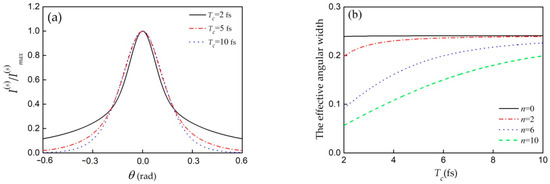
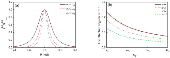
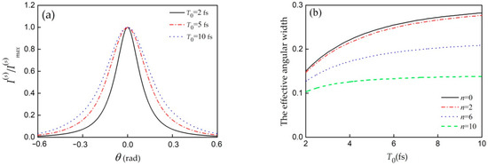
3. Intensity Properties of CGSM Pulse Scattered by a Medium
4. Conclusions
Author Contributions
Funding
Conflicts of Interest
References
- Wolf, E.; Foley, J.T. Scattering of electromagnetic fields of any state of coherence from space-time fluctuations. Phys. Rev. A 1989, 40, 579–587. [Google Scholar] [CrossRef]
- Wu, H.; Pan, X.N.; Zhu, Z.H.; Ji, X.L.; Wang, T. Reciprocity relations of an electromagnetic light wave on scattering from a quasi-homogeneous anisotropic media. Opt. Express 2017, 25, 11297–11305. [Google Scholar] [CrossRef]
- Wang, F.; Chen, Y.H.; Liu, X.L.; Cai, Y.J.; Ponomarenko, S.A. Self-reconstruction of partially coherent light beams scattered by opaque obstacles. Opt. Express 2016, 24, 23735–23746. [Google Scholar] [CrossRef]
- Jung, J.H.; Kim, J.; Seo, M.K.; Park, Y.K. Measurements of polarization-dependent angle-resolved light scattering from individual microscopic samples using Fourier transform light scattering. Opt. Express 2018, 26, 7701–7710. [Google Scholar] [CrossRef]
- Zhao, D.M.; Korotkova, O.; Wolf, E. Application of correlation-induced spectral changes to inverse scattering. Opt. Lett. 2007, 32, 3483–3485. [Google Scholar] [CrossRef]
- Lahiri, M.; Wolf, E.; Fischer, D.G.; Shirai, T. Determination of correlation functions of scattering potentials of stochastic media from scattering experiments. Phys. Rev. Lett. 2009, 102, 123901. [Google Scholar] [CrossRef]
- Agrawal, G.P. Nonlinear Fiber Optics, 4th ed.; Academic: New York, NY, USA, 2007. [Google Scholar]
- Pääkkönen, P.; Turunen, J.; Vahimaa, P.; Friberg, A.T.; Wyrowski, F. Partially coherent Gaussian pulses. Opt. Commun. 2002, 204, 53–58. [Google Scholar]
- Lajunen, H.; Vahimaa, P.; Tervo, J. Theory of spatially and spectrally partially coherent pulses. J. Opt. Soc. Am. A 2005, 22, 1536–1545. [Google Scholar] [CrossRef]
- Ding, C.L.; Cai, Y.J.; Korotkova, O.; Zhang, Y.T.; Pan, L.Z. Scattering-induced changes in the temporal coherence length and the initial pulse duration of a partially coherent plane-wave pulse. Opt. Lett. 2011, 36, 517–519. [Google Scholar] [CrossRef]
- Wang, H.X.; Ding, C.L.; Ma, B.H.; Zhao, C.H.; Pan, L.Z. The intensity properties of a multi-Gaussian Schell-model pulse scattering from a sphere with semisoft boundaries. Opt. Quant. Electron 2016, 48, 1–12. [Google Scholar] [CrossRef]
- Wang, H.X.; Ding, C.L.; Ma, B.H.; Zhao, C.H.; Pan, L.Z. Statistical properties of a stochastic electromagnetic pulse scattering by a quasi-homogeneous random medium. Opt. Quant. Electron 2015, 47, 3365–3380. [Google Scholar] [CrossRef]
- Ding, C.L.; Cai, Y.J.; Zhang, Y.T.; Pan, L.Z. Scattering of a partially coherent plane-wave pulse on a deterministic sphere. Phys. Lett. A 2012, 376, 2697–2702. [Google Scholar] [CrossRef]
- Devaux, F.; Lantz, E. 3D-PSTD simulation and polarization analysis of a light pulse transmitted through a scattering media. Opt. Express 2013, 21, 24969–24984. [Google Scholar] [CrossRef]
- Mounaix, M.; Defienne, H.; Gigan, S. Deterministic light focusing in space and time through multiple scattering media with a time-resolved transmission matrix approach. Phys. Rev. A 2016, 94, 041802. [Google Scholar] [CrossRef]
- Eggert, J.; Bourdon, B.; Nolte, S.; Rischmueller, J.; Imlau, M. Chirp control of femtosecond-pulse scattering from drag-reducing surface-relief gratings. Photon. Res. 2018, 6, 542–548. [Google Scholar] [CrossRef]
- Wang, F.; Cai, Y.J.; Lin, Q. Experimental observation of truncated fractional Fourier transform for a partially coherent Gaussian Schell-model beam. J. Opt. Soc. Am. A 2008, 25, 2001–2010. [Google Scholar] [CrossRef]
- Lajunen, H.; Saastamoinen, T. Non-uniformly correlated partially coherent pulses. Opt. Express 2013, 21, 190–195. [Google Scholar] [CrossRef]
- Ding, C.L.; Korotkova, O.; Zhang, Y.T.; Pan, L.Z. Cosine-Gaussian correlated Schell-model pulsed beams. Opt. Express 2014, 22, 931–942. [Google Scholar] [CrossRef]
- Yao, M.; Korotkova, O.; Ding, C.L.; Pan, L.Z. Position modulation with random pulses. Opt. Express 2014, 22, 16197–16206. [Google Scholar] [CrossRef]
- Ding, C.L.; Koivurova, M.; Turunen, J.; Pan, L.Z. Temporal self-splitting of optical pulses. Phys. Rev. A 2018, 97, 053838. [Google Scholar] [CrossRef]
- Zhao, Z.G.; Ding, C.L.; Zhang, Y.T.; Pan, L.Z. Spatial-Temporal Self-Focusing of Partially Coherent Pulsed Beams in Dispersive Medium. Appl. Sci. 2019, 9, 3616. [Google Scholar] [CrossRef]
- Torres-Company, V.; Mínguez-Vega, G.; Lancis, J.; Friberg, A.T. Controllable generation of partially coherent light pulses with direct space-to-time pulse shaper. Opt. Lett. 2007, 32, 1608–1610. [Google Scholar] [CrossRef] [PubMed]
- Turunen, J. Low-coherence laser beams. In Laser Beam Propagation: Generation and Propagation of Customized Light; Forbes, A., Ed.; CRC Press: Boca Raton, FL, USA, 2014. [Google Scholar]
- Ding, C.L.; Pan, L.Z.; Lü, B.D. Phase singularities and spectral changes of spectrally partially coherent higher-order Bessel-Gauss pulsed beams. J. Opt. Soc. Am. A 2009, 26, 2654–2661. [Google Scholar] [CrossRef] [PubMed]
- Wang, T.; Zhao, D.M. Scattering of scalar light wave from a Gaussian–Schell model medium. Chin. Phys. B 2010, 19, 084201. [Google Scholar]
- Ding, C.L.; Cai, Y.J.; Zhang, Y.T.; Pan, L.Z. Scattering-induced changes in the degree of polarization of a stochastic electromagnetic plane-wave pulse. J. Opt. Soc. Am. A 2012, 29, 1078–1090. [Google Scholar] [CrossRef] [PubMed]
- Wolf, E. Principles of Optics; Cambridge University Press: Cambridge, UK, 2007. [Google Scholar]
- Foley, J.T.; Wolf, E. Frequency shifts of spectral lines generated by scattering from space-time fluctuations. Phys. Rev. A 1989, 40, 588–598. [Google Scholar] [CrossRef] [PubMed]
- Wang, H.; Li, X.Y. Propagation of partially coherent controllable dark hollow beams with various symmetries in turbulent atmosphere. Opt. Laser Eng. 2010, 48, 48–57. [Google Scholar] [CrossRef]
- Zhang, Y.Y.; Zhao, D.M. The coherence and polarization properties of electromagnetic rectangular Gaussian Schell-model sources scattered by a deterministic medium. J. Opt. 2014, 16, 125709. [Google Scholar] [CrossRef]
- Wolf, E. Introduction to the Theory of Coherence and Polarization of Light, 1st ed.; Cambridge University Press: Cambridge, UK, 2007. [Google Scholar]
- Zhang, Y.Y.; Zhao, D.M. Scattering of Hermite–Gaussian beams on Gaussian Schell-model random media. Opt. Commun. 2013, 300, 38–44. [Google Scholar] [CrossRef]
- Mao, H.D.; Chen, Y.H.; Liang, C.H.; Chen, L.F.; Cai, Y.J.; Ponomarenko, S.A. Self-steering partially coherent vector beams. Opt. Express 2019, 27, 14353–14368. [Google Scholar] [CrossRef]
- Wolf, E. Unified theory of coherence and polarization of random electromagnetic beams. Phys. Lett. A 2003, 312, 263–267. [Google Scholar] [CrossRef]
- Zhu, Y.B.; Zhao, D.M. Propagation of a random electromagnetic beam through a misaligned optical system in turbulent atmosphere. J. Opt. Soc. Am. A 2008, 25, 2408–2414. [Google Scholar] [CrossRef]
- Visser, T.D. Optical Coherence; Wiley Online Library: Hoboken, NJ, USA, 2016. [Google Scholar]






© 2020 by the authors. Licensee MDPI, Basel, Switzerland. This article is an open access article distributed under the terms and conditions of the Creative Commons Attribution (CC BY) license (http://creativecommons.org/licenses/by/4.0/).
Share and Cite
Wang, H.; Yan, X.; Feng, X.; Zhao, Z.; Pan, L. Intensity Evolution of Cosine-Gaussian-Correlated Schell-Model Pulse Scattered by a Medium. Appl. Sci. 2020, 10, 1825. https://doi.org/10.3390/app10051825
Wang H, Yan X, Feng X, Zhao Z, Pan L. Intensity Evolution of Cosine-Gaussian-Correlated Schell-Model Pulse Scattered by a Medium. Applied Sciences. 2020; 10(5):1825. https://doi.org/10.3390/app10051825
Chicago/Turabian StyleWang, Haixia, Xumin Yan, Xiaotong Feng, Zhiguo Zhao, and Liuzhan Pan. 2020. "Intensity Evolution of Cosine-Gaussian-Correlated Schell-Model Pulse Scattered by a Medium" Applied Sciences 10, no. 5: 1825. https://doi.org/10.3390/app10051825
APA StyleWang, H., Yan, X., Feng, X., Zhao, Z., & Pan, L. (2020). Intensity Evolution of Cosine-Gaussian-Correlated Schell-Model Pulse Scattered by a Medium. Applied Sciences, 10(5), 1825. https://doi.org/10.3390/app10051825
