Influence of Surroundings on Radiant Tube Lifetime in Indirect-Fired Vertical Strip Annealing Furnaces
Abstract
Featured Application
Abstract
1. Introduction
2. Status of Research and Objectives in Radiant Tube Lifetime Modeling
2.1. Microscopic Damage Analysis
2.2. Early Macroscopic Studies
2.3. Recent Numerical Investigations
2.4. Objectives of the Present Study
- To investigate the effects of the absence or presence of a (wide or narrow) strip with respect to a reference case of an isolated tube.
- To demonstrate the influence of three different setups of the neighboring tube arrangement on a tube’s creep deformation and stresses.
- To study the influence of the choice of burner operation (full-load firing, synchronous, and asynchronous on/off firing) on radiant tube lifetime.
- To understand the effect of changing strip temperatures across an annealing furnace on the tube’s thermomechanical behavior.
- To examine the correlation between the obtained creep deformation and thermomechanical stresses with the furnace operating conditions.
3. The Methodology of Numerical Modeling
3.1. Overview of the Models and Their Interactions
3.2. Validations for the Chosen Models
4. Case Studies and Their Setups
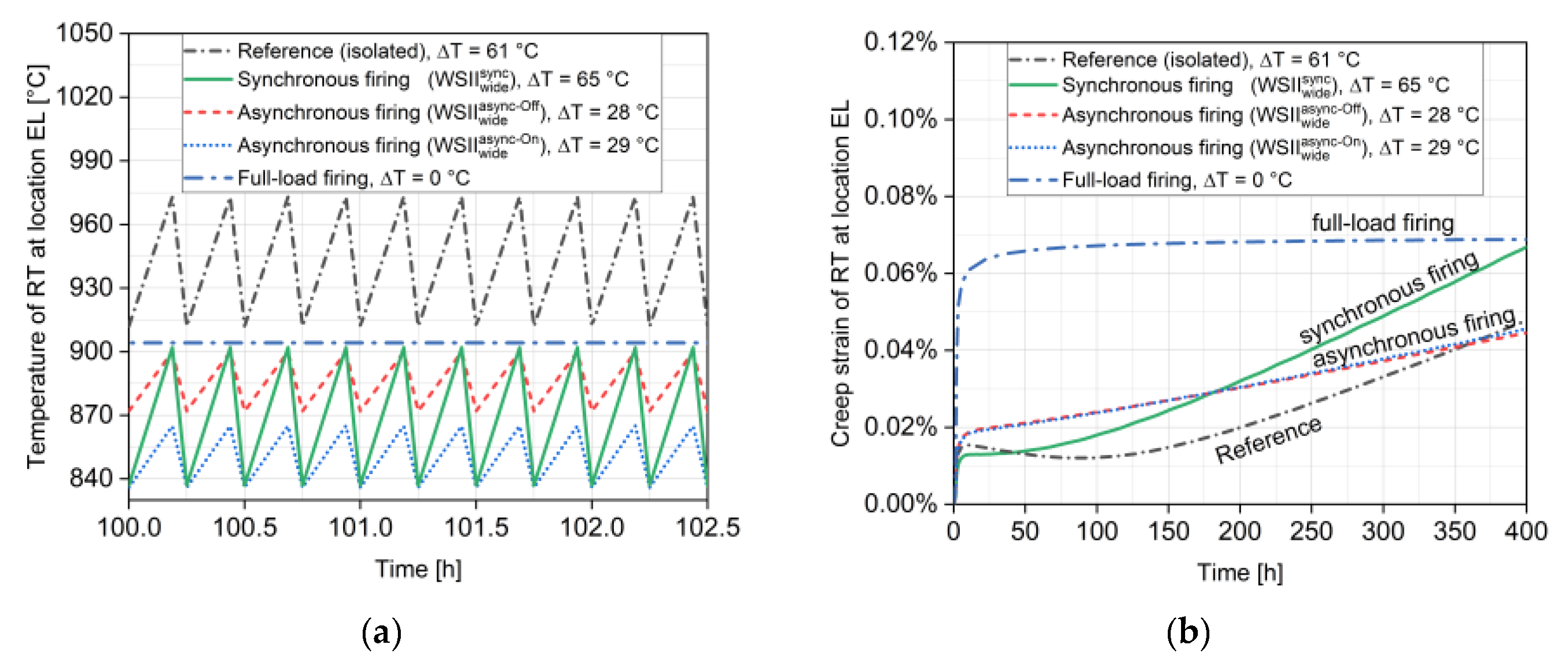
5. Results and Discussion
6. Conclusions
- Peak tube temperatures decreased, and the maximum tube temperature gradients at the burner-on and -off points invariably increased upon the introduction of adjacent tubes and a strip as radiating partners, compared to an isolated radiant tube.
- Under synchronous burner firing, the presence of a passing strip—irrespective of its width—coupled with adjacent radiant tubes, resulted in an increase in the maximum tube deformation due to creep.
- The choice of the asynchronous firing of burners in a furnace zone was preferable to synchronous firing with regard to the tube’s creep deformation.
- The full-load firing case expectedly showed the least creep rate. It might, however, be difficult to employ in practice for radiant tubes in a CGL furnace.
- The higher the local tube temperature difference between the burner-on and -off points in a firing cycle, the greater was the creep rate at the respective tube region. This could be clearly seen while comparing the isolated tube, synchronous, and asynchronous firing cases.
- The highest creep deformation was observed for the setup with three radiant tubes arranged horizontally compared to the vertical arrangement, even though the maximum and minimum tube temperatures and its gradients in a firing cycle were similar. Adjacent radiant tubes strongly affected each other as soon as a strip shielded a part of their radiation exchange area.
- Changes in strip temperature had a marginal effect on the tube’s creep deformation. Evaluating the radiant tube lifetime dependent on the tubes’ positions in a CGL furnace, either near the strip entry or towards the strip exit seemed to be more complex than that. The strip cross-section was clearly a parameter of higher significance than locally changing strip temperatures.
- The role played by the opposing effect, existing between creep deformation of the tube and its thermomechanical stresses, was evident. Therefore, a pattern elucidating a simple correlation between the two was difficult to observe, except, e.g., the asynchronous firing cases.
- The investigations indicated that cyclic temperature changes—occurring either due to burner on/off firing or process changes—and the corresponding local temperature gradients were mainly responsible for the tube’s creep deformation.
Author Contributions
Funding
Acknowledgments
Conflicts of Interest
References
- Wünning, J.G.; Beck, E.; Schönenberg, R.; Zeizinger, S. Operating Experience with Regard to New Double P Radiant Tube Technology in a Vertical Galvanizing Line. In Proceedings of the 98th Annual Meeting of the Galvanizers Association, Columbus, OH, USA, 22–25 October 2006. [Google Scholar]
- Quinn, D.E. Regenerative Radiant Tube Combustion Systems for Continuous Strip Annealing Furnaces. In Proceedings of the 91st Annual Meeting of the Galvanizers Association, Jackson, MS, USA, 24–27 October 1999. [Google Scholar]
- Morgan, G.; James, M.; Thomas, A. Improvement programme for optimising furnace Radiant Tubes (Tata-Corus). In Proceedings of the 100th Annual Meeting of the Galvanizers Association, Baltimore, MD, USA, 26–29 October 2008. [Google Scholar]
- Steck-Winter, H.; Unger, G. Thermal processing plants in the smart factory. Heat Process. 2017, 3, 95–102. [Google Scholar]
- Speets, R.; Wu, H.; Pronk, P. Improving the performance of continuous annealing lines by model predictive control. In Proceedings of the Industrial Furnaces and Boilers—INFUB 10, Porto, Portugal, 7–10 April 2015. [Google Scholar]
- Niederer, M.; Steinböck, A.; Strommer, S.; Kugi, A. Control of radiant tubes in an indirect-fired strip annealing furnace for improved efficiency. In Proceedings of the European Control Conference ECC, Zürich, Switzerland, 17–19 July 2013; pp. 4106–4111. [Google Scholar]
- Pfeifer, H.; Nacke, B.; Beneke, F. Handbook of Thermoprocessing Technologies Volume 2: Plants, Components, Safety; Vulkan-Verlag: Essen, Germany, 2015. [Google Scholar]
- Chakrabarti, S.; Sarkar, S.; Kumar, S.; Singh, G.R.P.; Maheshwari, M.D. Failure of radiant tubes in a continuous galvanising furnace. Tata Search 2003, 399–403. [Google Scholar]
- Yoon, K.; Jeong, D. Oxidation failure of radiant heater tubes. Eng. Fail. Anal. 1999, 6, 101–112. [Google Scholar] [CrossRef]
- Pohland vom Schloß, H.; Lucka, K.; Köhne, H. Hochtemperaturkorrosion an metallischen Strahlheizrohren in Abgasatmosphäre. Gaswaerme Int. 2007, 56, 499–502. [Google Scholar]
- Tari, V.; Najafizadeh, A.; Aghaei, M.; Mazloumi, M. Failure analysis of ethylene cracking tube. J. Fail. Anal. Prev. 2009, 9, 316–322. [Google Scholar] [CrossRef]
- Ul-Hamid, A.; Tawancy, H.M.; Mohammed, A.-R.I.; Abbas, N.M. Failure analysis of furnace radiant tubes exposed to excessive temperature. Eng. Fail. Anal. 2006, 13, 1005–1021. [Google Scholar] [CrossRef]
- Illgner, K.H.; Sundermann, J. Untersuchung eines Falles von Hochtemperaturkorrosion an einem M-Strahlrohr. Gaswaerme Int. 2007, 56, 297–299. [Google Scholar]
- Saravanan, P.; Sahoo, G.; Srikanth, S.; Ravi, K. Failure analysis of radiant tube burners in continuous annealing line (CAL) of an integrated steel plant. J. Fail. Anal. Prev. 2011, 11, 286–292. [Google Scholar] [CrossRef]
- Zhu, Z.; Cheng, C.; Zhao, J.; Wang, L. High temperature corrosion and microstructure deterioration of KHR35H radiant tubes in continuous annealing furnace. Eng. Fail. Anal. 2012, 21, 59–66. [Google Scholar] [CrossRef]
- Palaniyandi, V.; Allsup, R.; Moser, R. Failure Analysis of HP-40 (mod Nb) Furnace Radiant Tube. In Proceedings of the Materials Science & Technology—Conference & Exhibition, Pittsburgh, PA, USA, 5–9 October 2008. [Google Scholar]
- Tsioumanis, N.; Brammer, J.G.; Hubert, J. Flow processes in a radiant tube burner: Combusting flow. Energy Convers. Manag. 2011, 52, 2667–2675. [Google Scholar] [CrossRef]
- Ahanj, M.D.; Rahimi, M.; Alsairafi, A.A. CFD modeling of a radiant tube heater. Int. Commun. Heat Mass Transfer 2012, 39, 432–438. [Google Scholar] [CrossRef]
- Wang, Y.; Li, J.; Zhang, L.; Ling, H.; Li, Y. Numerical simulation of the thermal process in a W-Shape radiant tube burner. JOM 2014, 66, 1253–1264. [Google Scholar] [CrossRef]
- Xu, Q.; Feng, J. Analysis of nozzle gas speed on the performance of the zoned and staged gas-fired radiant tube. Appl. Therm. Eng. 2017, 118, 734–741. [Google Scholar] [CrossRef]
- Xu, Q.; Feng, J.; Zhou, J.; Ding, C.; Bai, Z.; Zang, Y. Performance analysis of a novel W-type radiant tube. Appl. Therm. Eng. 2019, 152, 482–489. [Google Scholar] [CrossRef]
- Xu, Q.; Feng, J.; Zhou, J.; Liu, L.; Zang, Y.; Fan, H. Study of a new type of radiant tube based on the traditional M-type structure. Appl. Therm. Eng. 2019, 150, 849–857. [Google Scholar] [CrossRef]
- Irfan, M.A.; Chapman, W. Thermal stresses in radiant tubes due to axial, circumferential and radial temperature distributions. Appl. Therm. Eng. 2009, 29, 1913–1920. [Google Scholar] [CrossRef]
- Irfan, M.; Chapman, W. Thermal stresses in radiant tubes: A comparison between recuperative and regenerative systems. Appl. Therm. Eng. 2010, 30, 196–200. [Google Scholar] [CrossRef]
- Dini, G.; Vaghefi, S.M.M.; Lotfiani, M.; Jafari, M.; Safaei-Rad, M.; Navabi, M.; Abbasi, S. Computational and experimental failure analysis of continuous-annealing furnace radiant tubes exposed to excessive temperature. Eng. Fail. Anal. 2008, 15, 445–457. [Google Scholar] [CrossRef]
- Hellenkamp, M.; Pfeifer, H. Thermally induced stresses on radiant heating tubes including the effect of fluid–structure interaction. Appl. Therm. Eng. 2016, 94, 364–374. [Google Scholar] [CrossRef]
- Schmitz, N.; Hellenkamp, M.; Pfeifer, H.; Cresci, E.; Wünning, J.; Schönfelder, M. Radiant tube life improvement for vertical galvanizing lines. In Proceedings of the 10th International Conference on Zinc and Zinc Alloy Coated Steel, AIST Galvatech, Toronto, ON, Canada, 31 May–4 June 2015; pp. 473–480. [Google Scholar]
- Schmitz, N.; Schwotzer, C.; Pfeifer, H. Increasing lifetime of metallic recirculating radiant tubes. Heat Process. 2018, 1, 49–55. [Google Scholar]
- Caillat, S.; Pasquinet, C. Radiant tubes lifetime prediction in steel processing lines using fluid–structure interaction modelling. Energy Procedia 2017, 120, 596–603. [Google Scholar] [CrossRef]
- Karthik, N.K.; Schmitz, N.; Pfeifer, H.; Schwing, R.; Linn, S.; Kontermann, C.; Oechsner, M. Einfluss von Temperaturwechselbeanspruchung auf das Verformungsverhalten von Ofenkomponenten und deren Lebensdauer. Berg Huettenmaenn. Monatsh. 2019, 164, 364–371. [Google Scholar] [CrossRef]
- Karthik, N.K.; Schmitz, N.; Pfeifer, H. Effect of cyclic thermal loading on the lifetime of furnace components. In Proceedings of the ECHT—European Conference on Heat Treatment, Bardolino, Italy, 5–7 June 2019. [Google Scholar]
- Karthik, N.K.; Schmitz, N.; Pfeifer, H. Lebensdauer metallischer Ofenkomponenten bei Temperaturwechselbeanspruchung (Teil 1). Prozesswärme 2019, 2, 59–66. [Google Scholar]
- Schwing, R.; Linn, S.; Kontermann, C.; Oechsner, M. Zum Einfluss von Temperaturwechselbeanspruchungen auf das Kriechverhalten von hochwarmfesten metallischen Werkstoffen. In Proceedings of the 41. FVWHT-Vortragsveranstaltung, Düsseldorf, Germany, 30 November 2018. [Google Scholar]
- Schwing, R.; Linn, S.; Kontermann, C.; Oechsner, M. Lebensdauer metallischer Ofenkomponenten bei Temperaturwechselbeanspruchung (Teil 3). Prozesswärme 2019, 2, 59–65. [Google Scholar]
- Büschgens, D.; Karthik, N.K.; Schubert, C.; Schmitz, N.; Pfeifer, H. Investigation of the Influence of Proximal Radiation on the Thermal Stresses and Lifetime of Metallic Radiant Tubes in Radiation-Dominated Industrial Furnaces. HTM J. Heat Treatm. Mat. 2019, 74, 392–405. [Google Scholar] [CrossRef]
- Büschgens, D.; Lenz, W.; Pfeifer, H.; Strämke, M. Development of an Interactive Batch Planning System for Plasma Nitriding Furnaces. HTM J. Heat Treatm. Mat. 2019, 74, 136–147. [Google Scholar] [CrossRef]
- Hottel, H.C.; Sarofim, A.F. Radiative Transfer; McGraw Hill: New York, NY, USA, 1967; pp. 83–93. [Google Scholar]
- WS Wärmprozesstechnik GmbH: Prerequisities for the Installation of Radiant Tubes (in German). Version 132. 2001. Available online: https://flox.com/documents/de_Strahlrohreinbau.pdf (accessed on 19 December 2019).
- DIN EN 10025-2, Hot Rolled Products of Structural Steels—Part 2: Technical Delivery Conditions for Non-Alloy Structural Steels; German Version EN 10025-2:2019; BSI: London, UK, 2019.
- Karthik, N.K.; Schwing, R.; Linn, S.; Bittner, P.; Ackermann, H.; Diarra, D.; Oechsner, M.; Pfeifer, H. Einfluss thermischer Lastwechsel auf die Lebensdauer hochbelasteter Ofenkomponenten aus metallischen Hochtemperatur-Werkstoffen. In Schlussbericht IGF-Forschungsvorhaben 19068 N; Forschungsgemeinschaft Industrieofenbau (FOGI): Frankfurt am Main, Germany, 2019. [Google Scholar]
- Funkte, T.; Kirchhoff, R.; Oertel, H.; Rink, M. Messung der Emissionsgrade von Stählen und Ofenbaumaterialien in verschiedenen Atmosphären als prozeßbezogene Stoffdaten für Wärmebehandlungsanlagen. In Forschungsgemeinschaft Industrieofenbau Forschungsbericht 47-652; Forschungsgemeinschaft Industrieofenbau (FOGI): Frankfurt am Main, Germany, 1998. [Google Scholar]














| Model | Mesh Type | Type of Elements | Number of Elements | Solution Domain |
|---|---|---|---|---|
| FVM | 3-D volumetric | 100 % tetrahedral | 990 000 |
|
| CHT | 3-D surface | 100 % triangular | 12 355 |
|
| FEM | 3-D surface | 99.44 % quadratic 0.56 % triangular | 6 269 |
|
| Model | Software | Solving Approach | (Sub)Models |
|---|---|---|---|
| FVM | ANSYS Fluent® | Semi-Implicit Method for Pressure-Linked Equations |
|
| CHT | MATLAB® | Hottel’s zonal method |
|
| Abaqus® | Pure heat transfer analysis |
| |
| FEM | Abaqus® | Coupled-Temperature-Displacement | Material model consisting of:
|
| Burner-on Point | Burner-off Point | ||
|---|---|---|---|
| Strip | - isothermal - variable | 820 °C 800–10–820–830 °C | 850 °C 830–840–850–860 °C |
| Furnace chamber | - with strip - without strip | 860 °C 895 °C | 900 °C 940 °C |
| Case | Name | Setup | No. of Tubes | Arrangement | Strip | Burner Firing | |
|---|---|---|---|---|---|---|---|
| I | Ref | a | 1 | - | - | - | |
| II | WOSII | b | 2 | horizontal | - | sync | |
| III | WSII | async-Off wide | b | 2 | horizontal | wide | async-Off |
| IV | WSII | async-On wide | b | 2 | horizontal | wide | async-On |
| V | WSII | sync narrow | b | 2 | horizontal | narrow | sync |
| VI | WSII | sync wide | b | 2 | horizontal | wide | sync |
| VII | WSIII | sync vertical | d | 3 | vertical | wide | sync |
| VIII | WSIII | sync wide-iso | c | 3 | horizontal | wide, isothermal | sync |
| IX | WSIII | sync wide-var | c | 3 | horizontal | wide, variable | sync |
© 2020 by the authors. Licensee MDPI, Basel, Switzerland. This article is an open access article distributed under the terms and conditions of the Creative Commons Attribution (CC BY) license (http://creativecommons.org/licenses/by/4.0/).
Share and Cite
Büschgens, D.; Karthik, N.K.; Schmitz, N.; Pfeifer, H. Influence of Surroundings on Radiant Tube Lifetime in Indirect-Fired Vertical Strip Annealing Furnaces. Appl. Sci. 2020, 10, 1748. https://doi.org/10.3390/app10051748
Büschgens D, Karthik NK, Schmitz N, Pfeifer H. Influence of Surroundings on Radiant Tube Lifetime in Indirect-Fired Vertical Strip Annealing Furnaces. Applied Sciences. 2020; 10(5):1748. https://doi.org/10.3390/app10051748
Chicago/Turabian StyleBüschgens, Dominik, Narayana K. Karthik, Nico Schmitz, and Herbert Pfeifer. 2020. "Influence of Surroundings on Radiant Tube Lifetime in Indirect-Fired Vertical Strip Annealing Furnaces" Applied Sciences 10, no. 5: 1748. https://doi.org/10.3390/app10051748
APA StyleBüschgens, D., Karthik, N. K., Schmitz, N., & Pfeifer, H. (2020). Influence of Surroundings on Radiant Tube Lifetime in Indirect-Fired Vertical Strip Annealing Furnaces. Applied Sciences, 10(5), 1748. https://doi.org/10.3390/app10051748

