Synergistic Antibacterial Effects of Probiotic Lactic Acid Bacteria with Curcuma longa Rhizome Extract as Synbiotic against Cutibacterium acnes
Abstract
1. Introduction
2. Materials and Methods
2.1. Preparation of Plant Extracts
2.2. Bacterial Species and Growth Conditions
2.3. Antibacterial Activity by Agar Well Diffusion Assay
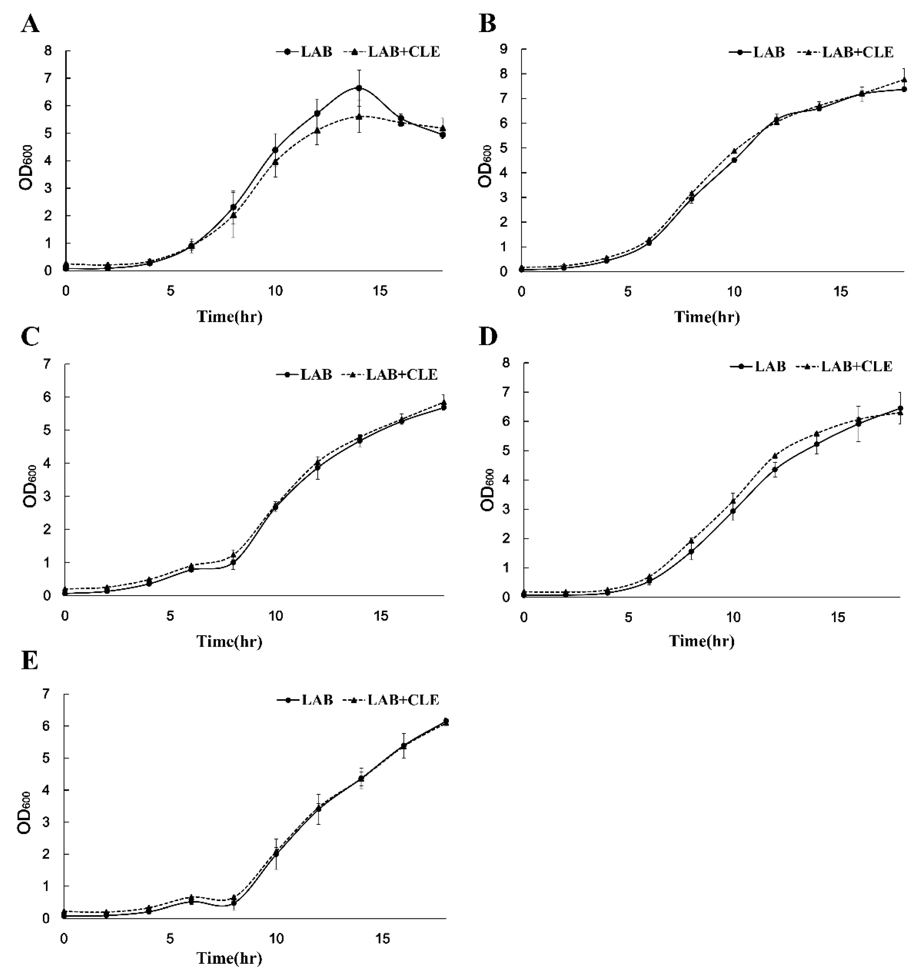
2.4. Determination of Growth Curves of Probiotics with and without CLE
2.5. Statistical Analysis
3. Results
3.1. Screening of Antibacterial Activities of Plant Extracts
3.2. Synergistic Antibacterial Effects of Lactobacillus sp. with and without CLE against C. acnes
3.3. Effect of CLE on the Growth of Five Lactobacillus sp.
4. Discussion
Author Contributions
Funding
Conflicts of Interest
References
- Gribbon, E.; Cunliffe, W.; Holland, K. Interaction of Propionibacterium acnes with skin lipids in vitro. Microbiology 1993, 139, 1745–1751. [Google Scholar] [CrossRef] [PubMed]
- Salminen, S.; Ouwehand, A.; Benno, Y.; Lee, Y. Probiotics: How should they be defined? Trends Food Sci. Technol. 1999, 10, 107–110. [Google Scholar] [CrossRef]
- Mottin, V.H.; Suyenaga, E.S. An approach on the potential use of probiotics in the treatment of skin conditions: Acne and atopic dermatitis. Int. J. Dermatol. 2018, 57, 1425–1432. [Google Scholar] [CrossRef] [PubMed]
- Nair, M.S.; Amalaradjou, M.; Venkitanarayanan, K. Antivirulence Properties of Probiotics in Combating Microbial Pathogenesis. In Advances in Applied Microbiology; Academic Press: Cambridge, MA, USA, 2017; Volume 98, pp. 1–29. [Google Scholar]
- Gibson, G.R.; Roberfroid, M.B. Dietary modulation of the human colonic microbiota: Introducing the concept of prebiotics. J. Nutr. 1995, 125, 1401–1412. [Google Scholar] [CrossRef]
- Al-Sheraji, S.H.; Ismail, A.; Manap, M.Y.; Mustafa, S.; Yusof, R.M.; Hassan, F.A. Prebiotics as functional foods: A review. J. Funct. Foods 2013, 5, 1542–1553. [Google Scholar] [CrossRef]
- Krutmann, J. Pre-and probiotics for human skin. J. Dermatol. Sci. 2009, 54, 1–5. [Google Scholar] [CrossRef]
- Vaughn, A.R.; Branum, A.; Sivamani, R.K. Effects of turmeric (Curcuma longa) on skin health: A systematic review of the clinical evidence. Phytother. Res. 2016, 30, 1243–1264. [Google Scholar] [CrossRef]
- Jain, A.; Basal, E. Inhibition of Propionibacterium acnes-induced mediators of inflammation by Indian herbs. Phytomedicine 2003, 10, 34–38. [Google Scholar] [CrossRef]
- Nam, C.; Kim, S.; Sim, Y.; Chang, I. Anti-acne effects of Oriental herb extracts: A novel screening method to select anti-acne agents. Ski. Pharmacol. Physiol. 2003, 16, 84–90. [Google Scholar] [CrossRef]
- Al-Ghazzewi, F.H.; Tester, R. Effect of konjac glucomannan hydrolysates and probiotics on the growth of the skin bacterium Propionibacterium acnes in vitro. Int. J. Cosmet. Sci. 2010, 32, 139–142. [Google Scholar] [CrossRef]
- Yu, Y.; Dunaway, S.; Champer, J.; Kim, J.; Alikhan, A. Changing our microbiome: Probiotics in dermatology. Br. J. Dermatol. 2020, 182, 39–46. [Google Scholar] [CrossRef]
- Kearney, S.M.; Gibbons, S.M. Designing synbiotics for improved human health. Microb. Biotechnol. 2018, 11, 141–144. [Google Scholar] [CrossRef] [PubMed]
- Vora, J.; Srivastava, A.; Modi, H. Antibacterial and antioxidant strategies for acne treatment through plant extracts. Inform. Med. Unlocked 2018, 13, 128–132. [Google Scholar] [CrossRef]
- Holscher, H.D. Dietary fiber and prebiotics and the gastrointestinal microbiota. Gut Microbes 2017, 8, 172–184. [Google Scholar] [CrossRef] [PubMed]
- Yazdi, F.G.; Soleimanian-Zad, S.; van den Worm, E.; Folkerts, G. Turmeric Extract: Potential Use as a Prebiotic and Anti-Inflammatory Compound? Plant Foods Hum. Nutr. 2019, 74, 293–299. [Google Scholar] [CrossRef] [PubMed]
- Khalaf, H.; Nakka, S.S.; Sandén, C.; Svärd, A.; Hultenby, K.; Scherbak, N.; Aili, D.; Bengtsson, T. Antibacterial effects of Lactobacillus and bacteriocin PLNC8 αβ on the periodontal pathogen Porphyromonas gingivalis. BMC Microbiol. 2016, 16, 188. [Google Scholar] [CrossRef] [PubMed]
- Yan, X.; Gu, S.; Cui, X.; Shi, Y.; Wen, S.; Chen, H.; Ge, J. Antimicrobial, anti-adhesive and anti-biofilm potential of biosurfactants isolated from Pediococcus acidilactici and Lactobacillus plantarum against Staphylococcus aureus CMCC26003. Microb. Pathog. 2019, 127, 12–20. [Google Scholar] [CrossRef]
- Oh, S.; Kim, S.-H.; Ko, Y.; Sim, J.-H.; Kim, K.S.; Lee, S.-H.; Park, S.; Kim, Y.J. Effect of bacteriocin produced by Lactococcus sp. HY 449 on skin-inflammatory bacteria. Food Chem. Toxicol. 2006, 44, 552–559. [Google Scholar] [CrossRef]
- Pranckutė, R.; Kaunietis, A.; Kuisienė, N.; Čitavičius, D.J. Combining prebiotics with probiotic bacteria can enhance bacterial growth and secretion of bacteriocins. Int. J. Biol. Macromol. 2016, 89, 669–676. [Google Scholar] [CrossRef]
- Chen, Y.S.; Srionnual, S.; Onda, T.; Yanagida, F. Effects of prebiotic oligosaccharides and trehalose on growth and production of bacteriocins by lactic acid bacteria. Lett. Appl. Microbiol. 2007, 45, 190–193. [Google Scholar] [CrossRef]
- Fabbrocini, G.; Bertona, M.; Picazo, O.; Pareja-Galeano, H.; Monfrecola, G.; Emanuele, E. Supplementation with Lactobacillus rhamnosus SP1 normalises skin expression of genes implicated in insulin signalling and improves adult acne. Benef. Microbes 2016, 7, 625–630. [Google Scholar] [CrossRef] [PubMed]


| Name of Plant | Extracted Part | Inhibition Zone (mm) |
|---|---|---|
| Cutibacterium acnes | ||
| Cornus officinalis | Berry | - |
| Allium cepa | Whole plant | - |
| Curcuma longa L. | Rhizome | 10.8 ± 0.29 |
| Cudrania tricuspidata | Root | - |
| Spinacia oleracea | Whole plant | - |
| Rubus coreanus | Leaves, Stem | - |
| Daucus carota var. sativa | Whole plant | - |
| Chrysanthemum coronarium var. spatiosum | Whole plant | - |
| Brassica oleracea var. capitata | Whole plant | - |
| Zingiber officinale | Root | - |
| Mollugo verticillata | Whole plant | - |
| Schisandra chinensis | Leaves | - |
| Vancomycin (Positive control) | 13.6 ± 2.9 |
Publisher’s Note: MDPI stays neutral with regard to jurisdictional claims in published maps and institutional affiliations. |
© 2020 by the authors. Licensee MDPI, Basel, Switzerland. This article is an open access article distributed under the terms and conditions of the Creative Commons Attribution (CC BY) license (http://creativecommons.org/licenses/by/4.0/).
Share and Cite
Kim, J.; Kim, H.; Jeon, S.; Jo, J.; Kim, Y.; Kim, H. Synergistic Antibacterial Effects of Probiotic Lactic Acid Bacteria with Curcuma longa Rhizome Extract as Synbiotic against Cutibacterium acnes. Appl. Sci. 2020, 10, 8955. https://doi.org/10.3390/app10248955
Kim J, Kim H, Jeon S, Jo J, Kim Y, Kim H. Synergistic Antibacterial Effects of Probiotic Lactic Acid Bacteria with Curcuma longa Rhizome Extract as Synbiotic against Cutibacterium acnes. Applied Sciences. 2020; 10(24):8955. https://doi.org/10.3390/app10248955
Chicago/Turabian StyleKim, Jina, Hyaekang Kim, Soomin Jeon, Jinchul Jo, Younghoon Kim, and Heebal Kim. 2020. "Synergistic Antibacterial Effects of Probiotic Lactic Acid Bacteria with Curcuma longa Rhizome Extract as Synbiotic against Cutibacterium acnes" Applied Sciences 10, no. 24: 8955. https://doi.org/10.3390/app10248955
APA StyleKim, J., Kim, H., Jeon, S., Jo, J., Kim, Y., & Kim, H. (2020). Synergistic Antibacterial Effects of Probiotic Lactic Acid Bacteria with Curcuma longa Rhizome Extract as Synbiotic against Cutibacterium acnes. Applied Sciences, 10(24), 8955. https://doi.org/10.3390/app10248955

