Odour Emissions of Municipal Waste Biogas Plants—Impact of Technological Factors, Air Temperature and Humidity
Abstract
1. Introduction
2. Materials and Methods
2.1. Study Methodology
2.2. Characteristics of the Analysed Plants
2.3. Odour Sources in Municipal Waste Biogas Plants
3. Results and Discussion
3.1. Atmospheric and Ambient Conditions
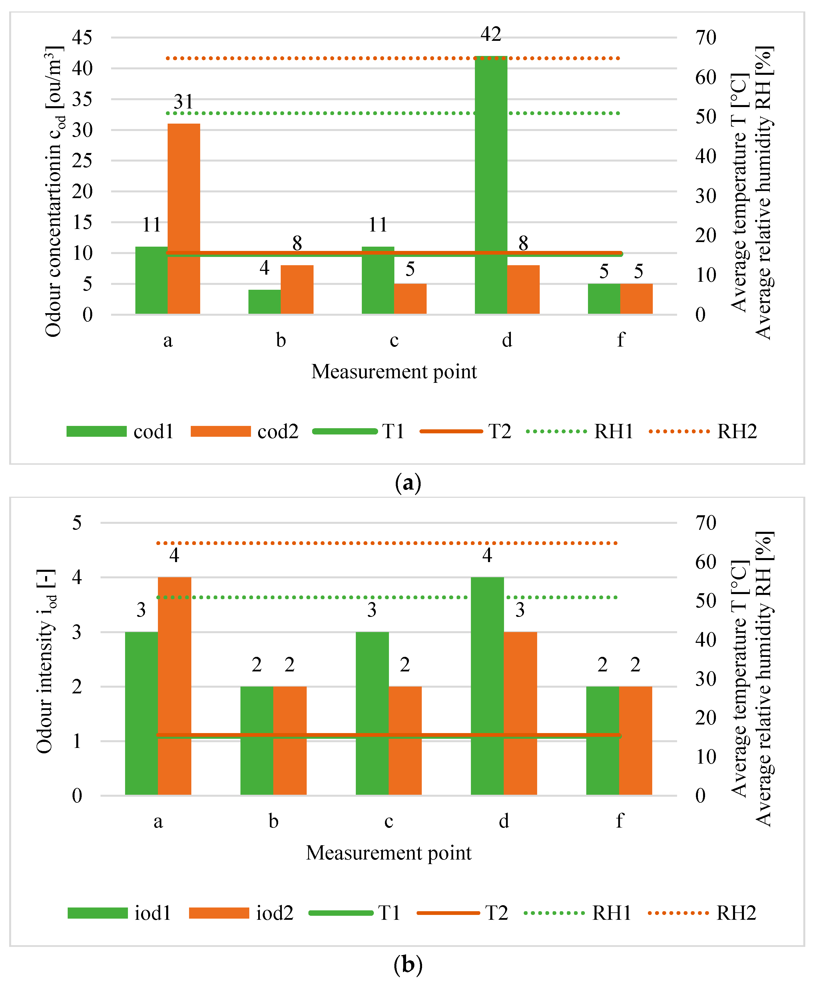
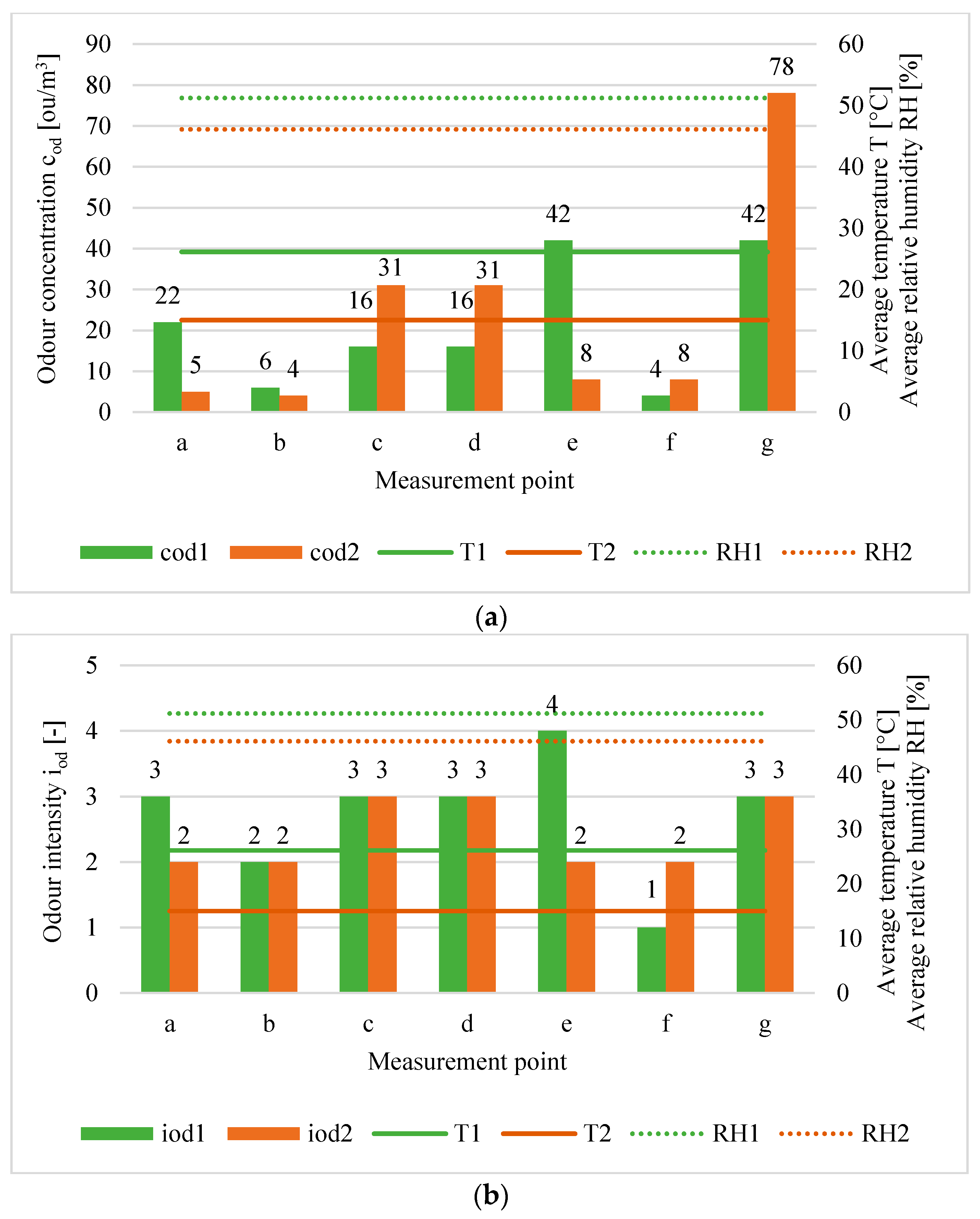
3.2. Odour Concentration (cod) and Intensity (iod)
3.3. Technological Factors
3.4. Impact of Air Temperature and Humidity and Technological Factors on Odour Concentration and Intensity: Analyses
4. Conclusions
- At most analysed biogas plants, significant relations are observed between odour concentration and air temperature: higher air temperature is accompanied by bigger odour concentrations. These relationships are noted even at small differences in both air temperature and odour concentration.
- The relationships between relative air humidity and odour concentration (bigger odour concentrations at lower air humidity) are observed in the case of air humidity differences above 20%. To capture the full impact of air humidity, research should be conducted under more diverse atmospheric conditions.
- In planning processes for municipal waste biogas facilities, great care in the choice of technological solutions, technical and organisational measures is called for to reduce the impact of unfavourable atmospheric conditions on odour emissions.
- At most analysed biogas plants, the influence of technological factors on odour emissions takes place and is clearly noted. It is particularly distinct in the biological part of the installations, but it also takes place in the mechanical part (during waste pre-treatment).
- The highest VOC concentrations are mainly associated with unit operations related to mechanical waste processing, such as storage, pre-treatment and digestate dewatering. High ammonia emissions are also associated with the elements of the mechanical part of the installations (waste preparation and digestate dewatering), but in addition, they may be accompanied by digestate aerobic stabilisation and the operation of deodorisation facility. Further research should indicate the dominance of some element in the technological line in this respect and show which odorant is responsible for higher odour emission.
- The experimental results provide an important contribution to the search for more efficient methods for reducing the odour nuisance of biogas plants, which is important for residents of the surrounding areas.
- Recommendations for further research include subsequent investigating emission of odorants characteristic for waste management, such as volatile organic compounds, ammonia or hydrogen sulphide. Further works should focus on clarifying when meteorological and ambient conditions have a greater impact on odour concentration and intensity, and when technological factors are more important and which of them have a dominant influence.
Author Contributions
Funding
Conflicts of Interest
References
- Wiśniewska, M.; Lelicińska, K. The effectiveness of the mechanical treatment of municipal waste using the example of a selected installation. E3S Web Conf. 2018, 45, 00102. [Google Scholar] [CrossRef]
- Wiśniewska, M.; Kulig, A.; Lelicińska-Serafin, K. Identification and preliminary characteristics of odour sources in biogas plants processing municipal waste. SHS Web Conf. 2018, 57, 02016. [Google Scholar] [CrossRef]
- Deus, R.M.; Mele, F.D.; Stolte Bezerra, B.; Gomes Battistelle, R.S. A municipal solid waste indicator for environmental impact: Assessment and identification of best management practices. J. Clean. Prod. 2020, 242, 118433. [Google Scholar] [CrossRef]
- Tan, S.; Hashim, H.; Lee, C.; Taib, M.R.; Yan, J. Economical and environmental impact of waste-to-energy (WTE) alternatives for waste incineration, landfill and anaerobic digestion. Energy Procedia 2014, 61, 704–708. [Google Scholar] [CrossRef]
- Tozlu, A.; Özahi, E.; Abuşoğlu, A. Waste to energy technologies for municipal solid waste management in Gaziantep. Renew. Sustain. Energy Rev. 2016, 54, 809–815. [Google Scholar] [CrossRef]
- Zarea, M.A.; Moazed, H.; Ahmadmoazzam, M.; Malekghasemi, S.; Jaafarzadeh, N. Life cycle assessment for municipal solid waste management: A case study from Ahvaz, Iran. Environ. Monit. Assess. 2019, 191, 131. [Google Scholar] [CrossRef]
- Biasioli, F.; Gasperi, F.; Odorizzi, G.; Aprea, E.; Mott, D.; Marini, F.; Autiero, G.; Rotondo, G.; Märk, T.D. PTR-MS monitoring of odour emissions from composting plant. Int. J. Mass Spectrom. 2004, 239, 103–109. [Google Scholar] [CrossRef]
- Scaglia, B.; Orzi, V.; Artola, A.; Font, X.; Davoli, E.; Sanchez, A.; Adani, F. Odours and volatile organic compounds emitted from municipal solid waste at different stage of decomposition and relationship with biological stability. Bioresour. Technol. 2011, 102, 4638–4645. [Google Scholar] [CrossRef]
- Pierucci, P.; Porazzi, E.; Martinez, M.P.; Adani, F.; Carati, C.; Rubino, F.M.; Colombi, A.; Calcaterra, E.; Benfenati, E. Volatile organic compounds produced during the aerobic biological processing of municipal solid waste in a pilot plant. Chemosphere 2005, 59, 423–430. [Google Scholar] [CrossRef]
- Sironi, S.; Capelli, L.; Céntola, P.; Del Rosso, R.; Grande, M. Continuous monitoring of odours from a composting plant using electronic noses. Waste Manag. 2007, 27, 389–397. [Google Scholar] [CrossRef]
- Orzi, V.; Scaglia, B.; Lonati, S.; Riva, C.; Boccasile, G.; Alborali, G.L.; Adani, F. The role of biological processes in reducing both odor impact and pathogen content during mesophilic anaerobic digestion. Sci. Total Environ. 2015, 526, 116–126. [Google Scholar] [CrossRef] [PubMed]
- Conti, C.; Guarino, M.; Bacenetti, J. Measurements techniques and models to assess odor annoyance: A review. Environ. Int. 2020, 134, 105261. [Google Scholar] [CrossRef] [PubMed]
- Naddeo, V.; Zarra, T.; Giuliani, S.; Belgiorno, V. Odour impact assessment in industrial areas. Chem. Eng. Trans. 2012, 30, 85–90. [Google Scholar] [CrossRef]
- Szulczyński, B.; Wasilewski, T.; Wojnowski, W.; Majchrzak, T.; Dymerski, T.; Namieśnik, J.; Gębicki, J. Different Ways to Apply a Measurement Instrument of E-Nose Type to Evaluate Ambient Air Quality with Respect to Odour Nuisance in a Vicinity of Municipal Processing Plants. Sensors 2017, 17, 2671. [Google Scholar] [CrossRef]
- Capelli, L.; Sironi, S.; Del Rosso, R.; Céntola, P. Predicting odour emissions from wastewater treatment plants by means of odour emission factors. Water Res. 2009, 43, 1977–1985. [Google Scholar] [CrossRef]
- Schauberger, G.; Lim, T.T.; Ni, J.Q.; Bundy, D.S.; Haymore, B.L.; Diehl, C.A.; Duggirala, R.K.; Heber, A.J. Empirical model of odor emission from deep-pit swine finishing barns to derive a standardized odor emission factor. Atmos. Environ. 2013, 66, 84–90. [Google Scholar] [CrossRef]
- Lucernoni, F.; Tapparo, F.; Capelli, L.; Sironi, S. Evaluation of an Odour Emission Factor (OEF) to estimate odour emissions from landfill surfaces. Atmos. Environ. 2016, 144, 87–99. [Google Scholar] [CrossRef]
- Keck, M.; Mager, K.; Weber, K.; Keller, M.; Frei, M.; Steiner, B.; Schrade, S. Odour impact from farms with animal husbandry and biogas facilities. Sci. Total Environ. 2018, 645, 1432–1443. [Google Scholar] [CrossRef]
- Rincón, C.A.; De Guardia, A.; Couvert, A.; Le Roux, S.; Soutrel, I.; Daumoin, M.; Benoist, J.C. Chemical and odor characterization of gas emissions released during composting of solid wastes and digestates. J. Environ. Manag. 2019, 233, 39–53. [Google Scholar] [CrossRef]
- Sironi, S.; Eusebio, L.; Capelli, L.; Boiardi, E.; Del Rosso, R.; Guillot, J. Ammonia Diffusion Phenomena through NalophanTM Bags Used for Olfactometric Analyses. J. Environ. Prot. 2014, 5, 949–961. [Google Scholar] [CrossRef][Green Version]
- Yang, Q.; Wu, B.; Yao, F.; He, L.; Chen, F.; Ma, Y.; Shu, X.; Hou, K.; Wang, D.; Li, X. Biogas production from anaerobic co-digestion of waste activated sludge: Co-substrates and influencing parameters. Rev. Environ. Sci. Biotechnol. 2019, 18, 771–793. [Google Scholar] [CrossRef]
- Lapčík, V.; Lapčíkowá, M. Environmental Impact Assessment of Biogas Stations in the Czech Republic. Pol. J. Chem. Technol. 2011, 13, 18–22. [Google Scholar] [CrossRef]
- Wiśniewska, M.; Kulig, A.; Lelicińska-Serafin, K. Comparative analysis of preliminary identification and characteristic of odour sources in biogas plants processing municipal waste in Poland. SN Appl. Sci. 2019, 1, 550. [Google Scholar] [CrossRef]
- Capelli, L.; Sironi, S.; Del Rosso, R.; Céntola, P.; Rossi, A.; Austeri, C. Odour impact assessment in urban areas: Case study of the city of Terni. Procedia Environ. Sci. 2011, 4, 151–157. [Google Scholar] [CrossRef]
- Orzi, V.; Riva, C.; Scaglia, B.; D’Imporzano, G.; Tambone, F.; Adani, F. Anaerobic digestion coupled with digestate injection reduced odour emissions from soil during manure distribution. Sci. Total Environ. 2018, 621, 168–176. [Google Scholar] [CrossRef] [PubMed]
- De Feo, G.; De Gisi, S.; Williams, I.D. Public perception of odour and environmental pollution attributed to MSW treatment and disposal facilities: A case study. Waste Manag. 2013, 33, 974–987. [Google Scholar] [CrossRef] [PubMed]
- Chang, H.; Zhao, Y.; Tan, H.; Liu, Y.; Lu, W. Parameter sensitivity to concentrations and transport distance of odorous compounds from solid waste facilities. Sci. Total Environ. 2019, 651, 2158–2165. [Google Scholar] [CrossRef]
- Naseem, S.; King, A.J. Ammonia production in poultry houses can affect health of humans, birds, and the environment -techniques for its reduction during poultry production. Environ. Sci. Pollut. Res. 2018, 25, 15269–15293. [Google Scholar] [CrossRef]
- Huang, R.; Wu, H.; Yang, L. Study on the ammonia emission characteristics in an ammonia-based WFGD system. Chem. Eng. J. 2020, 379, 122257. [Google Scholar] [CrossRef]
- Korzeniowska-Rejmer, E.; Genorowicz, A. Impact of meteorological and field conditions on air pollutants spreading from municipal waste landfills. Czas. Tech. 2012, 108, 113–127. [Google Scholar] [CrossRef]
- Kulig, A. Metody Pomiarowo-Obliczeniowe w Ocenach Oddziaływania na Środowisko Obiektów Gospodarki Komunalnej [Measurement and Modelling Based Methods Applicable in Environmental Impact Assessment of Municipal Utilities]; Warsaw University of Technology: Warszawa, Poland, 2004. [Google Scholar]
- Barczak, R.; Kulig, A. Comparison of different measurement methods of odour and odorants used in the odour impact assessment of wastewater treatment plants in Poland. Water Sci. Technol. 2017, 77, 944–951. [Google Scholar] [CrossRef] [PubMed]
- Kulig, A.; Szyłak-Szydłowski, M. Assessment of Range of Olfactory Impact of Plant to Mechanical-Biological Treatment of Municipal Waste. Chem. Eng. Trans. 2016, 54, 247–252. [Google Scholar] [CrossRef]
- Sattler, M.; Devanathan, S. Which meteorological conditions produce worst-case odors from area sources? J. Air Waste Manag. Assoc. 2007, 57, 1296–1306. [Google Scholar] [CrossRef] [PubMed]
- Szulczyński, B.; Dymerski, T.; Gębicki, J.; Namieśnik, J. Instrumental measurement of odour nuisance in city agglomeration using electronic nose. E3S Web Conf. 2018, 28, 01012. [Google Scholar] [CrossRef]
- Wilson, A.D.; Baietto, M. Applications and Advances in Electronic-Nose Technologies. Sensors 2009, 9, 5099–5148. [Google Scholar] [CrossRef]
- VDI. VDI 3940 Part 2: Measurement of Odour Impact by Field Inspection—Measurement of the Impact Frequency of Recognizable Odours Plume Measurement; VDI-Verlag GmbH: Düsseldorf, Germany, 2006. [Google Scholar]
- SAI Global. PN-EN 13725:2007. Air Quality. Determination of Odour Concentration by Dynamic Olfactometry; SAI Global: Adelaide, Australia, 2007. [Google Scholar]
- Badach, J.; Kolasińska, P.; Paciorek, M.; Wojnowski, W.; Dymerski, T.; Gębicki, J.; Dymnicka, M.; Namieśnik, J. A case study of odour nuisance evaluation in the context of integrated urban planning. J. Environ. Manag. 2018, 213, 417–424. [Google Scholar] [CrossRef]
- Szyłak-Szydłowski, M.; Kulig, A. Assessment of the Effects of Wastewater Treatment Plant Modernization by Means of the Field Olfactometry Method. Water 2019, 11, 2367. [Google Scholar] [CrossRef]
- Spinelle, L.; Gerboles, M.; Kok, G.; Persijn, S.; Sauerwald, T. Review of Portable and Low-Cost Sensors for the Ambient Air Monitoring of Benzene and Other Volatile Organic Compounds. Sensors 2017, 17, 1520. [Google Scholar] [CrossRef]
- Szulczyński, B.; Gębicki, J. Currently Commercially Available Chemical Sensors Employed for Detection of Volatile Organic Compounds in Outdoor and Indoor Air. Environments 2017, 4, 21. [Google Scholar] [CrossRef]
- Wikimedia Commons. 2013. Available online: https://commons.wikimedia.org/wiki/File:Mapa_Polski.png (accessed on 16 December 2019).
- Sakawi, Z.; Mastura, S.; Jaafar, O.; Mahmud, M. Community perception of odour pollution from landfills. Res. J. Environ. Earth Sci. 2011, 7, 18–23. [Google Scholar]









| Location of Biogas Plant | Date of 1st Series | Date of 2nd Series |
|---|---|---|
| Jarocin | 21 July 2018 | 27 February 2019 |
| Tychy | 27 September 2018 | 5 March 2019 |
| Promnik | 12 April 2019 | 15 May 2019 |
| Stalowa Wola | 30 August 2018 | 19 February 2019 |
| Wólka Rokicka | 28 August 2018 | 19 February 2019 |
| Biała Podlaska | 26 April 2019 | 15 May 2019 |
| Scale of Odour Intensity, iod | Discernible Odour Intensity |
|---|---|
| 0 | No odour |
| 1 | Odour almost imperceptible |
| 2 | Very weak odour |
| 3 | Weak odour |
| 4 | Strong odour |
| 5 | Very strong odour |
| Kind of Sensor | Type of Sensor | Resolution | Range |
|---|---|---|---|
| NH3 | Electrochemical | 1 ppm | 0–100 |
| VOC | Photoionisation (PID) | 0.01 ppm | 0–100,000 ppm |
| Mark of Odour Source | Name of Odour Source at Analysed Biogas Plants | |||||
|---|---|---|---|---|---|---|
| A | B | C | D | E | F | |
| a | Waste storage plant | |||||
| b | Mechanical part plant (pre-treatment) | |||||
| c | Fermentation preparation plant/field | |||||
| d | Digestate dewatering plant | — | — | |||
| e | — | — | Oxygen stabilisation plant | — | Oxygen stabilisation plant | |
| f | Oxygen stabilisation | — | Oxygen stabilisation | |||
| g | Open biofilter surface | |||||
| Biogas Plant | Parameter | No. of the Research Series | Odour Sources Identified at the Examined Biogas Plants | ||||||
|---|---|---|---|---|---|---|---|---|---|
| a | b | c | d | e | f | g | |||
| A | T [°C] | 1 | 31.0 | 32.0 | 28.7 | 30.5 | — | 27.7 | 32.0 |
| Mean 30.3 ± 1.8 | |||||||||
| 2 | 10.9 | 11.7 | 11.4 | 11.8 | — | 13.0 | 12.6 | ||
| Mean 11.9 ± 0.8 | |||||||||
| RH [%] | 1 | 53.0 | 51.0 | 52.5 | 57.5 | — | 34.3 | 31.4 | |
| Mean 46.6 ± 10.9 | |||||||||
| 2 | 73.4 | 73.4 | 73.4 | 73.4 | — | 65.1 | 56.3 | ||
| Mean 69.2 ± 7.1 | |||||||||
| B | T [°C] | 1 | 16.9 | 16.9 | 16.0 | 16.5 | — | — | 16.0 |
| Mean 16.5 ± 0.5 | |||||||||
| 2 | 18.9 | 13.5 | 12.4 | 14.2 | — | — | 10.2 | ||
| Mean 13.8 ± 3.2 | |||||||||
| RH [%] | 1 | 48.0 | 42.5 | 48.5 | 49.0 | — | — | 55.5 | |
| Mean 48.7 ± 4.6 | |||||||||
| 2 | 42.6 | 39.5 | 54.4 | 63.5 | — | — | 49.1 | ||
| Mean 49.8 ± 9.6 | |||||||||
| C | T [°C] | 1 | 16.0 | 16.8 | 17.6 | 16.5 | nm | 9.6 | nm |
| Mean 15.3 ± 2.9 | |||||||||
| 2 | 17.5 | 17.3 | 16.2 | 17.8 | nm | 9.3 | nm | ||
| Mean 15.6 ± 3.2 | |||||||||
| RH [%] | 1 | 55.5 | 47.4 | 49.4 | 58.0 | nm | 43.6 | nm | |
| Mean 50.9 ± 5.3 | |||||||||
| 2 | 66.0 | 57.6 | 65.4 | 62.0 | nm | 72.8 | nm | ||
| Mean 64.8 ± 5.0 | |||||||||
| D | T [°C] | 1 | 26.5 | 26.3 | 25.5 | 25.3 | 25.2 | 27.1 | 27.0 |
| Mean 26.1 ± 0.8 | |||||||||
| 2 | 16.3 | 16.7 | 16.0 | 15.7 | 15.0 | 12.3 | 13.0 | ||
| Mean 15.0 ± 1.7 | |||||||||
| RH [%] | 1 | 50.8 | 50.5 | 59.3 | 59.3 | 53.5 | 43.5 | 41.5 | |
| Mean 51.2 ± 7.0 | |||||||||
| 2 | 36.8 | 36.3 | 45.3 | 41.9 | 42.8 | 46.5 | 73.2 | ||
| Mean 46.1 ± 12.6 | |||||||||
| E | T [°C] | 1 | 25.6 | 25.0 | 26.0 | — | — | 21.0 | 22.4 |
| Mean 24.0 ± 2.2 | |||||||||
| 2 | 13.5 | 15.8 | 11.6 | — | — | 15.2 | 12.3 | ||
| Mean 13.7 ± 1.8 | |||||||||
| RH [%] | 1 | 51.8 | 62.9 | 63.2 | — | — | 61.0 | 55.6 | |
| Mean 58.9 ± 5.0 | |||||||||
| 2 | 43.6 | 42.6 | 55.6 | — | — | 43.5 | 47.3 | ||
| Mean 46.5 ± 5.4 | |||||||||
| F | T [°C] | 1 | 25.2 | 25.2 | 28.7 | — | 23.5 | 26.4 | nm |
| Mean 25.8 ± 3.0 | |||||||||
| 2 | 14.8 | 14.8 | 11.7 | — | 14.2 | 11.7 | nm | ||
| Mean 13.4 ± 2.1 | |||||||||
| RH [%] | 1 | 40.0 | 40.9 | 33.2 | — | 58.4 | 33.3 | nm | |
| Mean 41.2 ± 9.2 | |||||||||
| 2 | 86.6 | 83.6 | 100 | — | 96.5 | 100 | nm | ||
| Mean 93.3 ± 6.9 | |||||||||
| Biogas Plant | Parameter | No. of the Research Series | Odour Sources Identified at the Examined Biogas Plants | ||||||
|---|---|---|---|---|---|---|---|---|---|
| a | b | c | d | e | f | g | |||
| A | VOC [ppm] | 1 | 0.20 ± 0.01 | 0.02 ± 0 | 0.20 ± 0.01 | 1.30 ± 0.01 | — | 0.21 ± 0.01 | 0.65 ± 0.01 |
| 2 | 0.81 ± 0.01 | 0.24 ± 0.01 | 0.53 ± 0.01 | 0.82 ± 0.01 | — | 0.60 ± 0.01 | 0.31 ± 0.01 | ||
| NH3 [ppm] | 1 | <1 ± 0 | <1 ± 0 | <1 ± 0 | 22 ± 1 | — | 1 ± 1 | 13 ± 1 | |
| 2 | 1 ± 0 | <1 ± 0 | 1 ± 1 | 32 ± 2 | — | 4 ± 1 | 2 ± 1 | ||
| B | VOC [ppm] | 1 | 7.74 ± 0.02 | 6.04 ± 0.02 | 1.94 ± 0.01 | 1.83 ± 0.01 | — | — | 0.02 ± 0 |
| 2 | 3.81 ± 0.01 | 1.84 ± 0.01 | 1.37 ± 0.01 | 1.20 ± 0.01 | — | — | 0.13 ± 0 | ||
| NH3 [ppm] | 1 | <1 ± | <1 ± 0 | 5 ± 1 | 20 ± 1 | — | — | <1 ± 0 | |
| 2 | 1 ± 1 | <1 ± 0 | 1 ± 1 | 9 ± 1 | — | — | <1 ± 0 | ||
| C | VOC [ppm] | 1 | 8.27 ± 0.02 | 4.34 ± 0.01 | 5.71 ± 0.02 | 6.41 ± 0.02 | nm | 0.14 ± 0 | nm |
| 2 | 4.26 ± 0.01 | 0.54 ± 0.01 | 1.66 ± 0.01 | 2.65 ± 0.01 | nm | 0.12 ± 0 | nm | ||
| NH3 [ppm] | 1 | 1 ± 1 | 1 ± 0 | 1 ± 1 | 2 ± 1 | nm | 1 ± 1 | nm | |
| 2 | 2 ± 1 | 1 ± 0 | 1 ± 1 | 1 ± 1 | nm | 1 ± 1 | nm | ||
| D | VOC [ppm] | 1 | 0.89 ± 0.01 | 0.74 ± 0.01 | 2.38 ± 0.01 | 2.13 ± 0.01 | 1.33 ± 0.01 | 0.26 ± 0.01 | 1.55 ± 0.01 |
| 2 | 1.42 ± 0.01 | 0.60 ± 0.01 | 2.35 ± 0.01 | 0.20 ± 0.01 | 0.50 ± 0.01 | 0.58 ± 0.01 | 0.86 ± 0.01 | ||
| NH3 [ppm] | 1 | <1 ± 0 | <1 ± 0 | 1 ± 1 | 8 ± 1 | 3 ± 1 | 1 ± 1 | 14 ± 2 | |
| 2 | <1 ± 0 | <1 ± 0 | <1 ± 0 | <1 ± 0 | 1 ± 1 | 1 ± 1 | 5 ± 1 | ||
| E | VOC [ppm] | 1 | 0.98 ± 0.01 | 2.50 ± 0.01 | 1.30 ± 0.01 | — | — | 0.96 ± 0.01 | 0.29 ± 0.01 |
| 2 | 0.72 ± 0.01 | 1.05 ± 0.01 | 1.40 ± 0.01 | — | — | 3.29 ± 0.01 | 0.26 ± 0.01 | ||
| NH3 [ppm] | 1 | 1 ± 1 | 3 ± 1 | 9 ± 1 | — | — | 1 ± 1 | 1 ± 1 | |
| 2 | <1 ± 0 | <1 ± 0 | 1 ± 1 | — | — | 4 ± 1 | <1 ± 0 | ||
| F | VOC [ppm] | 1 | 0.14 ± 0.01 | 0.44 ± 0.01 | 0.50 ± 0.01 | — | 0.45 ± 0.01 | 3.32 ± 0.01 | nm |
| 2 | 1.40 ± 0.01 | 0.64 ± 0.01 | 0.63 ± 0.01 | — | 0.18 ± 0.01 | 0.47 ± 0.01 | nm | ||
| NH3 [ppm] | 1 | <1 ± 0 | 2 ± 1 | 4 ± 1 | — | 4 ± 1 | 20 ± 2 | nm | |
| 2 | 1 ± 1 | 1 ± 0 | 1 ± 1 | — | 1 ± 1 | 9 ± 1 | nm | ||
© 2020 by the authors. Licensee MDPI, Basel, Switzerland. This article is an open access article distributed under the terms and conditions of the Creative Commons Attribution (CC BY) license (http://creativecommons.org/licenses/by/4.0/).
Share and Cite
Wiśniewska, M.; Kulig, A.; Lelicińska-Serafin, K. Odour Emissions of Municipal Waste Biogas Plants—Impact of Technological Factors, Air Temperature and Humidity. Appl. Sci. 2020, 10, 1093. https://doi.org/10.3390/app10031093
Wiśniewska M, Kulig A, Lelicińska-Serafin K. Odour Emissions of Municipal Waste Biogas Plants—Impact of Technological Factors, Air Temperature and Humidity. Applied Sciences. 2020; 10(3):1093. https://doi.org/10.3390/app10031093
Chicago/Turabian StyleWiśniewska, Marta, Andrzej Kulig, and Krystyna Lelicińska-Serafin. 2020. "Odour Emissions of Municipal Waste Biogas Plants—Impact of Technological Factors, Air Temperature and Humidity" Applied Sciences 10, no. 3: 1093. https://doi.org/10.3390/app10031093
APA StyleWiśniewska, M., Kulig, A., & Lelicińska-Serafin, K. (2020). Odour Emissions of Municipal Waste Biogas Plants—Impact of Technological Factors, Air Temperature and Humidity. Applied Sciences, 10(3), 1093. https://doi.org/10.3390/app10031093

