Brittle Failure of Nanoscale Notched Silicon Cantilevers: A Finite Fracture Mechanics Approach
Abstract
Featured Application
Abstract
1. Introduction
2. Materials and Methods
2.1. Fundamentals of FFM Approach for Blunt V-Notches
2.2. Review of Recent In Situ Experimental Tests
3. Results
4. Discussion
5. Conclusions
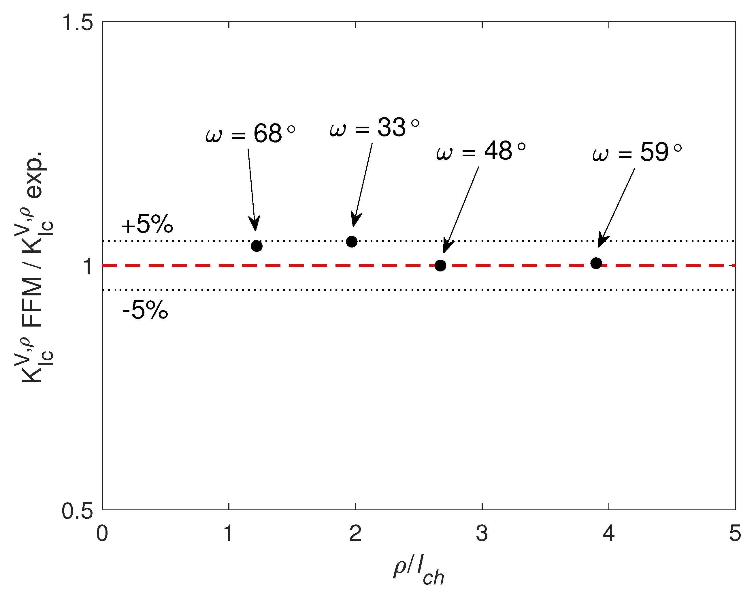
- The comparison with experimental tests shows that the FFM is able to predict the failure load of notched nano-cantilevers at the considered small scale (Figure 5). The agreement between experimental and theoretical apparent fracture toughness was excellent for all the opening angles and notch root radii considered, with a maximum discrepancy of 4.7%.
- The critical length nm agrees well with the critical distance and the singular stress field length available in the literature and at which continuum-based LEFM breaks down. The crack advancements obtained here are all well far from this value (Figure 4), further justifying the validity of the method.
- Moreover, for very small notch root radii, the apparent generalized fracture toughness deviates from the sharp case (Figure 3). The deviation is larger for small notch opening angles. When dealing with cracks, if attention is not paid in the realization of an ideally sharp crack-tip, an apparent size dependent fracture toughness may result from experimental tests.
- Based on the evidence presented in the current work, the FFM can be an extremely useful method to predict the static failure of micro and nanodevices made of ideal brittle materials. Further investigations should be done when dealing with semi-brittle materials.
- As further development, the extension of the method to the atomic scale is possible by substituting continuum stress and energy formulations with the virial stress and interatomic potential energy, respectively.
Author Contributions
Funding
Acknowledgments
Conflicts of Interest
References
- Sumigawa, T.; Kitamura, T. In-Situ Mechanical Testing of Nano-Component in TEM. In Transmission Electron Microscopy; Maaz, K., Ed.; IntechOpen: Rijeka, Hrvatska, 2012; pp. 355–380. [Google Scholar]
- Dehm, G.; Jaya, B.; Raghavan, R.; Kirchlechner, C. Overview on micro- and nanomechanical testing: New insights in interface plasticity and fracture at small length scales. Acta Mater. 2018, 142, 248–282. [Google Scholar] [CrossRef]
- Kheradmand, N.; Rogne, B.R.; Dumoulin, S.; Deng, Y.; Johnsen, R.; Barnoush, A. Small scale testing approach to reveal specific features of slip behavior in BCC metals. Acta Mater. 2019, 174, 142–152. [Google Scholar] [CrossRef]
- Pippan, R.; Wurster, S.; Kiener, D. Fracture mechanics of micro samples: Fundamental considerations. Mater. Des. 2018, 159, 252–267. [Google Scholar] [CrossRef]
- Fang, H.; Shiohara, R.; Sumigawa, T.; Kitamura, T. Size dependence of fatigue damage in sub-micrometer single crystal gold. Mater. Sci. Eng. A 2014, 618, 416–423. [Google Scholar] [CrossRef]
- Shimada, T.; Kitamura, T. Fracture Mechanics at Atomic Scales. In Advanced Structured Materials; Altenbach, H., Matsuda, T., Okumura, D., Eds.; Springer International Publishing: Cham, Switzerland, 2015; Volume 64, pp. 379–396. [Google Scholar] [CrossRef]
- Kitamura, T.; Sumigawa, T.; Shimada, T.; Lich, L.V. Challenge toward nanometer scale fracture mechanics. Eng. Fract. Mech. 2018, 187, 33–44. [Google Scholar] [CrossRef]
- Bitzek, E.; Kermode, J.R.; Gumbsch, P. Atomistic aspects of fracture. Int. J. Fract. 2015, 191, 13–30. [Google Scholar] [CrossRef]
- Malitckii, E.; Remes, H.; Lehto, P.; Yagodzinskyy, Y.; Bossuyt, S.; Hänninen, H. Strain accumulation during microstructurally small fatigue crack propagation in bcc Fe-Cr ferritic stainless steel. Acta Mater. 2018, 144, 51–59. [Google Scholar] [CrossRef]
- Horstemeyer, M.; Farkas, D.; Kim, S.; Tang, T.; Potirniche, G. Nanostructurally small cracks (NSC): A review on atomistic modeling of fatigue. Int. J. Fatigue 2010, 32, 1473–1502. [Google Scholar] [CrossRef]
- Kupka, D.; Huber, N.; Lilleodden, E.T. A combined experimental-numerical approach for elasto-plastic fracture of individual grain boundaries. J. Mech. Phys. Solids 2014, 64, 455–467. [Google Scholar] [CrossRef][Green Version]
- Lee, G.H.; Chung, Y.J.; Na, S.M.; Beom, H.G. Atomistic investigation of the T-stress effect on fracture toughness of copper and aluminum single crystals. J. Mech. Sci. Technol. 2018, 32, 3765–3774. [Google Scholar] [CrossRef]
- Sorensen, D.; Hintsala, E.; Stevick, J.; Pischlar, J.; Li, B.; Kiener, D.; Myers, J.C.; Jin, H.; Liu, J.; Stauffer, D.; et al. Intrinsic toughness of the bulk-metallic glass Vitreloy 105 measured using micro-cantilever beams. Acta Mater. 2020, 183, 242–248. [Google Scholar] [CrossRef]
- Yan, Y.; Sumigawa, T.; Wang, X.; Chen, W.; Xuan, F.; Kitamura, T. Fatigue curve of microscale single-crystal copper: An in situ SEM tension-compression study. Int. J. Mech. Sci. 2020, 171, 105361. [Google Scholar] [CrossRef]
- Shimada, T.; Ouchi, K.; Chihara, Y.; Kitamura, T. Breakdown of Continuum Fracture Mechanics at the Nanoscale. Sci. Rep. 2015, 5, 8596. [Google Scholar] [CrossRef] [PubMed]
- Gallo, P.; Sumigawa, T.; Shimada, T.; Yan, Y.; Kitamura, T. Investigation into the Breakdown of Continuum Fracture Mechanics at the Nanoscale: Synthesis of Recent Results on Silicon. In Proc. First Int. Conf. Theor. Appl. Exp. Mech.; Gdoutos, E.E., Ed.; Springer International Publishing: Cham, Switzerland, 2019; pp. 205–210. [Google Scholar] [CrossRef]
- Gallo, P.; Hagiwara, Y.; Shimada, T.; Kitamura, T. Strain energy density approach for brittle fracture from nano to macroscale and breakdown of continuum theory. Theor. Appl. Fract. Mech. 2019, 103, 102300. [Google Scholar] [CrossRef]
- Liu, F.; Tang, Q.; Wang, T.C. Intrinsic Notch Effect Leads to Breakdown of Griffith Criterion in Graphene. Small 2017, 1700028, 1–8. [Google Scholar] [CrossRef]
- Sumigawa, T.; Ashida, S.; Tanaka, S.; Sanada, K.; Kitamura, T. Fracture toughness of silicon in nanometer-scale singular stress field. Eng. Fract. Mech. 2015, 150, 161–167. [Google Scholar] [CrossRef]
- Gallo, P. On the Crack-Tip Region Stress Field in Molecular Systems: The Case of Ideal Brittle Fracture. Adv. Theory Simulations 2019, 2, 1900146. [Google Scholar] [CrossRef]
- Singh, G.; Kermode, J.R.; De Vita, A.; Zimmerman, R.W. Validity of linear elasticity in the crack-tip region of ideal brittle solids. Int. J. Fract. 2014, 189, 103–110. [Google Scholar] [CrossRef]
- Sumigawa, T.; Shimada, T.; Tanaka, S.; Unno, H.; Ozaki, N.; Ashida, S.; Kitamura, T. Griffith Criterion for Nanoscale Stress Singularity in Brittle Silicon. ACS Nano 2017, 11, 6271–6276. [Google Scholar] [CrossRef]
- Huang, K.; Shimada, T.; Ozaki, N.; Hagiwara, Y.; Sumigawa, T.; Guo, L.; Kitamura, T. A unified and universal Griffith-based criterion for brittle fracture. Int. J. Solids Struct. 2017, 128, 67–72. [Google Scholar] [CrossRef]
- Yin, H.; Qi, H.J.; Fan, F.; Zhu, T.; Wang, B.; Wei, Y. Griffith criterion for brittle fracture in graphene. Nano Lett. 2015, 15, 1918–1924. [Google Scholar] [CrossRef] [PubMed]
- Huang, K.; Sumigawa, T.; Kitamura, T. Load-dependency of damage process in tension-compression fatigue of microscale single-crystal copper. Int. J. Fatigue 2020, 133, 105415. [Google Scholar] [CrossRef]
- Gallo, P.; Sumigawa, T.; Kitamura, T.; Berto, F. Static assessment of nanoscale notched silicon beams using the averaged strain energy density method. Theor. Appl. Fract. Mech. 2018, 95, 261–269. [Google Scholar] [CrossRef]
- Gallo, P.; Sumigawa, T.; Kitamura, T. Experimental characterization at nanoscale of single crystal silicon fracture toughness. Frat. Ed Integrità Strutt. 2019, 13, 408–415. [Google Scholar] [CrossRef]
- Taylor, D. The Theory of Critical Distances: A link to micromechanisms. Theor. Appl. Fract. Mech. 2017, 90, 228–233. [Google Scholar] [CrossRef]
- Susmel, L.; Taylor, D. The theory of critical distances to predict static strength of notched brittle components subjected to mixed-mode loading. Eng. Fract. Mech. 2008, 75, 534–550. [Google Scholar] [CrossRef]
- Gallo, P.; Yan, Y.; Sumigawa, T.; Kitamura, T. Fracture Behavior of Nanoscale Notched Silicon Beams Investigated by the Theory of Critical Distances. Adv. Theory Simulat. 2018, 1, 1700006. [Google Scholar] [CrossRef]
- Ando, T.; Li, X.; Nakao, S.; Kasai, T.; Tanaka, H.; Shikida, M.; Sato, K. Fracture toughness measurement of thin-film silicon. Fatigue Fract. Eng. Mater. Struct. 2005, 28, 687–694. [Google Scholar] [CrossRef]
- Saxena, A.K.; Brinckmann, S.; Völker, B.; Dehm, G.; Kirchlechner, C. Experimental conditions affecting the measured fracture toughness at the microscale: Notch geometry and crack extension measurement. Mater. Des. 2020, 108582. [Google Scholar] [CrossRef]
- Liu, Y.; Deng, C.; Gong, B. Discussion on equivalence of the theory of critical distances and the coupled stress and energy criterion for fatigue limit prediction of notched specimens. Int. J. Fatigue 2020, 131, 105326. [Google Scholar] [CrossRef]
- Leguillon, D. Strength or toughness? A criterion for crack onset at a notch. Eur. J. Mech. A/Solids 2002, 21, 61–72. [Google Scholar] [CrossRef]
- Carpinteri, A.; Cornetti, P.; Pugno, N.; Sapora, A.; Taylor, D. A finite fracture mechanics approach to structures with sharp V-notches. Eng. Fract. Mech. 2008, 75, 1736–1752. [Google Scholar] [CrossRef]
- Carpinteri, A.; Cornetti, P.; Sapora, A. Brittle failures at rounded V-notches: A finite fracture mechanics approach. Int. J. Fract. 2011, 172, 1–8. [Google Scholar] [CrossRef]
- Sapora, A.; Cornetti, P.; Carpinteri, A.; Firrao, D. An improved Finite Fracture Mechanics approach to blunt V-notch brittle fracture mechanics: Experimental verification on ceramic, metallic, and plastic materials. Theor. Appl. Fract. Mech. 2015, 78, 20–24. [Google Scholar] [CrossRef]
- Mantič, V. Interface crack onset at a circular cylindrical inclusion under a remote transverse tension. Application of a coupled stress and energy criterion. Int. J. Solids Struct. 2009, 46, 1287–1304. [Google Scholar] [CrossRef]
- Felger, J.; Rosendahl, P.; Leguillon, D.; Becker, W. Predicting crack patterns at bi-material junctions: A coupled stress and energy approach. Int. J. Solids Struct. 2019, 164, 191–201. [Google Scholar] [CrossRef]
- Yosibash, Z.; Mittelman, B. A 3-D failure initiation criterion from a sharp V-notch edge in elastic brittle structures. Eur. J. Mech. A/Solids 2016, 60, 70–94. [Google Scholar] [CrossRef]
- Brochard, L.; Tejada, I.G.; Sab, K. From yield to fracture, failure initiation captured by molecular simulation. J. Mech. Phys. Solids 2016, 95, 632–646. [Google Scholar] [CrossRef]
- Sapora, A.; Cornetti, P. Crack onset and propagation stability from a circular hole under biaxial loading. Int. J. Fract. 2018, 214, 97–104. [Google Scholar] [CrossRef]
- Sapora, A.; Cornetti, P.; Campagnolo, A.; Meneghetti, G. Fatigue limit: Crack and notch sensitivity by Finite Fracture Mechanics. Theor. Appl. Fract. Mech. 2020, 105, 102407. [Google Scholar] [CrossRef]
- Torabi, A.R.; Berto, F.; Sapora, A. Finite Fracture Mechanics Assessment in Moderate and Large Scale Yielding Regimes. Metals (Basel) 2019, 9, 602. [Google Scholar] [CrossRef]
- Cornetti, P.; Sapora, A.; Carpinteri, A. Short cracks and V-notches: Finite Fracture Mechanics vs. Cohesive Crack Model. Eng. Fract. Mech. 2016, 168, 2–12. [Google Scholar] [CrossRef]
- Cornetti, P.; Muñoz-Reja, M.; Sapora, A.; Carpinteri, A. Finite fracture mechanics and cohesive crack model: Weight functions vs. cohesive laws. Int. J. Solids Struct. 2019, 156–157, 126–136. [Google Scholar] [CrossRef]
- Doitrand, A.; Estevez, R.; Leguillon, D. Comparison between cohesive zone and coupled criterion modeling of crack initiation in rhombus hole specimens under quasi-static compression. Theor. Appl. Fract. Mech. 2019, 99, 51–59. [Google Scholar] [CrossRef]
- Gentieu, T.; Jumel, J.; Catapano, A.; Broughton, J. Size effect in particle debonding: Comparisons between finite fracture mechanics and cohesive zone model. J. Compos. Mater. 2019, 53, 1941–1954. [Google Scholar] [CrossRef]
- Filippi, S.; Lazzarin, P.; Tovo, R. Developments of some explicit formulas useful to describe elastic stress fields ahead of notches in plates. Int. J. Solids Struct. 2002, 39, 4543–4565. [Google Scholar] [CrossRef]
- Sapora, A.; Cornetti, P.; Carpinteri, A. Cracks at rounded V-notch tips: An analytical expression for the stress intensity factor. Int. J. Fract. 2014, 187, 285–291. [Google Scholar] [CrossRef]
- Lazzarin, P.; Campagnolo, A.; Berto, F. A comparison among some recent energy- and stress-based criteria for the fracture assessment of sharp V-notched components under Mode I loading. Theor. Appl. Fract. Mech. 2014, 71, 21–30. [Google Scholar] [CrossRef]
- Pugno, N.M.; Ruoff, R.S. Quantized fracture mechanics. Philos. Mag. 2004, 84, 2829–2845. [Google Scholar] [CrossRef]
- Cicero, S.; Fuentes, J.; Procopio, I.; Madrazo, V.; González, P. Critical Distance Default Values for Structural Steels and a Simple Formulation to Estimate the Apparent Fracture Toughness in U-Notched Conditions. Metals (Basel) 2018, 8, 871. [Google Scholar] [CrossRef]
- Yang, J.; Komvopoulos, K. A stress analysis method for molecular dynamics systems. Int. J. Solids Struct. 2020. [Google Scholar] [CrossRef]
- Wang, Y.; Fritz, R.; Kiener, D.; Zhang, J.; Liu, G.; Kolednik, O.; Pippan, R.; Sun, J. Fracture behavior and deformation mechanisms in nanolaminated crystalline/amorphous micro-cantilevers. Acta Mater. 2019, 180, 73–83. [Google Scholar] [CrossRef]





| (deg) | m | (0) | |||
|---|---|---|---|---|---|
| 0 | 1.82 | 0.5000 | −0.5000 | 1.000 | 1.000 |
| 33 | 1.45 | 0.5021 | −0.4515 | 1.035 | 1.005 |
| 48 | 1.38 | 0.5040 | −0.4285 | 1.007 | 1.010 |
| 59 | 1.35 | 0.5075 | −0.4105 | 0.9700 | 1.017 |
| 68 | 1.34 | 0.5122 | −0.3950 | 0.9310 | 1.030 |
| 150 | 1.22 | 0.7520 | −0.1624 | 0.2882 | 1.394 |
| Sample | (deg) | (nm) | a (nm) | d (nm) | S (nm) | L (nm) | B (nm) | W (nm) | (µN) |
|---|---|---|---|---|---|---|---|---|---|
| 1 | 33 | ≈10 | 155 | 217 | 837 | 1307 | 494 | 502 | 45.33 |
| 2 | 48 | ≈14 | 161 | 96 | 682 | 1019 | 529 | 544 | 84.80 |
| 3 | 59 | ≈20 | 179 | 119 | 651 | 1201 | 484 | 495 | 65.11 |
| 4 | 68 | ≈6 | 144 | 87 | 875 | 1252 | 454 | 456 | 30.84 |
| (deg) | (nm) | (nm) | ||
|---|---|---|---|---|
| 33 | 1.97 | 3.27 | 2.64 | 0.806 |
| 48 | 2.67 | 3.25 | 2.62 | 0.807 |
| 59 | 3.90 | 3.23 | 2.60 | 0.805 |
| 68 | 1.22 | 3.17 | 2.83 | 0.894 |
| (deg) | FFM | exp. | ||
|---|---|---|---|---|
| 33 | 1.97 | 1.04 | 1.50 | 1.43 |
| 48 | 2.67 | 1.08 | 1.70 | 1.70 |
| 59 | 3.90 | 1.15 | 2.05 | 2.04 |
| 68 | 1.22 | 1.25 | 1.56 | 1.50 |
© 2020 by the authors. Licensee MDPI, Basel, Switzerland. This article is an open access article distributed under the terms and conditions of the Creative Commons Attribution (CC BY) license (http://creativecommons.org/licenses/by/4.0/).
Share and Cite
Gallo, P.; Sapora, A. Brittle Failure of Nanoscale Notched Silicon Cantilevers: A Finite Fracture Mechanics Approach. Appl. Sci. 2020, 10, 1640. https://doi.org/10.3390/app10051640
Gallo P, Sapora A. Brittle Failure of Nanoscale Notched Silicon Cantilevers: A Finite Fracture Mechanics Approach. Applied Sciences. 2020; 10(5):1640. https://doi.org/10.3390/app10051640
Chicago/Turabian StyleGallo, Pasquale, and Alberto Sapora. 2020. "Brittle Failure of Nanoscale Notched Silicon Cantilevers: A Finite Fracture Mechanics Approach" Applied Sciences 10, no. 5: 1640. https://doi.org/10.3390/app10051640
APA StyleGallo, P., & Sapora, A. (2020). Brittle Failure of Nanoscale Notched Silicon Cantilevers: A Finite Fracture Mechanics Approach. Applied Sciences, 10(5), 1640. https://doi.org/10.3390/app10051640

