Numerical Study on Hysteretic Behaviour of Horizontal-Connection and Energy-Dissipation Structures Developed for Prefabricated Shear Walls
Abstract
Featured Application
Abstract
1. Introduction
1.1. Research Status of the Connection for the Prefabricated Shear Wall System
1.2. Research Status of the Shear-Type Metal Damper
2. The Mechanism of the HES
2.1. General Concepts
2.2. The Expected Failure Mode of the HES
3. Model Development and Validation
3.1. Finite Element Model for The HESs
3.2. Material Constitutive Models
3.3. Validation of the Finite Element Model
3.3.1. Verification
3.3.2. The Simulation of the Double-Step Performance of the HESs
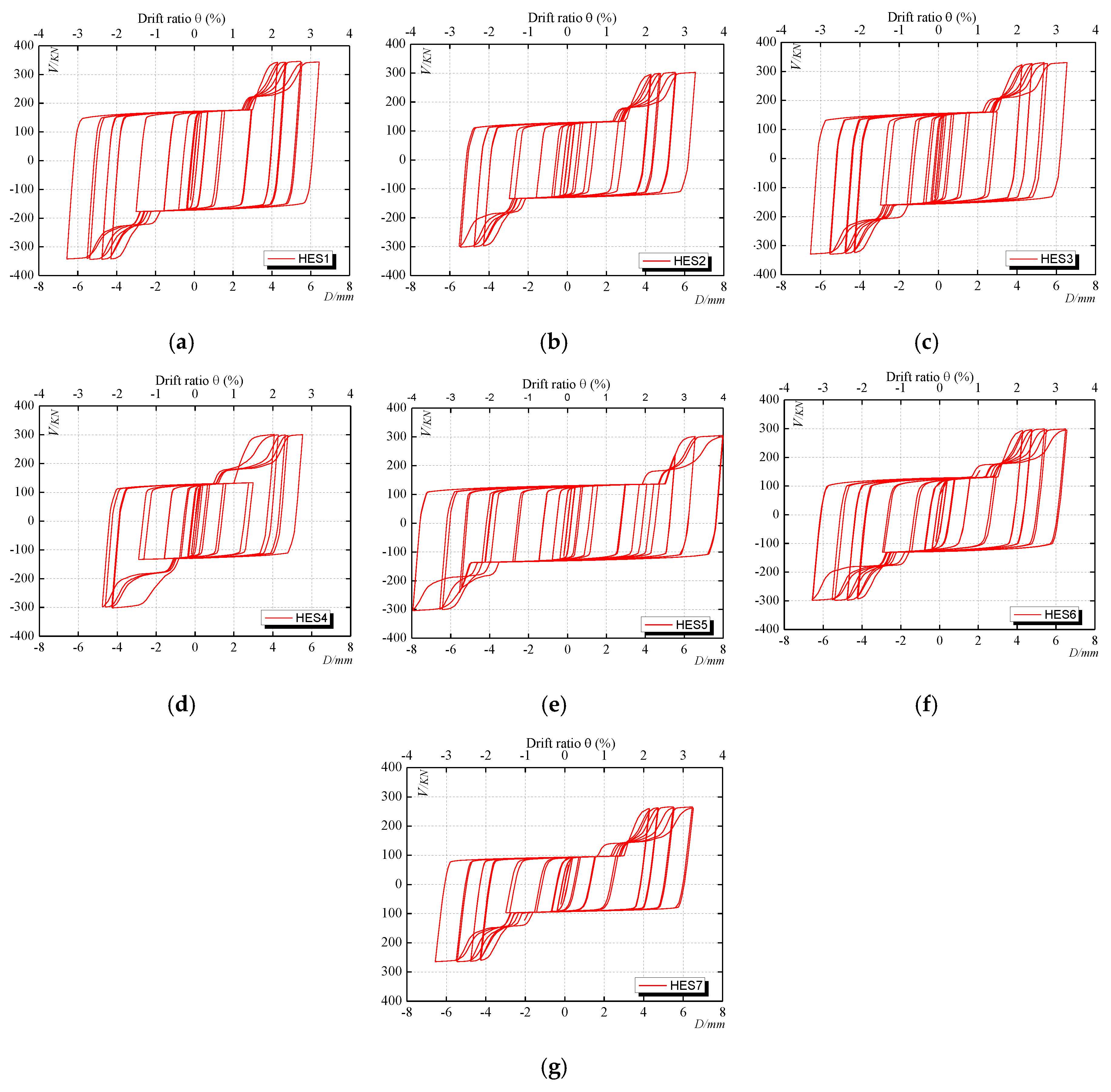
3.3.3. The Typical Hysteric Behavior of the HESs
4. Parametric Analysis
4.1. Parameter Analysis Under Monotonic Load
4.1.1. The Investigation on the Influence of the Shape of the Steel Plate in the ED Zone
4.1.2. The Influence of the Width-Thickness Ratio of the Steel Plate in the ED Zone
4.1.3. The Shear Stiffness Lifting Control System
4.2. Simulated Hysteretic Curves
4.3. Skeleton Curves
4.4. The Energy Dissipation Ability of the ED Zone
5. Summary and Conclusions
Author Contributions
Funding
Acknowledgments
Conflicts of Interest
References
- Jiang, B.Y.; Li, H.X.; Dong, L.; Wang, Y.; Tao, Y.Q. Cradle-to-Site Carbon Emissions Assessment of Prefabricated Rebar Cages for High-Rise Buildings in China. Sustainability 2019, 11, 42. [Google Scholar] [CrossRef]
- Wu, G.B.; Yang, R.; Li, L.; Bi, X.; Liu, B.S.; Li, S.Y.; Zhou, S.X. Factors influencing the application of prefabricated construction in China: From perspectives of technology promotion and cleaner production. J. Clean. Prod. 2019, 219, 753–762. [Google Scholar] [CrossRef]
- Wu, H.J.; Qian, Q.K.; Straub, A.; Visscher, H. Exploring transaction costs in the prefabricated housing supply chain in China. J. Clean. Prod. 2019, 226, 550–563. [Google Scholar] [CrossRef]
- Kurama, Y.C.; Sritharan, S.; Fleischman, R.B.; Restrepo, J.I.; Henry, R.S.; Cleland, N.M.; Ghosh, S.K.; Bonelli, P. Seismic-Resistant Precast Concrete Structures: State of the Art. J. Struct. Eng. 2018, 144. [Google Scholar] [CrossRef]
- Brunesi, E.; Nascimbene, R. Experimental and numerical investigation of the seismic response of precast wall connections. Bull. Earthq. Eng. 2017, 15, 5511–5550. [Google Scholar] [CrossRef]
- Farhat, M.; Issa, M. Design principles of totally prefabricated counterfort retaining wall system compared with existing cast-in-place concrete structures. PCI J. 2017, 62, 89–106. [Google Scholar]
- Han, C.; Li, Q.N.; Jiang, W.S.; Yin, J.H.; Yan, L. Pseudo-dynamic test of the steel frame―Shear wall with prefabricated floor structure. Steel Compos. Struct. 2016, 20, 431–445. [Google Scholar] [CrossRef]
- Sun, J.; Qiu, H.X.; Xu, J.P. Experimental Verification of Vertical Joints in an Innovative Prefabricated Structural Wall System. Adv. Struct. Eng. 2015, 18, 1071–1086. [Google Scholar] [CrossRef]
- Shemie, M. Bolted connections in large panel system buildings. PCI J. 1973, 18, 27–33. [Google Scholar] [CrossRef]
- Zhu, Y.; Liu, Y.; Rui, C.; Guan, Q.; Shou, G. The Model Test of Large Panel Multistory Building under Horizontal Load. J. Build. Struct. 1980, 1, 31–46. [Google Scholar]
- Noel, M.; Soudki, K. Shear behavior of post-tensioned FRP-reinforced concrete slabs under static and fatigue loading. Constr. Build. Mater. 2014, 69, 186–195. [Google Scholar] [CrossRef]
- Sun, J.; Qiu, H.X.; Jiang, H.B. Lateral load behaviour of a rectangular precast shear wall involving vertical bolted connections. Adv. Struct. Eng. 2019, 22, 1211–1224. [Google Scholar] [CrossRef]
- Smith, B.J.; Kurama, Y.C. Behavior of precast concrete shear walls for seismic regions: Comparison of hybrid and emulative specimens. J. Struct. Eng. 2012, 139, 1917–1927. [Google Scholar] [CrossRef]
- Vaghei, R.; Hejazi, F.; Taheri, H.; Jaafar, M.S.; Ali, A.A.A. A new precast wall connection subjected to monotonic loading. Comput. Concr. 2016, 17, 1–27. [Google Scholar] [CrossRef]
- Vaghei, R.; Hejazi, F.; Firoozi, A.A.; Jaafar, M.S. Performance of Loop Connection in Precast Concrete Walls Subjected to Lateral Loads. Int. J. Civ. Eng. 2019, 17, 397–426. [Google Scholar] [CrossRef]
- Zhao, W.J.; Guo, W.N.; Jin, Q. State of the art research on connection type of vertical components for precast concrete shear wall systems. Ind. Constr. 2014, 44, 115–121. [Google Scholar]
- Son, G.W.; Ha, S.K.; Song, G.T.; Yu, S.Y. Shear Tests on Subassemblies Representing the Multi-anchored Connection between PC Wall Panels and RC Frames. Ksce J. Civ. Eng. 2018, 22, 5164–5177. [Google Scholar] [CrossRef]
- Jiang, S.F.; Lian, S.H.; Zhao, J.; Li, X.; Ma, S.L. Influence of a New Form of Bolted Connection on the Mechanical Behaviors of a PC Shear Wall. Appl. Sci. 2018, 8, 1381. [Google Scholar] [CrossRef]
- Moreschi, L.M.; Singh, M.P. Design of yielding metallic and friction dampers for optimal seismic performance. Earthq. Eng. Struct. Dyn. 2003, 32, 1291–1311. [Google Scholar] [CrossRef]
- Zhang, C.W. Dynamic test and constitutive model of 225MPa low yield point steel material and its energy absorption ability. Int. J. Protective Struct. 2011, 2, 527–540. [Google Scholar] [CrossRef]
- Whittaker, A.S.; Bertero, V.V.; Thompson, C.L. Seismic testing of steel plate energy dissipation devices. Earthq. Spectra 1991, 7, 563–604. [Google Scholar] [CrossRef]
- Zhang, C.F.; Zhang, Z.S.; Shi, J.F. Development of high deformation capacity low yield strength steel shear panel damper. J. Constr. Steel Res. 2012, 75, 116–130. [Google Scholar] [CrossRef]
- Abebe, D.Y.; Jeong, S.J.; Kim, J.W. Analytical Study on Large Deformation in Shear Panel Hysteresis Damper Using low Yield Point Steel[C]. In Proceedings of the New Zealand Society for ‘Earthquake Engineering Technical Conference and AGM, Wellington, NZ, USA, 26–28 April 2013; pp. 26–28. [Google Scholar]
- Abebe, D.Y.; Choi, J.H.; Jeong, S.J. Effect of Width-to-Thickness Ratio on Large Deformation in Shear Panel Hysteresis Damper Using Low Yield Point Steel[C]. Appl. Mech. Mater. Trans Tech Publ. 2014, 446, 1460–1465. [Google Scholar] [CrossRef]
- Abebe, D.Y.; Jeong, S.J.; Getahune, B.M. Hysteretic characteristics of shear panel damper made of low yield point steel. Mater. Res. Innov. 2015, 19, S5-902–S5-910. [Google Scholar] [CrossRef]
- Mortezagholi, M.H.; Zahrai, S.M. Proposed Relationship for Proper Shear Strength of Elliptical Damper Based on Its Geometrical Parameters. Int. J. Steel Struct. 2018. [Google Scholar] [CrossRef]
- Zahrai, S.M.; Mortezagholi, H.M. Cyclic Performance of an Elliptical-Shaped Damper with Shear Diaphragms in Chevron Braced Steel Frames. J. Earthq. Eng. 2018, 22, 1209–1232. [Google Scholar] [CrossRef]
- Cheng, S.L.; Du, S.Y.; Yan, X.S.; Guo, Q.; Xin, Y.J. Experimental study and numerical simulation of clapboard lead damper. Proc. Inst. Mech. Eng. Part C J. Mech. Eng. Sci. 2017, 231, 1688–1698. [Google Scholar] [CrossRef]
- Jamkhaneh, M.E.; Ebrahimi, A.H.; Amiri, M.S. Experimental and Numerical Investigation of Steel Moment Resisting Frame with U-Shaped Metallic Yielding Damper. Int. J. Steel Struct. 2019, 19, 806–818. [Google Scholar] [CrossRef]
- Lin, X.C.; Wu, K.L.; Skalomenos, K.A.; Lu, L.; Zhao, S.L. Development of a buckling-restrained shear panel damper with demountable steel-concrete composite restrainers. Soil Dyn. Earthq. Eng. 2019, 118, 221–230. [Google Scholar] [CrossRef]
- Zhu, B.J.; Wang, T.; Zhang, L.X. Quasi-static test of assembled steel shear panel dampers with optimized shapes. Eng. Struct. 2018, 172, 346–357. [Google Scholar] [CrossRef]
- Belleri, A.; Marini, A.; Riva, P.; Nascimbene, R. Dissipating and re-centring devices for portal-frame precast structures. Eng. Struct. 2017, 150, 736–745. [Google Scholar] [CrossRef]
- Mazza, F.; Vulcano, A. Displacement-based design procedure of damped braces for the seismic retrofitting of r.c. framed buildings. Bull. Earthq. Eng. 2014, 13, 2121–2143. [Google Scholar] [CrossRef]
- Mazza, F. A simplified retrofitting method based on seismic damage of a SDOF system equivalent to a damped braced building. Eng. Struct. 2019, 200, 109712. [Google Scholar] [CrossRef]
- Rawlinson, T.A.; Marshall, J.D.; Ryan, K.L.; Zargar, H. Development and experimental evaluation of a passive gap damper device to prevent pounding in base-isolated structures. Earthq. Eng. Struct. Dyn. 2015, 44, 1661–1675. [Google Scholar] [CrossRef]
- De Domenico, D.; Gandelli, E.; Quaglini, V. Effective base isolation combining low-friction curved surface sliders and hysteretic gap dampers. Soil Dyn. Earthq. Eng. 2020, 130, 105989. [Google Scholar] [CrossRef]
- Sun, L.; Li, C.; Li, J.; Zhang, C.; Ding, X. Strain Transfer Analysis of a Clamped Fiber Bragg Grating Sensor. Appl. Sci. 2017, 7, 188. [Google Scholar] [CrossRef]
- Sun, L.; Hao, H.; Zhang, B.; Ren, X.; Li, J. Strain Transfer Analysis of Embedded Fiber Bragg Grating Strain Sensor. Journal of Testing and Evaluation 2016, 44, 2312–2320. [Google Scholar] [CrossRef]
- Xu, L.Y.; Nie, X.; Fan, J.S. Cyclic behaviour of low-yield-point steel shear panel dampers. Eng. Struct. 2016, 126, 391–404. [Google Scholar] [CrossRef]
- Li, D.X.; Uy, R.A.; Wang, J. Behaviour and design of high-strength steel beam-to-column joints. Steel Compos. Struct. 2019, 31, 303–317. [Google Scholar] [CrossRef]
- Zhang, C.; Zhu, T.; Wang, L. Ultra-low cycle fatigue performance evaluation of the miniaturized low yield strength steel shear panel damper. J. Constr. Steel Res. 2017, 135, 277–284. [Google Scholar] [CrossRef]
- Zhang, C.; An, D.; Zhu, L. Axial Compressive Behavior of Steel-Damping-Concrete Composite Wall. Appl. Sci. 2019, 9, 4679. [Google Scholar] [CrossRef]
- Zhu, L.; Zhang, C.; Guan, X.; Uy, B.; Sun, L.; Wang, B. The multi-axial strength performance of composite structural B-C-W members subjected to shear forces. Steel and Composite Structures 2018, 27, 75–87. [Google Scholar] [CrossRef]
















| The Typical Dimensions for All HES Specimens (mm) | |||||||||||||
|---|---|---|---|---|---|---|---|---|---|---|---|---|---|
| b | H | t | a | h | hc | tc | ba | ha | ta | bf | hf | tf | |
| The HESs | 330 | 380 | 400 | 65 | 20 | 70 | 10 | 40 | 200 | 56 | 200 | 140 | 10 |
| No. | The Geometric Parameters of HES Specimens (mm) | |||||||||||||
|---|---|---|---|---|---|---|---|---|---|---|---|---|---|---|
| bw | hw | tw | bt | ht | tt | R1 | R2 | D(R1 - R2) | R3 | bw1 | hw1 | bw2 | hw2 | |
| HES1 | 200 | 200 | 10 | 200 | 330 | 16 | 11 | 8 | 3 | - | - | - | - | - |
| HES2 | 200 | 200 | 10 | 200 | 330 | 16 | 11 | 8 | 3 | - | 50 | 100 | - | - |
| HES3 | 200 | 200 | 12 | 200 | 330 | 16 | 11 | 8 | 3 | - | 50 | 100 | - | - |
| HES4 | 200 | 200 | 10 | 200 | 330 | 16 | 10 | 8 | 2 | - | - | - | - | - |
| HES5 | 200 | 200 | 10 | 200 | 330 | 16 | 13 | 8 | 5 | - | - | - | - | - |
| HES6 | 200 | 200 | 10 | 200 | 330 | 16 | 11 | 8 | 3 | - | - | - | 50 | 50 |
| HES7 | 200 | 200 | 10 | 200 | 330 | 16 | 11 | 8 | 3 | 50 | - | - | - | - |
| NO. | The Surface Area (mm2) | The Initial Stiffness (KN/mm) | Yield Load (KN) | Yield Displacement (mm) |
|---|---|---|---|---|
| HES1 | 4.00 | 525.19 | 160.05 | 0.304 |
| HES2 | 3.00 | 458.13 | 116.19 | 0.253 |
| HES6 | 3.50 | 370.01 | 95.78 | 0.258 |
| HES7 | 3.21 | 319.78 | 70.63 | 0.221 |
© 2020 by the authors. Licensee MDPI, Basel, Switzerland. This article is an open access article distributed under the terms and conditions of the Creative Commons Attribution (CC BY) license (http://creativecommons.org/licenses/by/4.0/).
Share and Cite
Zhu, L.; Kong, L.; Zhang, C. Numerical Study on Hysteretic Behaviour of Horizontal-Connection and Energy-Dissipation Structures Developed for Prefabricated Shear Walls. Appl. Sci. 2020, 10, 1240. https://doi.org/10.3390/app10041240
Zhu L, Kong L, Zhang C. Numerical Study on Hysteretic Behaviour of Horizontal-Connection and Energy-Dissipation Structures Developed for Prefabricated Shear Walls. Applied Sciences. 2020; 10(4):1240. https://doi.org/10.3390/app10041240
Chicago/Turabian StyleZhu, Limeng, Lingmao Kong, and Chunwei Zhang. 2020. "Numerical Study on Hysteretic Behaviour of Horizontal-Connection and Energy-Dissipation Structures Developed for Prefabricated Shear Walls" Applied Sciences 10, no. 4: 1240. https://doi.org/10.3390/app10041240
APA StyleZhu, L., Kong, L., & Zhang, C. (2020). Numerical Study on Hysteretic Behaviour of Horizontal-Connection and Energy-Dissipation Structures Developed for Prefabricated Shear Walls. Applied Sciences, 10(4), 1240. https://doi.org/10.3390/app10041240

