Ultrafast X-ray Photochemistry at European XFEL: Capabilities of the Femtosecond X-ray Experiments (FXE) Instrument
Abstract
Featured Application
Abstract
1. Introduction
2. Scientific Instrument FXE for Chemical Dynamics Studies
2.1. From the Undulator Exit to the Experimental Hall
2.2. FXE Instrumentation and Capabilities
2.3. The Pump Laser System and Synchronization
3. Chemistry Applications under Ambient Conditions
3.1. Femtosecond X-ray Emission Capabilities
3.2. Femtosecond Forward Scattering Capabilities
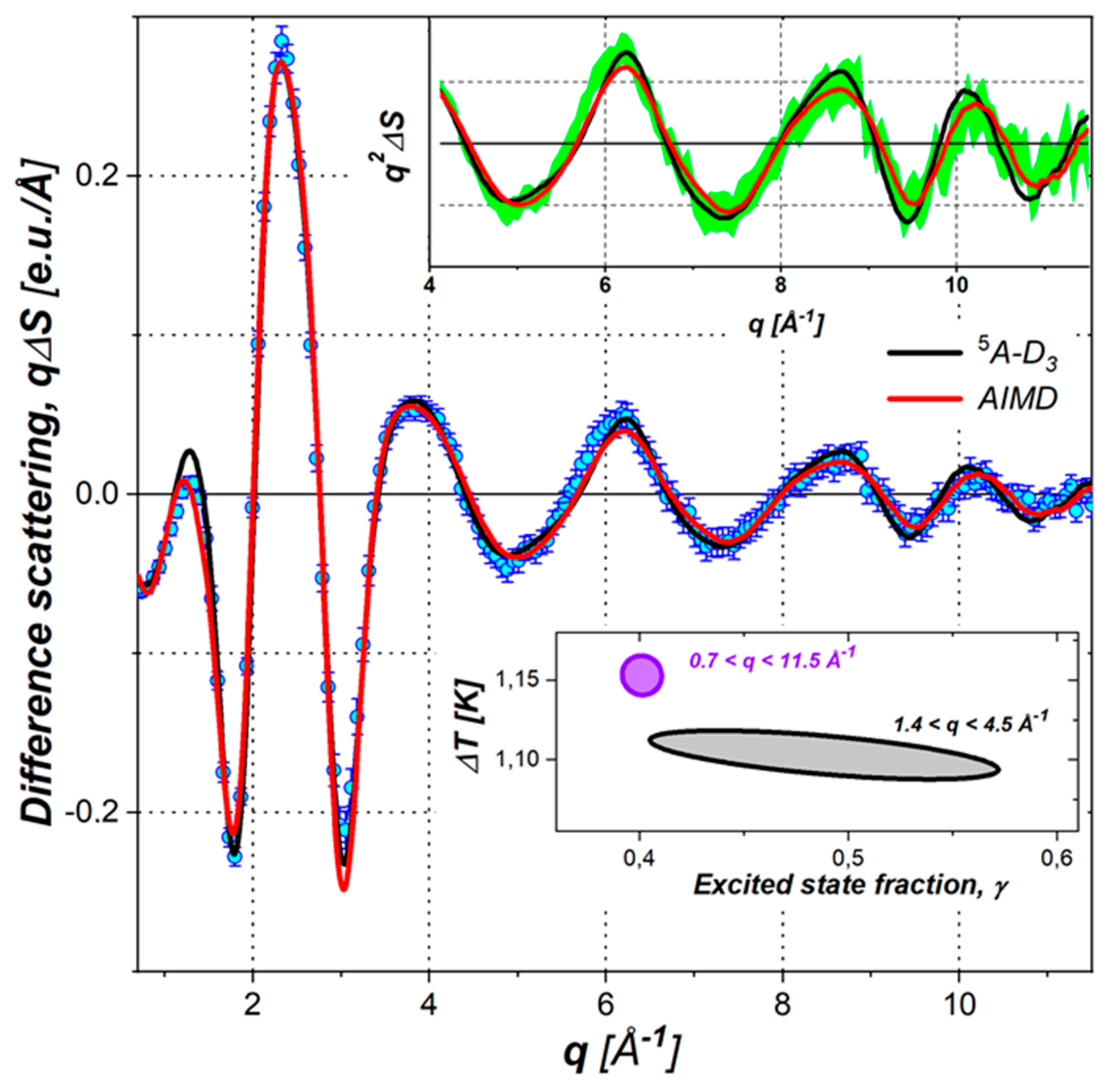
3.3. Potential for Enhanced Sensitivity and Resolution of WAXS
3.4. Towards Femtosecond XANES and Advanced Spectroscopic Techniques
4. Conclusions
Author Contributions
Funding
Acknowledgments
Conflicts of Interest
References
- Zewail, A.H. Femtochemistry: Atomic-Scale Dynamics of the Chemical Bond. J. Phys. Chem. A 2000, 104, 5660–5694. [Google Scholar] [CrossRef]
 - Chen, L.X.; Shaw, G.B.; Novozhilova, I.; Liu, T.; Jennings, G.; Attenkofer, K.; Meyer, G.J.; Coppens, P. MLCT State Structure and Dynamics of a Copper(I) Diimine Complex Characterized by Pump−Probe X-ray and Laser Spectroscopies and DFT Calculations. J. Am. Chem. Soc. 2003, 125, 7022–7034. [Google Scholar] [CrossRef]
 - Saes, M.; Bressler, C.; Abela, R.; Grolimund, D.; Johnson, S.L.; Heimann, P.A.; Chergui, M. Observing Photochemical Transients by Ultrafast X-ray Absorption Spectroscopy. Phys. Rev. Lett. 2003, 90, 047403. [Google Scholar] [CrossRef]
 - Gawelda, W.; Pham, V.-T.; Benfatto, M.; Zaushitsyn, Y.; Kaiser, M.; Grolimund, D.; Johnson, S.L.; Abela, R.; Hauser, A.; Bressler, C.; et al. Structural Determination of a Short-Lived Excited Iron(II) Complex by Picosecond X-Ray Absorption Spectroscopy. Phys. Rev. Lett. 2007, 98, 057401. [Google Scholar] [CrossRef]
 - Ráksi, F.; Wilson, K.R.; Jiang, Z.; Ikhlef, A.; Côté, C.Y.; Kieffer, J.-C. Ultrafast X-ray absorption probing of a chemical reaction. J. Chem. Phys. 1996, 104, 6066–6069. [Google Scholar] [CrossRef]
 - Van der Veen, R.M.; Milne, C.J.; El Nahhas, A.; Lima, F.A.; Pham, V.-T.; Best, J.; Weinstein, J.A.; Borca, C.N.; Abela, R.; Bressler, C.; et al. Structural Determination of a Photochemically Active Diplatinum Molecule by Time-Resolved EXAFS Spectroscopy. Angew. Chem. Int. Ed. 2009, 48, 2711–2714. [Google Scholar] [CrossRef]
 - Gawelda, W.; Johnson, M.; De Groot, F.M.F.; Abela, R.; Bressler, C.; Chergui, M. Electronic and molecular structure of photoexcited [RuII(bpy)3]2+ probed by picosecond X-ray absorption spectroscopy. J. Am. Chem. Soc. 2006, 128, 5001–5009. [Google Scholar] [CrossRef]
 - Canton, S.E.; Zhang, X.; Lawson Daku, L.M.; Smeigh, A.L.; Zhang, J.; Liu, Y.; Wallentin, C.-J.; Attenkofer, K.; Jennings, G.; Kurtz, C.A.; et al. Probing the Anisotropic Distortion of Photoexcited Spin Crossover Complexes with Picosecond X-ray Absorption Spectroscopy. J. Phys. Chem. C 2014, 118, 4536–4545. [Google Scholar] [CrossRef]
 - Zhang, X.; Canton, S.E.; Smolentsev, G.; Wallentin, C.J.; Liu, Y.; Kong, Q.; Attenkofer, K.; Stickrath, A.B.; Mara, M.W.; Chen, L.X.; et al. Highly accurate excited-state structure of [Os(bpy)2dcbpy]2+ determined by X-ray transient absorption spectroscopy. J. Am. Chem. Soc. 2014, 136, 8804–8809. [Google Scholar] [CrossRef] [PubMed]
 - Vankó, G.; Bordage, A.; Pápai, M.; Haldrup, K.; Glatzel, P.; March, A.M.; Doumy, G.; Britz, A.; Galler, A.; Assefa, T.; et al. Detailed characterization of a nanosecond-lived excited state: X-ray and theoretical investigation of the quintet state in photoexcited [Fe(terpy)2]2+. J. Phys. Chem. C Nanomater. Interfaces 2015, 119, 5888–5902. [Google Scholar] [CrossRef] [PubMed]
 - Britz, A.; Gawelda, W.; Assefa, T.A.; Jamula, L.L.; Yarranton, J.T.; Galler, A.; Khakhulin, D.; Diez, M.; Harder, M.; Doumy, G.; et al. Using Ultrafast X-ray Spectroscopy to Address Questions in Ligand-Field Theory: The Excited State Spin and Structure of [Fe(dcpp)2]2+. Inorg. Chem. 2019, 58, 9341–9350. [Google Scholar] [CrossRef]
 - Christensen, M.; Haldrup, K.; Bechgaard, K.; Feidenhans’l, R.; Kong, Q.; Cammarata, M.; Russo, M.L.; Wulff, M.; Harrit, N.; Nielsen, M.M. Time-Resolved X-ray Scattering of an Electronically Excited State in Solution. Structure of the 3A2u State of Tetrakis-μ-pyrophosphitodiplatinate(II). J. Am. Chem. Soc. 2009, 131, 502–508. [Google Scholar] [CrossRef]
 - Haldrup, K.; Harlang, T.; Christensen, M.; Dohn, A.; van Driel, T.B.; Kjær, K.S.; Harrit, N.; Vibenholt, J.; Guerin, L.; Wulff, M.; et al. Bond Shortening (1.4 Å) in the Singlet and Triplet Excited States of [Ir2(dimen)4]2+ in Solution Determined by Time-Resolved X-ray Scattering. Inorg. Chem. 2011, 50, 9329–9336. [Google Scholar] [CrossRef]
 - Kong, Q.; Lee, J.H.; Kim, K.H.; Kim, J.; Wulff, M.; Ihee, H.; Koch, M.H.J. Ultrafast X-ray Solution Scattering Reveals Different Reaction Pathways in the Photolysis of Triruthenium Dodecacarbonyl (Ru3(CO)12) after Ultraviolet and Visible Excitation. J. Am. Chem. Soc. 2010, 132, 2600–2607. [Google Scholar] [CrossRef]
 - Lee, J.H.; Wulff, M.; Bratos, S.; Petersen, J.; Guerin, L.; Leicknam, J.-C.; Cammarata, M.; Kong, Q.; Kim, J.; Møller, K.B.; et al. Filming the Birth of Molecules and Accompanying Solvent Rearrangement. J. Am. Chem. Soc. 2013, 135, 3255–3261. [Google Scholar] [CrossRef]
 - Haldrup, K.; Vankó, G.; Gawelda, W.; Galler, A.; Doumy, G.; March, A.M.; Kanter, E.P.; Bordage, A.; Dohn, A.; Van Driel, T.B.; et al. Guest–Host Interactions Investigated by Time-Resolved X-ray Spectroscopies and Scattering at MHz Rates: Solvation Dynamics and Photoinduced Spin Transition in Aqueous Fe(bipy)32+. J. Phys. Chem. A 2012, 116, 9878–9887. [Google Scholar] [CrossRef]
 - Naumova, M.; Khakhulin, D.; Rebarz, M.; Rohrmüller, M.; Dicke, B.; Biednov, M.; Britz, A.; Espinoza, S.; Grimm-Lebsanft, B.; Kloz, M.; et al. Structural dynamics upon photoexcitation-induced charge transfer in a dicopper(i)-disulfide complex. Phys. Chem. Chem. Phys. 2018, 20, 6274–6286. [Google Scholar] [CrossRef]
 - Vankó, G.; Glatzel, P.; Pham, V.-T.; Abela, R.; Grolimund, D.; Borca, C.N.; Johnson, S.L.; Milne, C.J.; Bressler, C. Picosecond Time-Resolved X-Ray Emission Spectroscopy: Ultrafast Spin-State Determination in an Iron Complex. Angew. Chem. Int. Ed. 2010, 49, 5910–5912. [Google Scholar] [CrossRef]
 - Vankó, G.; Bordage, A.; Glatzel, P.; Gallo, E.; Rovezzi, M.; Gawelda, W.; Galler, A.; Bressler, C.; Doumy, G.; March, A.M.; et al. Spin-state studies with XES and RIXS: From static to ultrafast. J. Electron Spectrosc. Relat. Phenom. 2013, 188, 166–171. [Google Scholar] [CrossRef]
 - March, A.M.; Assefa, T.A.; Boemer, C.; Bressler, C.; Britz, A.; Diez, M.; Doumy, G.; Galler, A.; Harder, M.; Khakhulin, D.; et al. Probing Transient Valence Orbital Changes with Picosecond Valence-to-Core X-ray Emission Spectroscopy. J. Phys. Chem. C 2017, 121, 2620–2626. [Google Scholar] [CrossRef]
 - Tu, M.F.; Doumy, G.; Al Haddad, A.; March, A.M.; Southworth, S.H.; Assoufid, L.; Kumagai, Y.; Walko, D.A.; Di Chiara, A.D.; Liu, Z.; et al. Micro-focused MHz pink beam for time-resolved X-ray emission spectroscopy. J. Synchrotron Radiat. 2019, 26, 1956–1966. [Google Scholar] [CrossRef]
 - Zhang, W.; Alonso-Mori, R.; Bergmann, U.; Bressler, C.; Chollet, M.; Galler, A.; Gawelda, W.; Hadt, R.G.; Hartsock, R.W.; Kroll, T.; et al. Tracking excited-state charge and spin dynamics in iron coordination complexes. Nature 2014, 509, 345–348. [Google Scholar] [CrossRef]
 - Zhang, W.; Kjær, K.S.; Alonso-Mori, R.; Bergmann, U.; Chollet, M.; Fredin, L.A.; Hadt, R.G.; Hartsock, R.W.; Harlang, T.; Kroll, T.; et al. Manipulating charge transfer excited state relaxation and spin crossover in iron coordination complexes with ligand substitution. Chem. Sci. 2017, 8, 515–523. [Google Scholar] [CrossRef]
 - Kjær, K.S.; Van Driel, T.B.; Harlang, T.C.B.; Kunnus, K.; Biasin, E.; Ledbetter, K.; Hartsock, R.W.; Reinhard, M.E.; Koroidov, S.; Li, L.; et al. Finding intersections between electronic excited state potential energy surfaces with simultaneous ultrafast X-ray scattering and spectroscopy. Chem. Sci. 2019, 10, 5749–5760. [Google Scholar] [CrossRef]
 - Canton, S.E.; Kjær, K.S.; Vankó, G.; van Driel, T.B.; Adachi, S.; Bordage, A.; Bressler, C.; Chabera, P.; Christensen, M.; Dohn, A.O.; et al. Visualizing the non-equilibrium dynamics of photoinduced intramolecular electron transfer with femtosecond X-ray pulses. Nat. Commun. 2015, 6, 6359. [Google Scholar] [CrossRef]
 - Haldrup, K.; Gawelda, W.; Abela, R.; Alonso-Mori, R.; Bergmann, U.; Bordage, A.; Cammarata, M.; Canton, S.E.; Dohn, A.O.; van Driel, T.B.; et al. Observing Solvation Dynamics with Simultaneous Femtosecond X-ray Emission Spectroscopy and X-ray Scattering. J. Phys. Chem. B 2016, 120, 1158–1168. [Google Scholar] [CrossRef]
 - Kunnus, K.; Vacher, M.; Harlang, T.C.B.; Kjær, K.S.; Haldrup, K.; Biasin, E.; van Driel, T.B.; Pápa, M.; Chabera, P.; Liu, Y.; et al. Vibrational wavepacket dynamics in Fe carbene photosensitizer determined with femtosecond X-ray emission and scattering. Nat. Commun. 2020, 11, 634. [Google Scholar] [CrossRef]
 - Van Driel, T.B.; Kjær, K.S.; Hartsock, R.W.; Dohn, A.O.; Harlang, T.; Chollet, M.; Christensen, M.; Gawelda, W.; Henriksen, N.E.; Kim, J.G.; et al. Atomistic characterization of the active-site solvation dynamics of a model photocatalyst. Nat. Commun. 2016, 7, 13678. [Google Scholar] [CrossRef]
 - Biasin, E.; van Driel, T.B.; Kjær, K.S.; Dohn, A.O.; Christensen, M.; Harlang, T.; Chabera, P.; Liu, Y.; Uhlig, J.; Pápai, M.; et al. Femtosecond X-ray Scattering Study of Ultrafast Photoinduced Structural Dynamics in Solvated [Co(terpy)2]2+. Phys. Rev. Lett. 2016, 117, 013002. [Google Scholar] [CrossRef]
 - Kim, K.H.; Kim, J.G.; Nozawa, S.; Sato, T.; Oang, K.Y.; Kim, T.W.; Ki, H.; Jo, J.; Park, S.; Song, C.; et al. Direct observation of bond formation in solution with femtosecond X-ray scattering. Nature 2015, 518, 385–389. [Google Scholar] [CrossRef]
 - Haldrup, K.; Levi, G.; Biasin, E.; Vester, P.; Laursen, M.G.; Beyer, F.; Kjær, K.S.; Brandt van Driel, T.; Harlang, T.; Dohn, A.O.; et al. Ultrafast X-ray Scattering Measurements of Coherent Structural Dynamics on the Ground-State Potential Energy Surface of a Diplatinum Molecule. Phys. Rev. Lett. 2019, 122, 063001. [Google Scholar] [CrossRef] [PubMed]
 - Tschentscher, T.; Bressler, C.; Grünert, J.; Madsen, A.; Mancuso, A.; Meyer, M.; Scherz, A.; Sinn, H.; Zastrau, U. Photon Beam Transport and Scientific Instruments at the European XFEL. Appl. Sci. 2017, 7, 592. [Google Scholar] [CrossRef]
 - Mancuso, A.P.; Aquila, A.; Batchelor, L.; Bean, R.J.; Bielecki, J.; Borchers, G.; Doerner, K.; Giewekemeyer, K.; Graceffa, R.; Kelsey, O.D.; et al. The single particles, clusters and biomolecules and serial femtosecond crystallography instrument of the european XFEL: Initial installation. J. Synchrotron Radiat. 2019, 26, 660–676. [Google Scholar] [CrossRef]
 - Galler, A.; Gawelda, W.; Biednov, M.; Bomer, C.; Britz, A.; Brockhauser, S.; Choi, T.K.; Diez, M.; Frankenberger, P.; French, M.; et al. Scientific instrument Femtosecond X-ray Experiments (FXE): Instrumentation and baseline experimental capabilities. J. Synchrotron Radiat. 2019, 26, 1432–1447. [Google Scholar] [CrossRef] [PubMed]
 - Koch, A.; Hart, M.; Nicholls, T.; Angelsen, C.; Coughlan, J.; French, M.; Hauf, S.; Kuster, M.; Sztuk-Dambietz, J.; Turcato, M.; et al. Performance of an LPD prototype detector at MHz frame rates under Synchrotron and FEL radiation. J. Instrum. 2013, 8, C11001. [Google Scholar] [CrossRef]
 - Mozzanica, A.; Andrä, M.; Barten, R.; Bergamaschi, A.; Chiriotti, S.; Brückner, M.; Dinapoli, R.; Fröjdh, E.; Greiffenberg, D.; Leonarski, F.; et al. The JUNGFRAU Detector for Applications at Synchrotron Light Sources and XFELs. Synchrotron Radiat. News 2018, 31, 16–20. [Google Scholar] [CrossRef]
 - Mozzanica, A.; Bergamaschi, A.; Dinapoli, R.; Graafsma, H.; Greiffenberg, D.; Henrich, B.; Johnson, I.; Lohmann, M.; Valeria, R.; Schmitt, B.; et al. The GOTTHARD charge integrating readout detector: Design and characterization. J. Instrum. 2012, 7, C01019. [Google Scholar] [CrossRef]
 - Zhang, J.; Andrä, M.; Barten, R.; Bergamaschi, A.; Brückner, M.; Dinapoli, R.; Fröjdh, E.; Greiffenberg, D.; Lopez-Cuenca, C.; Mezza, D.; et al. Towards Gotthard-II: Development of a silicon microstrip detector for the European X-ray Free-Electron Laser. J. Instrum. 2018, 13, P01025. [Google Scholar] [CrossRef]
 - Palmer, G.; Kellert, M.; Wang, J.; Emons, M.; Wegner, U.; Kane, D.; Pallas, F.; Jezynski, T.; Venkatesan, S.; Rompotis, D.; et al. Pump–probe laser system at the FXE and SPB/SFX instruments of the European X-ray Free-Electron Laser Facility. J. Synchrotron Radiat. 2019, 26, 328–332. [Google Scholar] [CrossRef]
 - Zewail, A.H. Laser Femtochemistry. Science 1988, 242, 1645–1653. [Google Scholar] [CrossRef]
 - Scherer, N.F.; Jonas, D.M.; Fleming, G.R. Femtosecond wave packet and chemical reaction dynamics of iodine in solution: Tunable probe study of motion along the reaction coordinate. J. Chem. Phys. 1993, 99, 153–168. [Google Scholar] [CrossRef]
 - Monat, J.E.; McCusker, J.K. Femtosecond Excited-State Dynamics of an Iron(II) Polypyridyl Solar Cell Sensitizer Model. J. Am. Chem. Soc. 2000, 122, 4092–4097. [Google Scholar] [CrossRef]
 - Levine, B.G.; Martínez, T.J. Isomerization Through Conical Intersections. Annu. Rev. Phys. Chem. 2007, 58, 613–634. [Google Scholar] [CrossRef] [PubMed]
 - Martinez, T.J. Physical chemistry: Seaming is believing. Nature 2010, 467, 412–413. [Google Scholar] [CrossRef]
 - Kong, Q.Y.; Laursen, M.G.; Haldrup, K.; Kjær, K.S.; Khakhulin, D.; Biasin, E.; Van Driel, T.B.; Wulff, M.; Kabanova, V.; Vuilleumier, R.; et al. Initial metal–metal bond breakage detected by fs X-ray scattering in the photolysis of Ru3(CO)12 in cyclohexane at 400 nm. Photochem. Photobiol. Sci. 2019, 18, 319–327. [Google Scholar] [CrossRef]
 - Lemke, H.T.; Bressler, C.; Chen, L.X.; Fritz, D.M.; Gaffney, K.J.; Galler, A.; Gawelda, W.; Haldrup, K.; Hartsock, R.W.; Ihee, H.; et al. Femtosecond X-ray Absorption Spectroscopy at a Hard X-ray Free Electron Laser: Application to Spin Crossover Dynamics. J. Phys. Chem. A 2013, 117, 735–740. [Google Scholar] [CrossRef]
 - Shelby, M.L.; Lestrange, P.J.; Jackson, N.E.; Haldrup, K.; Mara, M.W.; Stickrath, A.B.; Zhu, D.; Lemke, H.T.; Chollet, M.; Hoffman, B.M.; et al. Ultrafast Excited State Relaxation of a Metalloporphyrin Revealed by Femtosecond X-ray Absorption Spectroscopy. J. Am. Chem. Soc. 2016, 138, 8752–8764. [Google Scholar] [CrossRef]
 - Lemke, H.T.; Kjær, K.S.; Hartsock, R.; van Driel, T.B.; Chollet, M.; Glownia, J.M.; Song, S.; Zhu, D.; Pace, E.; Matar, S.F.; et al. Coherent structural trapping through wave packet dispersion during photoinduced spin state switching. Nat. Commun. 2017, 8, 15342. [Google Scholar] [CrossRef]
 - Katayama, T.; Northey, T.; Gawelda, W.; Milne, C.J.; Vankó, G.; Lima, F.A.; Bohinc, R.; Németh, Z.; Nozawa, S.; Sato, T.; et al. Tracking multiple components of a nuclear wavepacket in photoexcited Cu(I)-phenanthroline complex using ultrafast X-ray spectroscopy. Nat. Commun. 2019, 10, 3606. [Google Scholar] [CrossRef]
 - Leshchev, D.; Harlang, T.C.B.; Fredin, L.A.; Khakhulin, D.; Liu, Y.; Biasin, E.; Laursen, M.G.; Newby, G.E.; Haldrup, K.; Nielsen, M.M.; et al. Tracking the picosecond deactivation dynamics of a photoexcited iron carbene complex by time-resolved X-ray scattering. Chem. Sci. 2018, 9, 405–414. [Google Scholar] [CrossRef]
 - Khakhulin, D.; Lawson Daku, L.M.; Leshchev, D.; Newby, G.E.; Jarenmark, M.; Bressler, C.; Wulff, M.; Canton, S.E. Visualizing the coordination-spheres of photoexcited transition metal complexes with ultrafast hard X-rays. Phys. Chem. Chem. Phys. 2019, 21, 9277–9284. [Google Scholar] [CrossRef] [PubMed]
 - Kjær, K.S.; Van Driel, T.B.; Kehres, J.; Haldrup, K.; Khakhulin, D.; Bechgaard, K.; Cammarata, M.; Wulff, M.; Sørensen, T.J.; Nielsen, M.M. Introducing a standard method for experimental determination of the solvent response in laser pump, X-ray probe time-resolved wide-angle X-ray scattering experiments on systems in solution. Phys. Chem. Chem. Phys. 2013, 15, 15003–15016. [Google Scholar] [CrossRef] [PubMed]
 - Lawson Daku, L.M. Spin-state dependence of the structural and vibrational properties of solvated iron(II) polypyridyl complexes from AIMD simulations: Aqueous [Fe(bpy)3]Cl2, a case study. Phys. Chem. Chem. Phys. 2018, 20, 6236–6253. [Google Scholar] [CrossRef] [PubMed]
 - Britz, A.; Abraham, B.; Biasin, E.; van Driel, T.B.; Gallo, A.; Garcia-Esparza, A.T.; Glownia, J.; Loukianov, A.; Nelson, S.; Reinhard, M.; et al. Resolving structures of transition metal complex reaction intermediates with femtosecond EXAFS. Phys. Chem. Chem. Phys. 2020. [Google Scholar] [CrossRef] [PubMed]
 - Obara, Y.; Katayama, T.; Ogi, Y.; Suzuki, T.; Kurahashi, N.; Karashima, S.; Chiba, Y.; Isokawa, Y.; Togashi, T.; Inubushi, Y.; et al. Femtosecond time-resolved X-ray absorption spectroscopy of liquid using a hard X-ray free electron laser in a dual-beam dispersive detection method. Opt. Express 2014, 22, 1105. [Google Scholar] [CrossRef] [PubMed]
 - Harmand, M.; Ravasio, A.; Mazevet, S.; Bouchet, J.; Denoeud, A.; Dorchies, F.; Feng, Y.; Fourment, C.; Galtier, E.; Gaudin, J.; et al. X-ray absorption spectroscopy of iron at multimegabar pressures in laser shock experiments. Phys. Rev. B 2015, 92, 024108. [Google Scholar] [CrossRef]
 






© 2020 by the authors. Licensee MDPI, Basel, Switzerland. This article is an open access article distributed under the terms and conditions of the Creative Commons Attribution (CC BY) license (http://creativecommons.org/licenses/by/4.0/).
Share and Cite
Khakhulin, D.; Otte, F.; Biednov, M.; Bömer, C.; Choi, T.-K.; Diez, M.; Galler, A.; Jiang, Y.; Kubicek, K.; Lima, F.A.; et al. Ultrafast X-ray Photochemistry at European XFEL: Capabilities of the Femtosecond X-ray Experiments (FXE) Instrument. Appl. Sci. 2020, 10, 995. https://doi.org/10.3390/app10030995
Khakhulin D, Otte F, Biednov M, Bömer C, Choi T-K, Diez M, Galler A, Jiang Y, Kubicek K, Lima FA, et al. Ultrafast X-ray Photochemistry at European XFEL: Capabilities of the Femtosecond X-ray Experiments (FXE) Instrument. Applied Sciences. 2020; 10(3):995. https://doi.org/10.3390/app10030995
Chicago/Turabian StyleKhakhulin, Dmitry, Florian Otte, Mykola Biednov, Christina Bömer, Tae-Kyu Choi, Michael Diez, Andreas Galler, Yifeng Jiang, Katharina Kubicek, Frederico Alves Lima, and et al. 2020. "Ultrafast X-ray Photochemistry at European XFEL: Capabilities of the Femtosecond X-ray Experiments (FXE) Instrument" Applied Sciences 10, no. 3: 995. https://doi.org/10.3390/app10030995
APA StyleKhakhulin, D., Otte, F., Biednov, M., Bömer, C., Choi, T.-K., Diez, M., Galler, A., Jiang, Y., Kubicek, K., Lima, F. A., Rodriguez-Fernandez, A., Zalden, P., Gawelda, W., & Bressler, C. (2020). Ultrafast X-ray Photochemistry at European XFEL: Capabilities of the Femtosecond X-ray Experiments (FXE) Instrument. Applied Sciences, 10(3), 995. https://doi.org/10.3390/app10030995
        
