Effect of Uncertainties in Material and Structural Detailing on the Seismic Vulnerability of RC Frames Considering Construction Quality Defects
Abstract
1. Introduction
2. Selected Structure and Modelling Parameters
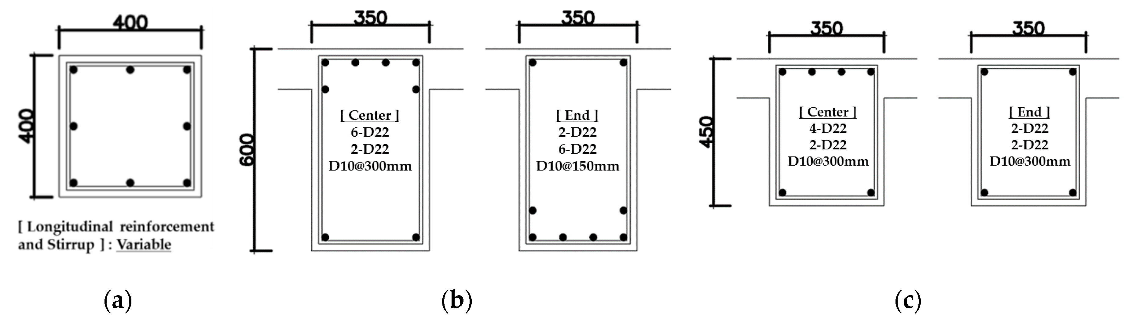
2.1. Description of Seclected Structure
2.2. Uncertain Parameters and Structural Modelling
3. Limit States and Input of Ground Motions
3.1. Limit States and Response Measure
3.2. Input Ground Motions
4. Seismic Vulnerability and Sensitivity Analysis
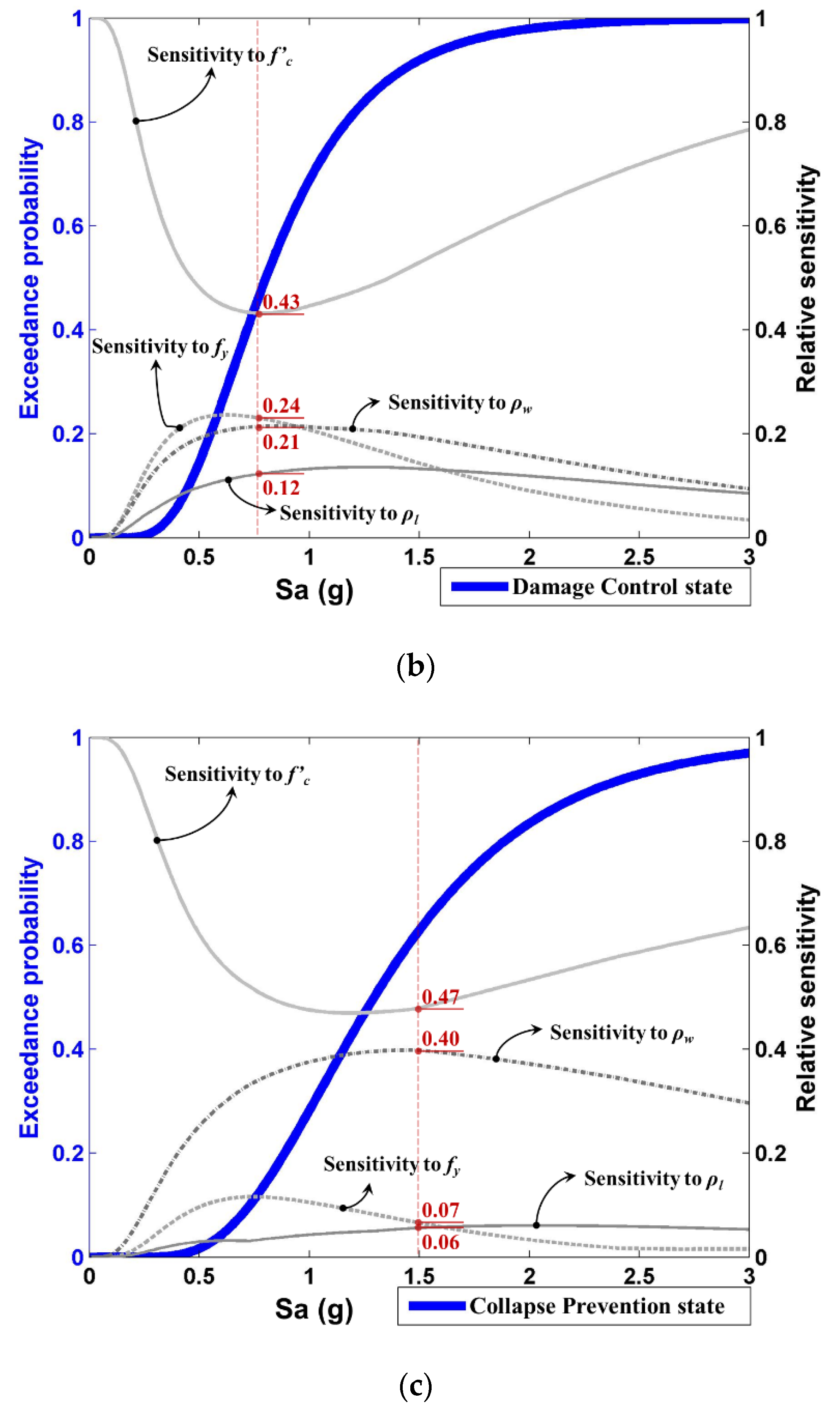
4.1. Development of Fragility Curve and Sensitivity Analysis
4.2. Effect on Global Response
4.3. Effect on Member Response
5. Summary and Conclusions
Author Contributions
Funding
Conflicts of Interest
References
- Tsai, K.C.; Hsiao, C.P.; Bruneau, M. Overview of building damages in 921 Chi-Chi earthquake. Earthq. Eng. Eng. Seismol. 2000, 2, 93–108. [Google Scholar]
- Elnashai, A.S.; Gencturk, B.; Kwon, O.S.; Hashash, Y.M.; Kim, S.J.; Jeong, S.H.; Dukes, J. The Maule (Chile) earthquake of February 27, 2010: Development of hazard, site specific ground motions and back-analysis of structures. Soil Dyn. Earthq. Eng. 2012, 42, 229–245. [Google Scholar] [CrossRef]
- Park, S.H.; Kim, S.; Kim, S.J.; Chang, C.; Yang, J.M. Performance evaluation of RC columns with an aramid fiber reinforced permanent form. J. Korean Soc. Adv. Compos. Struct. 2019, 10, 1–7. [Google Scholar]
- Chen, L.; Lu, X.; Jiang, H.; Zheng, J. Experimental investigation of damage behavior of RC frame members including non-seismically designed columns. Earthq. Eng. Eng. Vib. 2009, 8, 301–311. [Google Scholar] [CrossRef]
- Azam, R.; Soudki, K.; West, J.S.; Noël, M. Strengthening of shear-critical RC beams: Alternatives to externally bonded CFRP sheets. Constr. Build. Mater. 2017, 151, 494–503. [Google Scholar] [CrossRef]
- Chalioris, C.E.; Favvata, M.J.; Karayannis, C.G. Reinforced concrete beam-column joints with crossed inclined bars under cyclic deformations. Earthq. Eng. Struct. Dyn. 2008, 37, 881–897. [Google Scholar] [CrossRef]
- Lu, X.; Urukap, T.H.; Li, S.; Lin, F. Seismic behavior of interior RC beam-column joints with additional bars under cyclic loading. Earthq. Struct. 2012, 3, 37–57. [Google Scholar] [CrossRef]
- Chalioris, C.E.; Bantilas, K.E. Shear strength of reinforced concrete beam-column joints with crossed inclined bars. Eng. Struct. 2017, 140, 241–255. [Google Scholar] [CrossRef]
- Kim, J.; Han, S. Sensitivity analysis for seismic response of reinforced concrete staggered wall structures. Mag. Concr. Res. 2013, 65, 1348–1359. [Google Scholar] [CrossRef]
- D’Ayala, D.; Meslem, A. Derivation of analytical fragility functions considering modelling uncertainties. In Proceedings of the 11th International Conference on Structural Safety and Reliability—ICOSSAR13, New York, NY, USA, 16–20 June 2013. [Google Scholar]
- Pang, Y.; Wu, X.; Shen, G.; Yuan, W. Seismic fragility analysis of cable-stayed bridges considering different sources of uncertainties. J. Bridge Eng. 2014, 19, 04013015. [Google Scholar] [CrossRef]
- Moon, D.S.; Lee, Y.J.; Lee, S. Fragility analysis of space reinforced concrete frame structures with structural irregularity in plan. J. Struct. Eng. 2018, 144, 04018096. [Google Scholar] [CrossRef]
- Lee, T.H.; Mosalam, K.M. Seismic demand sensitivity of reinforced concrete shear-wall building using FOSM method. Earthq. Eng. Struct. Dyn. 2005, 34, 1719–1736. [Google Scholar] [CrossRef]
- Kwon, O.S.; Elnashai, A. The effect of material and ground motion uncertainty on the seismic vulnerability curves of RC structure. Eng. Struct. 2006, 28, 289–303. [Google Scholar] [CrossRef]
- Padgett, J.E.; DesRoches, R.F. Sensitivity of seismic response and fragility to parameter uncertainty. J. Struct. Eng. 2007, 133, 1710–1718. [Google Scholar] [CrossRef]
- Pan, H.; Tian, L.; Fu, X.; Li, H. Sensitivity of the seismic response and fragility estimate of a transmission tower to structural and ground motion uncertainties. J. Constr. Steel Res. 2020, 167, 105941. [Google Scholar] [CrossRef]
- Rajeev, P.; Tesfamariam, S. Effect of construction quality variability on seismic fragility of reinforced concrete building. In Proceedings of the Ninth Pacific Conference on Earthquake Engineering Structure Building and Earthquake-Resilient Society, Auckland, New Zealand, 14–16 April 2011. [Google Scholar]
- Open System for Earthquake Engineering Simulation. Available online: https://opensees.berkeley.edu (accessed on 1 July 2018).
- Mander, J.B.; Priestley, M.J.; Park, R. Theoretical stress-strain model for confined concrete. J. Struct. Eng. 1988, 114, 1804–1826. [Google Scholar] [CrossRef]
- Kim, S.; Kim, S.J.; Chang, C. Analytical assessment of the effect of vertical ground motion on RC frames designed for gravity loads with various geometric configurations. Adv. Civil. Eng. 2018. [Google Scholar] [CrossRef]
- Eurocode 8: Design of Structures for Earthquake Resistance-Part 1: General Rules, Seismic Actions and Rules for Buildings; EN 1998-1; CEN: Brussels, Belgium, 2004.
- Casolo, S. A numerical study on the cumulative out-of-plane damage to church masonry façades due to a sequence of strong ground motions. Earthq. Eng. Struct. Dyn. 2017, 46, 2717–2737. [Google Scholar] [CrossRef]
- Kim, J.; Park, J.H.; Lee, T.H. Sensitivity analysis of steel buildings subjected to column loss. Eng. Struct. 2011, 33, 421–432. [Google Scholar] [CrossRef]
- Hammad, A.; Moustafa, M.A. Modeling sensitivity analysis of special concentrically braced frames under short and long duration ground motions. Soil Dyn. Earthq. Eng. 2020, 128, 105867. [Google Scholar] [CrossRef]
- ACI 318-19. Building Code Requirements for Structural Concrete and Commentary; American Concrete Institute: Indianapolis, IN, USA, 2019. [Google Scholar]
- Seismic Building Design Code (KDS 41 17 00); Korean Design Standard; Ministry of Land: Seoul, Korea, 2019.













| Reference Name | Material | Structural Details | ||
|---|---|---|---|---|
| CS18 | 18 | 400 | 2.00 | 0.33 |
| CS21 | 21 | |||
| CS24 | 24 | |||
| CS27 | 27 | |||
| CS30 | 30 | |||
| YS300 | 24 | 300 | 2.00 | 0.33 |
| YS350 | 350 | |||
| YS400 | 400 | |||
| YS450 | 450 | |||
| YS500 | 500 | |||
| LR1.50 | 24 | 400 | 1.50 | 0.33 |
| LR1.75 | 1.75 | |||
| LR2.00 | 2.00 | |||
| LR2.25 | 2.25 | |||
| LR2.50 | 2.50 | |||
| TR0.23 | 24 | 400 | 2.00 | 0.23 |
| TR0.27 | 0.27 | |||
| TR0.33 | 0.33 | |||
| TR0.41 | 0.41 | |||
| TR0.54 | 0.54 | |||
| Earthquake | Mw | Station | Fault Distance (km) | Peak Ground Acceleration (g) | Peak Ground Velocity (cm/s) | SI (cm) |
|---|---|---|---|---|---|---|
| Northern Calif-01 (1941) | 6.40 | Ferndale City Hall | 44.60 | 0.12 | 5.94 | 17.17 |
| Hollister-01 (1961) | 5.60 | Hollister City Hall | 19.50 | 0.06 | 8.01 | 34.41 |
| Parkfield (1966) | 6.19 | Cholame–Shandon Array #5 | 9.58 | 0.44 | 25.04 | 82.97 |
| Temblor pre-1969 | 15.90 | 0.36 | 22.16 | 52.03 | ||
| Northern Calif-05 (1967) | 5.60 | Ferndale City Hall | 28.70 | 0.25 | 12.53 | 26.05 |
| Lytle Creek (1970) | 5.33 | Santa Anita Dam | 42.50 | 0.05 | 1.70 | 2.96 |
| San Fernando (1971) | 6.61 | LA—Hollywood Stor FF | 22.70 | 0.23 | 21.71 | 79.17 |
| Lake Hughes #12 | 19.30 | 0.38 | 16.36 | 37.83 | ||
| Managua Nicaragua (1972) | 6.24 | Managua ESSO1 | 4.06 | 0.37 | 29.06 | 114.55 |
| 5.20 | Managua ESSO2 | 4.98 | 0.26 | 25.40 | 90.69 | |
| Hollister-03 (1974) | 5.14 | Hollister City Hall | 9.39 | 0.09 | 5.37 | 15.23 |
| Friuli Italy-01 (1976) | 6.50 | Tolmezzo | 15.80 | 0.36 | 22.84 | 73.29 |
| Coyote Lake (1979) | 5.74 | Coyote Lake Dam—S.W. Abut. | 6.13 | 0.14 | 11.75 | 31.75 |
| Gilroy Array #2 | 9.02 | 0.19 | 10.27 | 40.30 | ||
| Imperial Valley-06 (1979) | 6.53 | Aeropueto Mexicli | 0.34 | 0.31 | 42.79 | 163.01 |
| Bonds Corner | 2.66 | 0.60 | 46.75 | 174.57 | ||
| EC County Center FF | 7.31 | 0.21 | 38.42 | 142.52 | ||
| El Centro Array #11 | 12.50 | 0.37 | 36.00 | 138.68 | ||
| El Centro Array #4 | 7.05 | 0.48 | 39.62 | 178.08 | ||
| El Centro Array #8 | 3.86 | 0.61 | 54.49 | 183.80 | ||
| El Centro Differential Array | 5.09 | 0.35 | 75.54 | 147.36 | ||
| Holtville Post Office | 7.50 | 0.26 | 53.11 | 109.12 | ||
| Imperial Valley-07 (1979) | 5.01 | El Centro Array #4 | 12.10 | 0.23 | 12.61 | 18.89 |
| El Centro Array #5 | 11.2 | 0.22 | 11.11 | 20.33 | ||
| El Centro Array #6 | 10.3 | 0.16 | 13.91 | 30.09 | ||
| Imperial Valley-08 (1979) | 5.62 | Westmorland FireSta | 9.76 | 0.11 | 11.95 | 32.17 |
| Livermore-02 (1980) | 5.42 | Antioch—510 GSt | 32.10 | 0.11 | 6.91 | 15.58 |
| San Ramon Eastman Kodak | 18.20 | 0.28 | 22.96 | 60.97 | ||
| Anza (Horse Canyon, 1980) | 5.19 | Borrego Air Ranch | 40.60 | 0.05 | 3.25 | 6.88 |
| Mammoth Lake-02 (1980) | 6.06 | Mammoth Creek | 4.67 | 0.32 | 16.32 | 36.80 |
| 5.69 | Convict Creek | 9.46 | 0.16 | 11.62 | 41.12 | |
| Mammoth Lakes H.S. | 9.12 | 0.39 | 24.16 | 42.74 | ||
| 5.91 | Convict Creek | 12.40 | 0.23 | 19.82 | 70.09 | |
| Westmorland (1981) | 5.90 | Brawley Airport | 15.40 | 0.16 | 12.67 | 47.60 |
| Parachute Test Site | 16.70 | 0.23 | 55.55 | 124.18 | ||
| Westmorland Fire Station | 6.50 | 0.38 | 44.12 | 179.55 | ||
| Morgan Hill (1984) | 6.19 | Anderson Dam (Downstream) | 3.26 | 0.42 | 25.41 | 64.07 |
| Gilroy Array #7 | 12.00 | 0.19 | 7.33 | 20.03 | ||
| Halls Valley | 3.48 | 0.16 | 12.77 | 47.78 | ||
| N. Palm Springs (1986) | 6.06 | North Palm Springs | 4.04 | 0.69 | 65.99 | 204.23 |
| Chalfant Valley-01 (1986) | 5.77 | Zack Brothers Ranch | 6.39 | 0.27 | 23.53 | 53.78 |
| Superstition Hills-02 (1987) | 6.54 | Poe Road (temp) | 11.10 | 0.48 | 41.17 | 122.36 |
| Superstition Mtn Camera | 5.61 | 0.58 | 23.95 | 69.31 | ||
| Loma Prieta (1989) | 6.93 | Corralitos | 3.85 | 0.65 | 55.97 | 156.52 |
| Big Bear-01 (1992) | 6.46 | Big Bear Lake—Civic Center | 8.30 | 0.55 | 34.51 | 72.38 |
| Kobe Japan (1995) | 6.90 | Nishi-Akashi | 7.08 | 0.48 | 46.82 | 147.48 |
| Dinar Turkey (1995) | 6.40 | Dinar | 3.36 | 0.33 | 45.32 | 209.69 |
| Parkfield-02 CA (2004) | 6.00 | Parkfield—Fault Zone 3 | 2.73 | 0.38 | 22.95 | 74.22 |
| Parkfield—Fault Zone 7 | 2.67 | 0.23 | 18.53 | 82.44 | ||
| Parkfield—Fault Zone 8 | 3.95 | 0.57 | 22.04 | 45.72 |
Publisher’s Note: MDPI stays neutral with regard to jurisdictional claims in published maps and institutional affiliations. |
© 2020 by the authors. Licensee MDPI, Basel, Switzerland. This article is an open access article distributed under the terms and conditions of the Creative Commons Attribution (CC BY) license (http://creativecommons.org/licenses/by/4.0/).
Share and Cite
Kim, S.; Moon, T.; Kim, S.J. Effect of Uncertainties in Material and Structural Detailing on the Seismic Vulnerability of RC Frames Considering Construction Quality Defects. Appl. Sci. 2020, 10, 8832. https://doi.org/10.3390/app10248832
Kim S, Moon T, Kim SJ. Effect of Uncertainties in Material and Structural Detailing on the Seismic Vulnerability of RC Frames Considering Construction Quality Defects. Applied Sciences. 2020; 10(24):8832. https://doi.org/10.3390/app10248832
Chicago/Turabian StyleKim, Siyun, Taehwan Moon, and Sung Jig Kim. 2020. "Effect of Uncertainties in Material and Structural Detailing on the Seismic Vulnerability of RC Frames Considering Construction Quality Defects" Applied Sciences 10, no. 24: 8832. https://doi.org/10.3390/app10248832
APA StyleKim, S., Moon, T., & Kim, S. J. (2020). Effect of Uncertainties in Material and Structural Detailing on the Seismic Vulnerability of RC Frames Considering Construction Quality Defects. Applied Sciences, 10(24), 8832. https://doi.org/10.3390/app10248832

