White Matter Network Alterations in Alzheimer’s Disease Patients
Abstract
1. Introduction
2. Materials and Methods
3. Data Preprocessing
3.1. Tract-Based Spatial Statistics Analysis
3.2. Network Construction
3.3. Graph—Theoretical Analysis
4. Statistical Analysis
5. Results
5.1. Demographic and Clinical Findings
5.2. TBSS Analysis
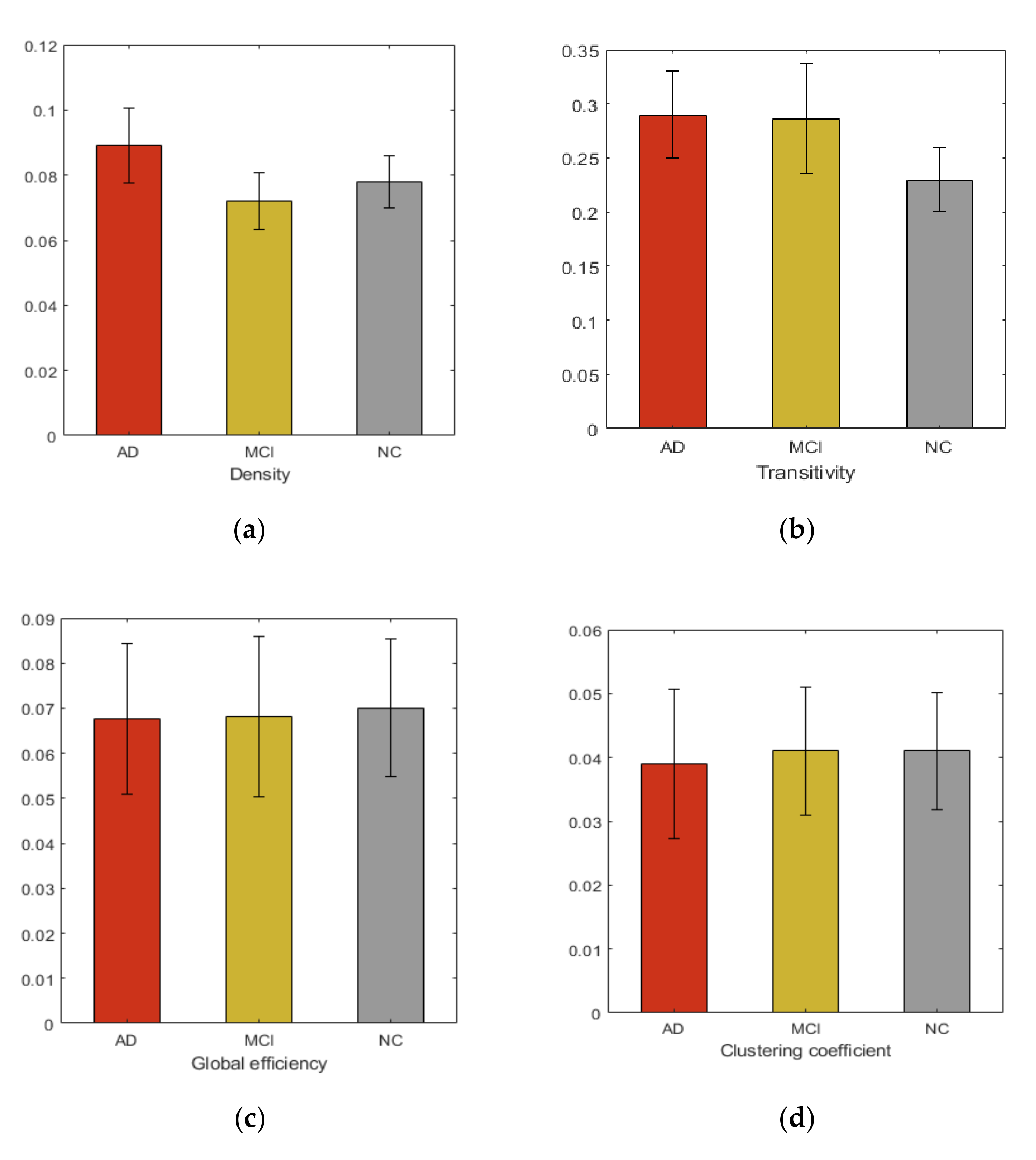
6. Graph Properties
6.1. NBS of Structural Connectivity
6.2. Topological Properties of Altered Connection
7. Discussion
8. Conclusions
Author Contributions
Funding
Acknowledgments
Conflicts of Interest
References
- Alzheimer’s Association. 2016 Alzheimer’s disease facts and figures. Alzheimer’s Dement. 2016, 12, 459–509. [Google Scholar] [CrossRef] [PubMed]
- Alzheimer’s Association. FDA: Approved Treatments for Alzheimer’s. 2012. Available online: https://www.alz.org/national/documents/topicsheet_treatments.pdf (accessed on 2 May 2019).
- Yang, H.Q.; Sun, Z.K.; Chen, S.D. Current Advances in the Treatment of Alzheimer’s Disease: Focused on Considerations Targeting Aβ and Tau. Transnatl. Neurodegener. 2012, 1, 1–12. [Google Scholar]
- Braak, H.; Braak, E. Staging of alzheimer’s disease-related neurofibrillary changes. Neurobiol. Aging 1995, 16, 271–278. [Google Scholar] [CrossRef]
- Clerx, L.; van Rossum, I.A.; Burns, L.; Knol, D.L.; Scheltens, P.; Verhey, F.; Aalten, P.; Lapuerta, P.; Van de Pol, L.; Van Schijndel, R.; et al. Measurements of medial temporal lobe atrophy for prediction of Alzheimer’s disease in subjects with mild cognitive impairment. Neurobiol. Aging 2013, 34, 2003–2013. [Google Scholar] [CrossRef] [PubMed]
- Yao, Z.; Zhang, Y.; Lin, L.; Zhou, Y.; Xu, C.; Jiang, T. Abnormal cortical networks in mild cognitive impairment and Alzheimer’s disease. PLoS Comput. Biol. 2010, 6, e1001006. [Google Scholar] [CrossRef] [PubMed]
- Knopman, D.S.; Petersen, R.C. Mild cognitive impairment and mild dementia: A clinical perspective. Mayo Clin. Proc. 2014, 89, 1452–1459. [Google Scholar] [CrossRef]
- Petersen, R.C.; Smith, G.E.; Waring, S.C.; Ivnik, R.J.; Tangalos, E.G.; Kokmen, E. Mild cognitive impairment: Clinical characterization and outcome. Arch. Neurol. 1999, 56, 303–308. [Google Scholar] [CrossRef]
- Houmani, N.; Vialatte, F.; Gallego-Jutglà, E.; Dreyfus, G.; Nguyen-Michel, V.H.; Mariani, J.; Kinugawa, K. Diagnosis of Alzheimer’s disease with Electroencephalography in a differential framework. PLoS ONE 2018, 13, 3. [Google Scholar] [CrossRef]
- Stam, C.J.; Jones, B.F.; Manshandena, I.; van Walsumc, A.M.V.; Montez, T.; Verbunt, J.P.A.; van Dijk, B.W.; Berendse, H.W.; Scheltens, P. Magnetoencephalographic evaluation of resting-state functional connectivity in Alzheimer’s disease. Neuroimage 2006, 32, 1335–1344. [Google Scholar] [CrossRef]
- Gray, K.R.; Wolz, R.; Heckemann, R.A.; Hammers, P.A.; Rueckert, A.D. Multi-region analysis of longitudinal FDG-PET for the classification of Alzheimer’s disease. Neuroimage 2012, 60, 221–229. [Google Scholar] [CrossRef]
- Lama, R.K.; Gwak, J.; Park, J.S.; Lee, S.W. Diagnosis of Alzheimer’s disease based on structural MRI images using a regularized extreme learning machine and PCA features. J. Healthc. Eng. 2017, 2017. [Google Scholar] [CrossRef] [PubMed]
- Beheshti, I.; Demirel, H.; Farokhian, F.; Yang, C.; Matsuda, H.; Alzheimer’s Disease Neuroimaging Initiative. Structural MRI-based detection of Alzheimer’s disease using feature ranking and classification error. Comput. Methods Programs Biomed. 2016, 137, 177–193. [Google Scholar] [PubMed]
- Beheshti, I.; Demirel, H. Alzheimer’s Disease Neuroimaging Initiative. Feature-ranking-based Alzheimer’s disease classification from structural MRI. Magn. Reson. Imaging 2016, 34, 252–263. [Google Scholar]
- Ly, M.; Canu, E.; Xu, G.; Oh, J.; Mclaren, D.G.; Dowling, N.M. Midlife measurements of white matter microstructure predict subsequent regional white matter atrophy in healthy adults. Hum. Brain Mapp. 2014, 35, 2044–2054. [Google Scholar] [CrossRef] [PubMed]
- Bendlin, B.B.; Carlsson, C.M.; Johnson, S.C.; Zetterberg, H.; Blennow, K.; Willette, A. CSF T-Tau/Aβ42 predicts white matter microstructure in healthy adults at risk for Alzheimer’s disease. PLoS ONE 2012, 7, e37720. [Google Scholar] [CrossRef] [PubMed]
- Teipel, S.J.; Grothe, M.J.; Filippi, M.; Fellgiebel, A.; Dyrba, M.; Frisoni, G.B.; Hauenstein, K. Fractional anisotropy changes in Alzheimer’s disease depend on the underlying fiber tract architecture: A multiparametric DTI study using joint independent component analysis. J. Alzheimer’s Dis. 2014, 41, 69–83. [Google Scholar] [CrossRef]
- Delbeuck, X.; Collette, F.; van der Linden, M. Is Alzheimer’s disease a disconnection syndrome? Evidence from a crossmodal audio-visual illusory experiment. Neuropsychologia 2007, 45, 3315–3323. [Google Scholar] [CrossRef]
- Chen, H.; Wang, K.; Yao, J.; Dai, J.; Ma, J.; Li, S.; Ai, L.; Chen, Q.; Chen, X.; Zhang, Y. White matter changes in Alzheimer’s disease revealed by diffusion tensor imaging with TBSS. World J. Neurosci. 2015, 5, 58. [Google Scholar] [CrossRef][Green Version]
- Liu, Y.; Spulber, G.; Lehtimäki, K.K.; Könönen, M.; Hallikainen, I.; Gröhn, H.; Soininen, H. Diffusion tensor imaging and tract-based spatial statistics in Alzheimer’s disease and mild cognitive impairment. Neurobiol. Aging 2011, 32, 1558–1571. [Google Scholar] [CrossRef]
- Alves, G.S.; Oertel Knöchel, V.; Knöchel, C.; Carvalho, A.F.; Pantel, J.; Engelhardt, E.; Laks, J. Integrating retrogenesis theory to Alzheimer’s disease pathology: insight from DTI-TBSS investigation of the white matter microstructural integrity. Biomed Res. Int. 2015. [Google Scholar] [CrossRef]
- Liu, Y.; Yu, C.; Zhang, X.; Liu, J.; Duan, Y.; Alexander-Bloch, A.F.; Liu, B.; Jiang, T.; Bullmore, E. Impaired Long Distance Functional Connectivity and Weighted Network Architecture in Alzheimer’s Disease. Cereb. Cortex 2014, 24, 1422–1435. [Google Scholar] [CrossRef] [PubMed]
- Sorg, C.; Riedl, V.; Mühlau, M.; Calhoun, V.D.; Eichele, T.; Läer, L.; Drzezga, A.; Förstl, H.; Kurz, A.; Zimmer, C.; et al. Selective changes of resting-state networks in individuals at risk for Alzheimer’s disease. Proc. Nat. Acad. Sci. USA 2007, 104, 18760–18765. [Google Scholar] [CrossRef] [PubMed]
- Acosta-Cabronero, J.; Alley, S.; Williams, G.B.; Pengas, G.; Nestor, P.J. Diffusion tensor metrics as biomarkers in Alzheimer’s disease. PLoS ONE 2012, 7, e49072. [Google Scholar] [CrossRef] [PubMed]
- Doan, N.T.; Engvig, A.; Persson, K.; Alnæs, D.; Kaufmann, T.; Rokicki, J.; Córdova-Palomera, A.; Moberget, T.; Brækhus, A.; Barca, M.L.; et al. Dissociable diffusion MRI patterns of white matter microstructure and connectivity in Alzheimer’s disease spectrum. Sci. Rep. 2017, 7, 45131. [Google Scholar] [CrossRef] [PubMed]
- Bullmore, E.; Sporns, O.; Bullmore, E. Complex brain networks: Graph theoretical analysis of structural and functional systems. Nat. Rev. Neurosci. 2009, 10, 186–198. [Google Scholar] [CrossRef] [PubMed]
- Zalesky, A.; Bullmore, E.T. Network-based statistic: Identifying differences in brain networks. NeuroImage 2010, 53, 1197–1207. [Google Scholar] [CrossRef]
- Zalesky, A.; Cocchi, L.; Fornito, A.; Murray, M.M.; Bullmore, E.T. Connectivity differences in brain networks. NeuroImage 2012, 60, 1055–1062. [Google Scholar] [CrossRef]
- Schaer, M.; Cuadra, M.B.; Schmansky, N.; Fischl, B.; Thiran, J.-P.; Eliez, S. How to Measure Cortical Folding from MR Images: A Step-by-Step Tutorial to Compute Local Gyrification Index. J. Vis. Exp. 2012, 59, e3417. [Google Scholar] [CrossRef]
- Smith, S.M.; Jenkinson, M.; Johansen-Berg, H.; Rueckert, D.; Nichols, T.E.; Mackay, C.E.; Watkins, K.E.; Ciccarelli, O.; Cader, M.Z.; Matthews, P.M.; et al. Tract-based spatial statistics: Voxelwise analysis of multi-subject diffusion data. NeuroImage 2006, 31, 1487–1505. [Google Scholar] [CrossRef]
- Yeh, F.-C.; Verstynen, T.D.; Wang, Y.; Fernández-Miranda, J.C.; Tseng, W.-I. Deterministic Diffusion Fiber Tracking Improved by Quantitative Anisotropy. PLoS ONE 2013, 8, e80713. [Google Scholar] [CrossRef]
- Yeh, F.-C.; Tseng, W.Y. NTU-90: A high angular resolution brain atlas constructed by q-space diffeomorphic reconstruction. J. Neuroimage 2011, 58, 91–99. [Google Scholar] [CrossRef] [PubMed]
- Yeh, F.-C.; Tseng, W.Y. Generalized q-sampling imaging. IEEE Trans. Med. Imaging 2010, 29, 1626–1635. [Google Scholar] [PubMed]
- Karwowski, W.; Vasheghani Farahani, F.; Lighthall, N. Application of graph theory for identifying connectivity patterns in human brain networks: A systematic review. Front. Neurosci. 2019, 13, 585. [Google Scholar]
- Guye, M.; Bettus, G.; Bartolomei, F.; Cozzone, P.J. Graph theoretical analysis of structural and functional connectivity MRI in normal and pathological brain networks. Magn. Reson. Mater. Phys. Biol. Med. 2010, 23, 409–421. [Google Scholar] [CrossRef] [PubMed]
- Wang, J.H.; Zuo, X.N.; Gohel, S.; Milham, M.P.; Biswal, B.B.; He, Y. Graph theoretical analysis of functional brain networks: test-retest evaluation on short-and long-term resting-state functional MRI data. PLoS ONE 2010, 6, e21976. [Google Scholar] [CrossRef]
- Bassett, D.S.; Bullmore, E.T. Small-world brain networks revisited. Neuroscience 2017, 23, 499–516. [Google Scholar] [CrossRef]
- Mårtensson, G.; Pereira, J.B.; Mecocci, P.; Vellas, B.; Tsolaki, M.; Kłoszewska, I.; Soininen, H.; Lovestone, S.; Simmons, A.; Volpe, G.; et al. Stability of graph theoretical measures in structural brain networks in Alzheimer’s disease. Sci. Rep. 2018, 8, 11592. [Google Scholar] [CrossRef]
- Zhou, Y.; Lui, Y.W. Small-World Properties in Mild Cognitive Impairment and Early Alzheimer’s Disease: A Cortical Thickness MRI Study. Isrn Geriatr. 2013, 2013, 1–11. [Google Scholar] [CrossRef]
- Menon, S.K.; Rubin, V.; Musen, D.M.; Greicius, M.D. Network analysis of intrinsic functional brain connectivity in Alzheimer’s disease. Plos Comput. 2008, 4, e1000100. [Google Scholar]
- Li, X.; Wang, H.; Tian, Y.; Zhou, S.; Li, X.; Wang, K.; Yu, Y. Impaired White Matter Connections of the Limbic System Networks Associated with Impaired Emotional Memory in Alzheimer’s Disease. Front. Aging Neurosci. 2016, 8, 250. [Google Scholar] [CrossRef]
- Vidoni, E.D.; Thomas, G.P.; Honea, R.A.; Loskutova, N.; Burns, J.M. Evidence of altered corticomotor system connectivity in early-stage Alzheimer’s disease. J. Neurol. Phys. 2012, 36, 8–16. [Google Scholar] [CrossRef] [PubMed]
- Jacobs, H.I.; Hopkins, D.A.; Mayrhofer, H.C.; Bruner, E.; van Leeuwen, F.W.; Raaijmakers, W.; Schmahmann, J.D. The cerebellum in Alzheimer’s disease: evaluating its role in cognitive decline. Brain 2018, 141, 37–47. [Google Scholar] [CrossRef] [PubMed]





| Number of Subjects | HC | MCI | AD | p Value | p Value | p Value |
|---|---|---|---|---|---|---|
| (n = 22) | (n = 25) | (n = 19) | HC vs. MCI | HC vs. AD | MCI vs. AD | |
| Mean (SD) | Mean (SD) | Mean (SD) | ||||
| Age (years) | 75.1 | 74.2 | 75.3 | 0.04 | 0.314 | 0.210 |
| Education (years) | 17.43 | 16.26 | 15.32 | 0.163 | <0.001 | 0.032 |
| Mini–Mental State Examination (MMSE) | 29.5 ± 2.0 | 28.4 ± 1.8 | 23.3 ± 3.60 | <0.001 | <0.001 | <0.001 |
| Gender, male (%) | 54.5% | 60% | 57.8% | |||
| Marital Status, married (%) | 86.3% | 80.0 % | 84.2%. |
| AAL | HC | AD | p-Value (<0.05) | |||
|---|---|---|---|---|---|---|
| Mean | SD | Mean | SD | t | ||
| Parietal_Sup_L | 0.0486868 | 0.002759 | 0.09401618 | 0.0016902 | −3.060871 | 0.00403716 |
| Parietal_Inf_L | 0.0943405 | 0.002151 | 0.08038153 | 0.0046347 | 0.7681704 | 0.44726116 |
| Postcentral_L | 0.0548508 | 0.002846 | 0.04193533 | 0.0025509 | 0.7801206 | 0.44041914 |
| Precentral_L | 0.0928832 | 0.001167 | 0.07269411 | 0.0026475 | 1.4835716 | 0.14639178 |
| Supp_Motor_Area_L | 0.0412272 | 0.002063 | 0.07929782 | 0.0012637 | −2.972622 | 0.00510212 |
| Frontal_Sup_L | 0.0987295 | 0.001491 | 0.08864988 | 0.0012869 | 0.84771583 | 0.40235629 |
| Insula_L | 0.0789524 | 0.002808 | 0.08657841 | 0.0017631 | −0.49621216 | 0.62313610 |
| Putamen_L | 0.0969928 | 0.001997 | 0.08197588 | 0.0014044 | 1.69236030 | 0.26423777 |
| Cerebellum_8_L | 0.0972039 | 0.001175 | 0.09447976 | 0.0015033 | 0.22961834 | 0.81968800 |
| Temporal_Mid_L | 0.1084326 | 0.001102 | 0.10778557 | 0.0025894 | 0.04646108 | 0.96327254 |
| Temporal_Inf_L | 0.1172234 | 0.000980 | 0.09374565 | 0.0017164 | 1.98489349 | 0.05606622 |
| Hippocampus_L | 0.0761849 | 0.000928 | 0.07231990 | 0.0009553 | 0.39650439 | 0.69401061 |
| Precuneus_R | 0.025543 | 0.0014334 | 0.05753150 | 0.0011388 | −0.8226072 | 0.00753876 |
| Parietal_Inf_R | 0.055925 | 0.0030042 | 0.08850323 | 0.001540 | −0.06561930 | 0.01761488 |
| Postcentral_R | 0.055925 | 0.0030042 | 0.08850323 | 0.0015401 | −0.1858577 | 0.03522976 |
| Temporal_Sup_R | 0.099849 | 0.0015746 | 0.08508657 | 0.0011958 | 1.2566691 | 0.21654368 |
| Precentral_R | 0.105449 | 0.0007850 | 0.1108857 | 0.0017146 | −0.4750746 | 0.63829236 |
| Cingulum_Mid_R | 0.054503 | 0.0024759 | 0.03796461 | 0.0016645 | 1.1258458 | 0.26768049 |
| Putamen_R | 0.090542 | 0.0019570 | 0.07017490 | 0.0025227 | 1.3456285 | 0.18732791 |
| Supp_Motor_Area_R | 0.019411 | 0.0009599 | 0.02157449 | 0.0022838 | −0.1656597 | 0.86961508 |
| Temporal_Pole_Sup_R | 0.095917 | 0.0011806 | 0.0824825 | 0.0019001 | 1.0898626 | 0.28263687 |
| AAL | HC | MCI | p-Value (<0.05) | |||
|---|---|---|---|---|---|---|
| Mean | SD | Mean | SD | t | ||
| Supp_Motor_Area_L | 0.0412272 | 0.0020638 | 0.02617364 | 0.0018140 | 1.13384828 | 0.26328876 |
| Putamen_L | 0.0819758 | 0.0014046 | 0.0678216 | 0.0019687 | 1.14306843 | 0.25964103 |
| Pallidum_L | 0.0511135 | 0.0045694 | 0.08446744 | 0.0038844 | −1.7014911 | 0.09624379 |
| Temporal_Pole_Sup_R | 0.0824825 | 0.0019001 | 0.06551453 | 0.0022605 | 1.23383964 | 0.11206136 |
| Frontal_Sup_R | 0.0726996 | 0.0020407 | 0.06041580 | 0.0019387 | 0.91334624 | 0.18313697 |
| Temporal_Sup_R | 0.0998498 | 0.0015746 | 0.09650786 | 0.0014116 | 0.28684311 | 0.77564282 |
| Precentral_R | 0.1054495 | 0.0007850 | 0.09427731 | 0.0021882 | 0.96102214 | 0.34332614 |
| Postcentral_R | 0.0703458 | 0.0035513 | 0.05592594 | 0.0030042 | 0.83535202 | 0.40824652 |
© 2020 by the authors. Licensee MDPI, Basel, Switzerland. This article is an open access article distributed under the terms and conditions of the Creative Commons Attribution (CC BY) license (http://creativecommons.org/licenses/by/4.0/).
Share and Cite
Lama, R.K.; Lee, S.-W. White Matter Network Alterations in Alzheimer’s Disease Patients. Appl. Sci. 2020, 10, 919. https://doi.org/10.3390/app10030919
Lama RK, Lee S-W. White Matter Network Alterations in Alzheimer’s Disease Patients. Applied Sciences. 2020; 10(3):919. https://doi.org/10.3390/app10030919
Chicago/Turabian StyleLama, Ramesh Kumar, and Sang-Woong Lee. 2020. "White Matter Network Alterations in Alzheimer’s Disease Patients" Applied Sciences 10, no. 3: 919. https://doi.org/10.3390/app10030919
APA StyleLama, R. K., & Lee, S.-W. (2020). White Matter Network Alterations in Alzheimer’s Disease Patients. Applied Sciences, 10(3), 919. https://doi.org/10.3390/app10030919

