Contour Tracking Control of a Linear Motors-Driven X-Y-Y Stage Using Auto-Tuning Cross-Coupled 2DOF PID Control Approach
Abstract
:1. Introduction
2. LMs-Driven X-Y-Y Stage
3. Contour Error Determination
4. Artificial Bee Colony Algorithm
- Step 1: initialization phase
- Step 2 Employed bee phase
- Step 3 Onlooker bee phase
- Step 4 Scout bee phase
5. Proposed Contour Tracking Control Systems
5.1. Online System Parameters Identification
5.2. Contour Tracking Using 2PID Control System
5.3. Contour Tracking Using ACC2PID Control System
6. Experimentation
6.1. Experimental Setup
6.2. Performance Measures
6.3. Experimental Results
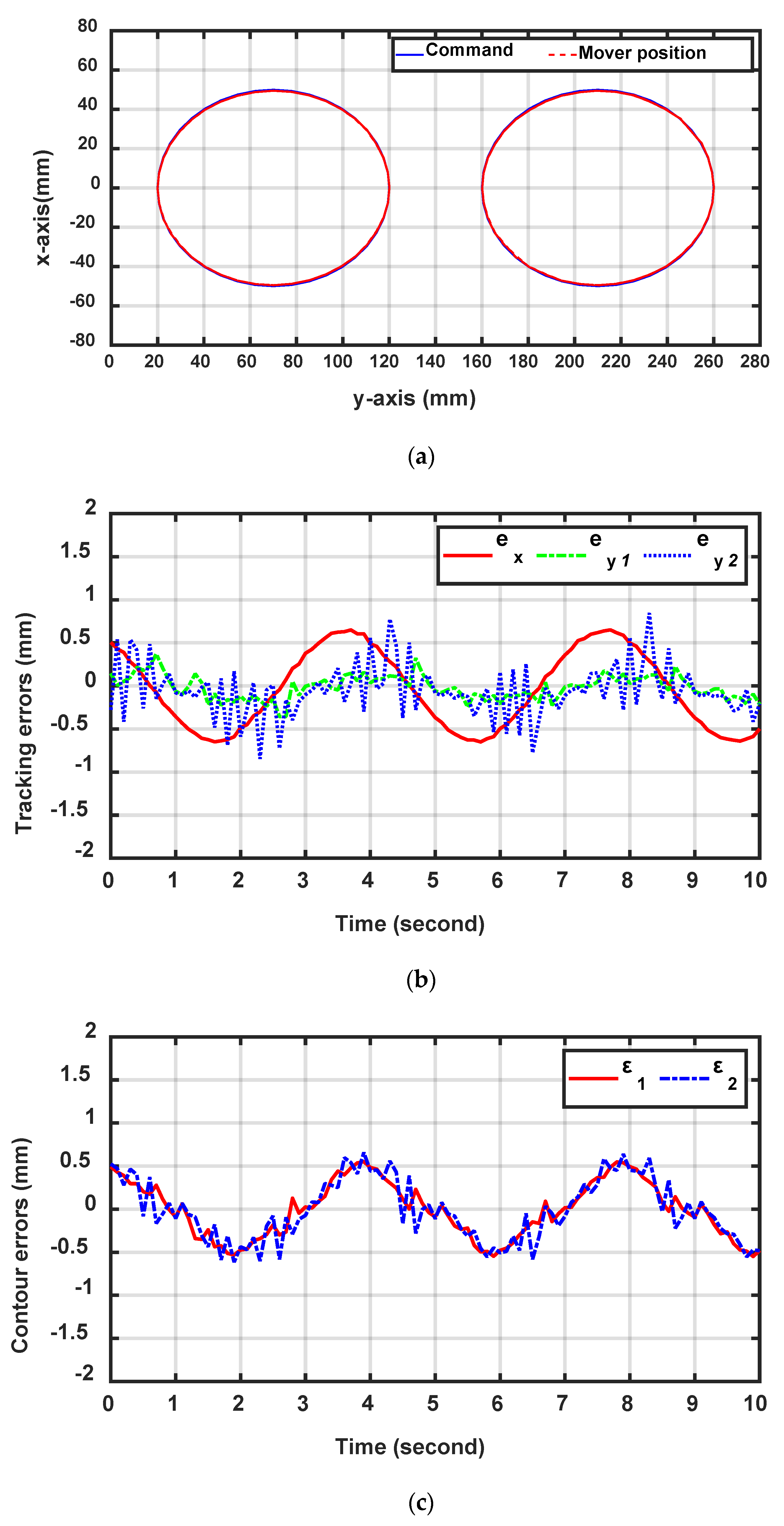
- Case 1. Circular contour command tracking
- Case 2. Three-leaf contour command tracking
7. Conclusions
Author Contributions
Funding
Acknowledgments
Conflicts of Interest
References
- Liu, Y.; Xu, X.; Chen, Z.; Tan, J. RBFNN based linear motor cogging force identification for lithography machines. IFAC-PapersOnLine 2015, 48, 650–655. [Google Scholar] [CrossRef]
- Yang, J.; Chen, Y.; Chen, Y.; Zhang, D. A tool path generation and contour error estimation method for four-axis serial machines. Mechatronics 2015, 31, 78–88. [Google Scholar] [CrossRef]
- Gordon, D.J.; Erkormaz, K. Precision control of a T-type gantry using sensor/actuator averaging and active vibration damping. Precis. Eng. 2012, 36, 299–314. [Google Scholar] [CrossRef]
- Huang, S.; Tan, K.K.; Xiao, M. Automated fault diagnosis and accommodation control for mechanical systems. IEEE/ASME Trans. Mechatron. 2015, 20, 155–165. [Google Scholar] [CrossRef]
- Sun, G.; Wu, L.; Kuang, Z.; Ma, Z.; Liu, J. Practical tracking control of linear motor via fractional-order sliding mode. Automatica 2018, 94, 221–235. [Google Scholar] [CrossRef]
- Ting, C.S.; Chang, Y.N. Observer-based backstepping control of linear stepping motor. Control Eng. Pract. 2013, 21, 930–939. [Google Scholar] [CrossRef]
- Ting, C.S.; Chang, Y.N.; Shi, B.W.; Lieu, J.F. Adaptive backstepping control for permanent magnet linear synchronous motor servo drive. IET Electr. Power Appl. 2015, 9, 265–279. [Google Scholar] [CrossRef]
- Lu, L.; Sun, P.; Xu, L.; Luo, M. Adaptive robust motion control for linear induction motor with electromagnetic nonlinearity compensation. Asian J. Control 2018, 21, 2441–2450. [Google Scholar] [CrossRef]
- Lin, F.J.; Chou, P.H.; Hung, Y.C.; Wang, W.M. Field-programmable gate array-based functional link radial basis function network control for permanent magnet linear synchronous motor servo drive system. IET Electr. Power Appl. 2010, 4, 357–372. [Google Scholar] [CrossRef]
- Song, F.; Liu, Y.; Xu, J.X.; Yang, X.; He, P.; Yang, Z. Iterative learning identification and compensation of space-periodic disturbance in PMLSM Systems with time delay. IEEE Tran. Ind. Electron. 2018, 65, 7579–7589. [Google Scholar] [CrossRef]
- Lin, C.J.; Yau, H.T.; Tian, Y.C. Identification and compensation of nonlinear friction characteristics and precision control for a linear motor stage. IEEE/ASME Trans. Mechatron. 2013, 18, 1385–1396. [Google Scholar] [CrossRef]
- Heydarzadeh, M.S.; Rezaei, S.M.; Azizi, N.; Kamali, E.A. Compensation of friction and force ripples in the estimation of cutting forces by neural networks. Measurement 2018, 114, 354–364. [Google Scholar] [CrossRef]
- Hu, C.; Wang, Z.; Zhu, Y.; Zhang, M. Accuratethree-dimensional contouring error estimation and compensation scheme with zero-phase filter. Int. J. Mach. Tools Manuf. 2018, 128, 33–40. [Google Scholar] [CrossRef]
- Farrage, A.; Uchiyama, N. Energy saving in biaxial feed drive systems using adaptive sliding mode contouring control with a nonlinear sliding surface. Mechatronics 2018, 54, 26–35. [Google Scholar] [CrossRef]
- Li, C.; Li, C.; Chen, Z.; Yao, B. Adaptive thrust allocation based synchronization control of a dual drive gantry stage. Mechatronics 2018, 54, 68–77. [Google Scholar] [CrossRef]
- Huo, F.; Poo, A.N. Improving contouring accuracy by using generalized cross-coupled control. Int. J. Mach. Tools Manuf. 2012, 63, 49–57. [Google Scholar] [CrossRef]
- Wu, J.; Xiong, Z.; Ding, H. Integral design of contour error model and control for biaxial system. Int. J. Mach. Tools Manuf. 2015, 89, 159–169. [Google Scholar] [CrossRef]
- Lin, S.; Cai, Y.; Yang, B.; Zhang, W. Electrical line-shafting control for motor speed synchronisation using sliding mode controller and disturbance observer. IET Control Theory Appl. 2016, 11, 205–212. [Google Scholar] [CrossRef]
- Sain, D. Real-Time implementation and performance analysis of robust 2-DOF PID controller for Maglev system using pole search technique. J. Ind. Inf. Integr. 2018, 15, 183–190. [Google Scholar] [CrossRef]
- Verma, B.; Padhy, P.K. Indirect IMC-PID controller design. IET Control Theory Appl. 2019, 13, 297–305. [Google Scholar] [CrossRef]
- Wang, L. Automatic tuning of PID controllers using frequency sampling filters. IET Control Theory Appl. 2017, 11, 985–995. [Google Scholar] [CrossRef]
- Mondal, R.; Chakraborty, A.; Dey, J.; Halder, S. Optimal fractional order PIλDμ controller for stabilization of cart-inverted pendulum system: Experimental results. Asian J. Control 2019, 22, 1345–1359. [Google Scholar] [CrossRef]
- Kinoshita, T.; Yamamoto, T. Design of a data-oriented PID controller for a two degree of freedom control system. IFAC PapersOnLine 2018, 51, 412–415. [Google Scholar] [CrossRef]
- Kannan, G.; Saravanakumar, G.; Saraswathi, M. Two-degree of freedom PID controller in time delay system using hybrid controller model. Int. J. Autom. Control 2018, 12, 399–426. [Google Scholar] [CrossRef]
- Pachauri, N.; Singh, V.; Rani, A. Two degree of freedom PID based inferential control of continuous bioreactor for ethanol production. ISA Trans. 2017, 68, 235–250. [Google Scholar] [CrossRef]
- Pan, Z.; Dong, F.; Zhao, J.; Wang, L.; Wang, H.; Feng, Y. Combined resonant controller and two-degree-of-freedom PID controller for PMSLM current harmonics suppression. IEEE Trans. Ind. Electron. 2018, 65, 7558–7568. [Google Scholar] [CrossRef]
- Karaboga, D.; Basturk, B. A powerful and efficient algorithm for numerical function optimization: Artificial bee colony (ABC) algorithm. J. Glob. Optim. 2007, 39, 459–471. [Google Scholar] [CrossRef]
- Karaboga, D.; Akay, B. A comparative study of Artificial Bee Colony algorithm. Appl. Math. Comput. 2009, 214, 108–132. [Google Scholar] [CrossRef]
- Xiang, W.; Meng, X.; Li, Y.; He, R.; An, M. An improved artificial bee colony algorithm based on the gravity model. Inf. Sci. 2018, 429, 49–71. [Google Scholar] [CrossRef]
- Rajasekhar, A.; Jatoth, R.K.; Abraham, A. Design of intelligent PID/PIλDλ speed controller for chopper fed DC motor drive using opposition based artificial bee colony algorithm. Eng. Appl. Artif. Intell. 2014, 29, 13–32. [Google Scholar] [CrossRef]
- Craveo, C.; Valdez, F.; Castillo, O. Optimization of fuzzy controller design using a new bee colony algorithm with fuzzy dynamic parameter adaptation. Appl. Soft Comput. 2016, 43, 131–142. [Google Scholar] [CrossRef]
- Li, T.-H.S.; Kuo, P.-H.; Ho, Y.-F.; Kao, M.-C.; Tai, L.-H. A biped gait learning algorithm for humanoid robots based on environmental impact assessed artificial bee colony. IEEE Access 2015, 3, 13–26. [Google Scholar] [CrossRef]
















| Term | x-Axis | y1-Axis & y2-Axis |
|---|---|---|
| Continuous force (N) | 99 | 29 |
| Continuous current (rms) | 2.6 | 1.6 |
| Peak force (1 s) (N) | 395 | 116 |
| Peak current (1 s) (rms) | 10.4 | 6.4 |
| Width of stator (mm) | 160 | 94 |
| Length of stator / Dimension (mm) | 60 | 40 |
| 2PID | A2PID | ACC2PID | ||||
|---|---|---|---|---|---|---|
| Max. | Avg. | Max. | Avg. | Max. | Avg. | |
| |ex| | 0.729 | 0.472 | 0.651 | 0.404 | 0.105 | 0.043 |
| |ey1| | 0.769 | 0.228 | 0.372 | 0.112 | 0.663 | 0.200 |
| |ey2| | 1.277 | 0.504 | 0.846 | 0.241 | 0.759 | 0.231 |
| |ε1| | 0.777 | 0.323 | 0.551 | 0.275 | 0.494 | 0.109 |
| |ε2| | 0.882 | 0.319 | 0.657 | 0.298 | 0.496 | 0.113 |
| |pe| | 1.205 | 0.757 | 0.473 | |||
| |pε| | 0.643 | 0.573 | 0.222 | |||
| 2PID | A2PID | ACC2PID | ||||
|---|---|---|---|---|---|---|
| Max. | Avg. | Max. | Avg. | Max. | Avg. | |
| |ex| | 0.654 | 0.396 | 0.350 | 0.138 | 0.085 | 0.027 |
| |ey1| | 0.557 | 0.178 | 0.454 | 0.100 | 0.387 | 0.111 |
| |ey2| | 1.006 | 0.256 | 0.461 | 0.135 | 0.566 | 0.181 |
| |ε1| | 0.671 | 0.300 | 0.310 | 0.120 | 0.282 | 0.073 |
| |ε2| | 0.743 | 0.321 | 0.336 | 0.145 | 0.466 | 0.121 |
| |pe| | 0.830 | 0.373 | 0.319 | |||
| |pε| | 0.621 | 0.265 | 0.194 | |||
Publisher’s Note: MDPI stays neutral with regard to jurisdictional claims in published maps and institutional affiliations. |
© 2020 by the authors. Licensee MDPI, Basel, Switzerland. This article is an open access article distributed under the terms and conditions of the Creative Commons Attribution (CC BY) license (http://creativecommons.org/licenses/by/4.0/).
Share and Cite
Chen, S.-Y.; Chien, Z.-J.; Wang, W.-Y.; Chiang, H.-H. Contour Tracking Control of a Linear Motors-Driven X-Y-Y Stage Using Auto-Tuning Cross-Coupled 2DOF PID Control Approach. Appl. Sci. 2020, 10, 9036. https://doi.org/10.3390/app10249036
Chen S-Y, Chien Z-J, Wang W-Y, Chiang H-H. Contour Tracking Control of a Linear Motors-Driven X-Y-Y Stage Using Auto-Tuning Cross-Coupled 2DOF PID Control Approach. Applied Sciences. 2020; 10(24):9036. https://doi.org/10.3390/app10249036
Chicago/Turabian StyleChen, Syuan-Yi, Zi-Jie Chien, Wei-Yen Wang, and Hsin-Han Chiang. 2020. "Contour Tracking Control of a Linear Motors-Driven X-Y-Y Stage Using Auto-Tuning Cross-Coupled 2DOF PID Control Approach" Applied Sciences 10, no. 24: 9036. https://doi.org/10.3390/app10249036
APA StyleChen, S.-Y., Chien, Z.-J., Wang, W.-Y., & Chiang, H.-H. (2020). Contour Tracking Control of a Linear Motors-Driven X-Y-Y Stage Using Auto-Tuning Cross-Coupled 2DOF PID Control Approach. Applied Sciences, 10(24), 9036. https://doi.org/10.3390/app10249036

