Design of Three-Phase V-Shaped Interior Permanent Magnet Synchronous Motor for Air Conditioning Compressor of Electric Vehicle
Abstract
1. Introduction
2. Lumped Parameter Model of V-Shaped IPMSM
2.1. PM Flux Linkage
2.2. D-axis Inductance
2.3. Q-Axis Inductance
3. Design of Rotor Shapes
4. Results of Finite Element Analysis
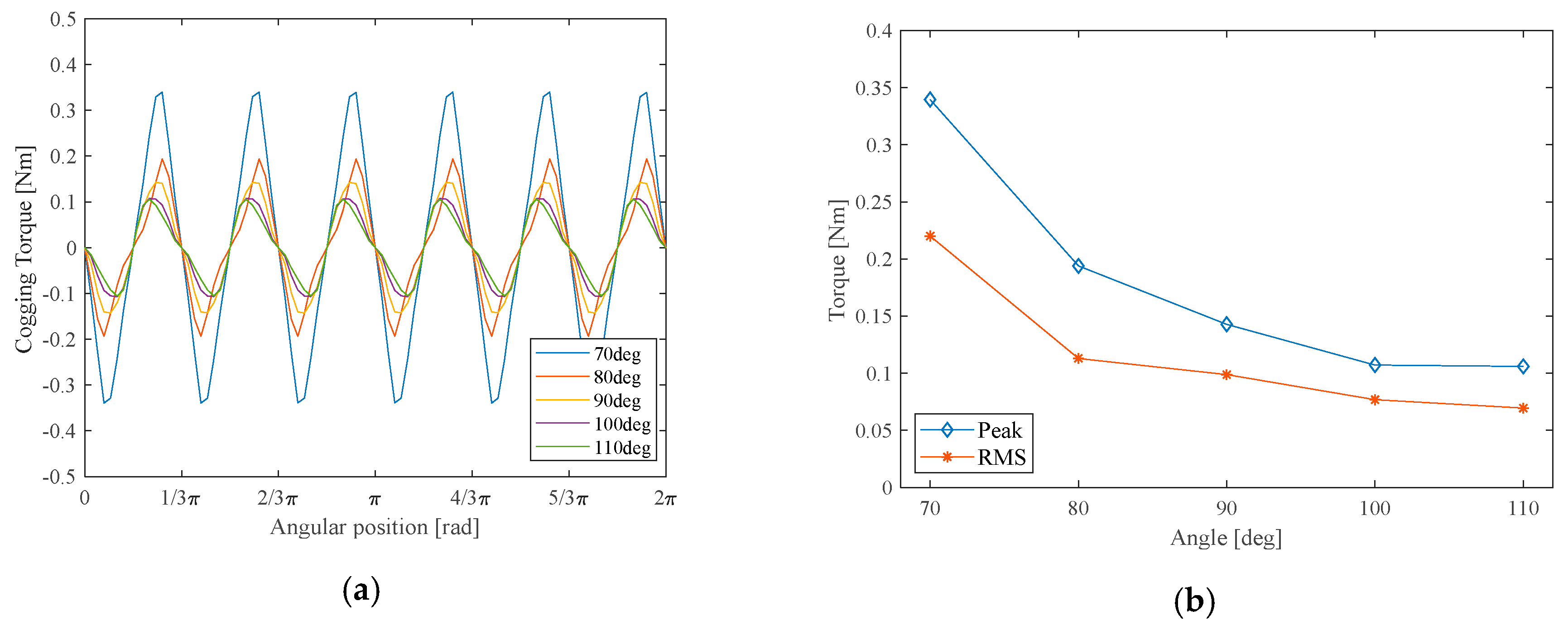
4.1. Cogging Torque
4.2. Back-EMF
4.3. Inductances
4.4. Torque
5. Experimental Results
5.1. Back-EMF
5.2. MTPA Trajectory
6. Conclusions
Author Contributions
Funding
Conflicts of Interest
References
- Yang, Z.; Shang, F.; Brown, I.P.; Krishnamurthy, M. Comparative Study of Interior Permanent Magnet, Induction, and Switched Reluctance Motor Drives for EV and HEV Applications. IEEE Trans. Transp. Electrif. 2015, 1, 245–254. [Google Scholar] [CrossRef]
- Štumberger, B.; Marcic, T.; Hadžiselimović, M. Direct Comparison of Induction Motor and Line-Start IPM Synchronous Motor Characteristics for Semi-Hermetic Compressor Drives. IEEE Trans. Ind. Appl. 2012, 48, 2310–2321. [Google Scholar] [CrossRef]
- Murakami, H.; Honda, Y.; Kiriyama, H.; Morimoto, S.; Takeda, Y. The performance comparison of SPMSM, IPMSM and SynRM in use as air-conditioning compressor. In Proceedings of the Conference Record of the 1999 IEEE Industry Applications Conference. Thirty-Forth IAS Annual Meeting (Cat. No.99CH36370), Phoenix, AZ, USA, 3–7 October 2003; pp. 840–845. [Google Scholar] [CrossRef]
- Bucherl, D.; Nuscheler, R.; Meyer, W.; Herzog, H.-G. Comparison of electrical machine types in hybrid drive trains: Induction machine vs. permanent magnet synchronous machine. In Proceedings of the 2008 18th International Conference on Electrical Machines, Vilamoura, Portugal, 6–9 September 2008; pp. 1–6. [Google Scholar]
- Lateb, R.; Takorabet, N.; Meibody-Tabar, F.; Mirzaian, A.; Enon, J.; Sarribouette, A. Performances comparison of induction motors and surface mounted PM motor for POD marine propulsion. In Proceedings of the Fourtieth IAS Annual Meeting. Conference Record of the 2005 Industry Applications Conference, Hong Kong, China, 2–6 October 2005; pp. 1342–1349. [Google Scholar]
- Sumega, M.; Rafajdus, P.; Stulrajter, M. Current Harmonics Controller for Reduction of Acoustic Noise, Vibrations and Torque Ripple Caused by Cogging Torque in PM Motors under FOC Operation. Energies 2020, 13, 2534. [Google Scholar] [CrossRef]
- Sumega, M.; Zoššák, Š.; Varecha, P.; Rafajdus, P. Sources of torque ripple and their influence in BLDC motor drives. Transp. Res. Procedia 2019, 40, 519–526. [Google Scholar] [CrossRef]
- Xia, K.; Li, Z.; Lu, J.; Dong, B.; Bi, C. Acoustic noise of brushless DC motors induced by electromagnetic torque ripple. J. Power Electron. 2017, 17, 963–971. [Google Scholar]
- Chen, P.; Chen, T.; Liang, J.; Fahimi, B.; Moallem, M. Torque Ripple Mitigation Via Optimized Current Profiling in Interior Permanent Magnet Synchronous Motors. In Proceedings of the 2019 IEEE International Electric Machines & Drives Conference (IEMDC), San Diego, CA, USA, 11–15 May 2019; pp. 240–247. [Google Scholar]
- Chen, Q.; Xu, G.; Zhai, F.; Liu, G. A Novel Spoke-Type PM Motor with Auxiliary Salient Poles for Low Torque Pulsation. IEEE Trans. Ind. Electron. 2020, 67, 4762–4773. [Google Scholar] [CrossRef]
- Ma, Q.; Cui, X.; Zhang, L.; Zhao, X.; Lai, J.-S. Torque ripple and acoustic noise of current modulations of a pseudo-sinusoidal switched reluctance motor. In Proceedings of the 2016 IEEE Energy Conversion Congress and Exposition (ECCE), Milwaukee, WI, USA, 18–22 September 2016; pp. 1–5. [Google Scholar]
- Kawa, M.; Kiyota, K.; Furqani, J.; Chiba, A. Acoustic Noise Reduction of a High-Efficiency Switched Reluctance Motor for Hybrid Electric Vehicles with Novel Current Waveform. IEEE Trans. Ind. Appl. 2019, 55, 2519–2528. [Google Scholar] [CrossRef]
- Ning, Z.; Mao, Y.; Huang, Y.; Chen, X. The Influence of LC Filter on the Current Control of PWM-Fed Induction Motor Considering the Effect of Back-EMF. J. Phys. Conf. Ser. 2020, 1486, 062041. [Google Scholar] [CrossRef]
- Vaez-Zadeh, S.; Isfahani, A. Multiobjective design optimization of air-core linear permanent-magnet synchronous motors for improved thrust and low magnet consumption. IEEE Trans. Magn. 2006, 42, 446–452. [Google Scholar] [CrossRef]
- Baek, S.-W.; Lee, S.W. Design Optimization and Experimental Verification of Permanent Magnet Synchronous Motor Used in Electric Compressors in Electric Vehicles. Appl. Sci. 2020, 10, 3235. [Google Scholar] [CrossRef]
- Lipo, T.A. Introduction to AC Machine Design; Wiley: Madison, WI, USA, 1996. [Google Scholar]
- Magnussen, F.; Sadarangani, C. Winding factors and Joule losses of permanent magnet machines with concentrated windings. In Proceedings of the IEEE International Electric Machines and Drives Conference (IEMDC’03), Madison, WI, USA, 1–4 June 2003; pp. 333–339. [Google Scholar]
- Yokoi, Y.; Higuchi, T.; Miyamoto, Y. General formulation of winding factor for fractional-slot concentrated winding design. IET Electr. Power Appl. 2016, 10, 231–239. [Google Scholar] [CrossRef]
- Pouramin, A.; Dutta, R.; Rahman, M.F. Preliminary study on differences in the performance characteristics of concentrated and distributed winding IPM machines with different rotor topologies. In Proceedings of the 2017 IEEE Energy Conversion Congress and Exposition (ECCE), Cincinnati, OH, USA, 1–5 October 2017; pp. 3565–3570. [Google Scholar]
- Wang, A.; Jia, Y.; Soong, W.L. Comparison of Five Topologies for an Interior Permanent-Magnet Machine for a Hybrid Electric Vehicle. IEEE Trans. Magn. 2011, 47, 3606–3609. [Google Scholar] [CrossRef]
- Yang, Y.; Castano, S.M.; Yang, R.; Kasprzak, M.; Bilgin, B.; Sathyan, A.; Dadkhah, H.; Emadi, A. Design and Comparison of Interior Permanent Magnet Motor Topologies for Traction Applications. IEEE Trans. Transp. Electrif. 2016, 3, 86–97. [Google Scholar] [CrossRef]
- Vagati, A.; Franceschini, G.; Marongiu, I.; Troglia, G. Design criteria of high performance synchronous reluctance motors. In Proceedings of the Conference Record of the 1992 IEEE Industry Applications Society Annual Meeting, Houston, TX, USA, 4–9 October 1992; pp. 66–73. [Google Scholar]
- Lovelace, E.C.F. Optimization of a Magnetically Saturable Interior Permanent-Magnet Synchronous Machine Drive. Ph.D. Thesis, Massachusetts Institute of Technology, Cambridge, MA, USA, 2000. [Google Scholar]
- Baek, J.; Bonthu, S.S.R.; Kwak, S.; Choi, S. Optimal design of five-phase permanent magnet assisted synchronous reluctance motor for low output torque ripple. In Proceedings of the 2014 IEEE Energy Conversion Congress and Exposition (ECCE), Pittsburgh, PA, USA, 14–18 September 2014; pp. 2418–2424. [Google Scholar]
- Baek, J.; Bonthu, S.S.R.; Choi, S. Design of five-phase permanent magnet assisted synchronous reluctance motor for low output torque ripple applications. IET Electr. Power Appl. 2016, 10, 339–346. [Google Scholar] [CrossRef]
- Bonthu, S.S.R.; Choi, S.; Baek, J. Design Optimization with Multiphysics Analysis on External Rotor Permanent Magnet-Assisted Synchronous Reluctance Motors. IEEE Trans. Energy Convers. 2017, 33, 290–298. [Google Scholar] [CrossRef]
- Bonthu, S.S.R.; Arafat, A.; Choi, S. Comparisons of Rare-Earth and Rare-Earth-Free External Rotor Permanent Magnet Assisted Synchronous Reluctance Motors. IEEE Trans. Ind. Electron. 2017, 64, 9729–9738. [Google Scholar] [CrossRef]
- Vagati, A.; Pastorelli, M.; Scapino, F.; Franceschini, G. Impact of cross saturation in synchronous reluctance motors of the transverse-laminated type. IEEE Trans. Ind. Appl. 2000, 36, 1039–1046. [Google Scholar] [CrossRef]


















| Parameter | Value | Parameter | Value | Requirement | Value |
|---|---|---|---|---|---|
| Phase | 3 | Stack length | 47 mm | Base torque | 6 Nm |
| Pole | 8 | Diameter of stator | 94 mm | Base speed | 6000 r/min |
| Slot | 12 | Diameter of rotor | 48.8 mm | Max. speed | 8600 r/min |
| Gap | 0.7 mm | Serial turns/phase | 148 turns | Efficiency | 94% |
| Resistance | 0.36 Ω | PM flux density | 1.36 T |
| Angle [degree] | Magnet Volumes [cm3] | PM Flux Linkage [mWbrms] | Back-Emf THD [%] |
|---|---|---|---|
| 70 | 15.98 | 52.3 | 14.42 |
| 80 | 14.31 | 49.67 | 10.02 |
| 90 | 13.16 | 48.34 | 8.74 |
| 100 | 12.53 | 46.49 | 7.01 |
| 110 | 11.80 | 45.06 | 6.65 |
| Angle [degree] | Magnet Volumes [cm3] | Mean Value of Torque [Nm] | Torque Ripple [%] | Efficiency [%] |
|---|---|---|---|---|
| 70 | 15.98 | 8.04 | 10.93 | 94.2 |
| 80 | 14.31 | 7.68 | 10.34 | 93.8 |
| 90 | 13.16 | 7.53 | 7.97 | 93.7 |
| 100 | 12.53 | 7.31 | 7.05 | 93.4 |
| 110 | 11.80 | 7.16 | 6.25 | 93.2 |
Publisher’s Note: MDPI stays neutral with regard to jurisdictional claims in published maps and institutional affiliations. |
© 2020 by the authors. Licensee MDPI, Basel, Switzerland. This article is an open access article distributed under the terms and conditions of the Creative Commons Attribution (CC BY) license (http://creativecommons.org/licenses/by/4.0/).
Share and Cite
Jeong, H.; Baek, J. Design of Three-Phase V-Shaped Interior Permanent Magnet Synchronous Motor for Air Conditioning Compressor of Electric Vehicle. Appl. Sci. 2020, 10, 8785. https://doi.org/10.3390/app10248785
Jeong H, Baek J. Design of Three-Phase V-Shaped Interior Permanent Magnet Synchronous Motor for Air Conditioning Compressor of Electric Vehicle. Applied Sciences. 2020; 10(24):8785. https://doi.org/10.3390/app10248785
Chicago/Turabian StyleJeong, Hojin, and Jeihoon Baek. 2020. "Design of Three-Phase V-Shaped Interior Permanent Magnet Synchronous Motor for Air Conditioning Compressor of Electric Vehicle" Applied Sciences 10, no. 24: 8785. https://doi.org/10.3390/app10248785
APA StyleJeong, H., & Baek, J. (2020). Design of Three-Phase V-Shaped Interior Permanent Magnet Synchronous Motor for Air Conditioning Compressor of Electric Vehicle. Applied Sciences, 10(24), 8785. https://doi.org/10.3390/app10248785
