Study on Mechanical and Viscoelastic Properties of Asphalt Mixture Modified by Diatomite and Crumb Rubber Particles
Abstract
1. Introduction
2. Materials and Methods
2.1. Materials
2.2. Experimental Method
2.2.1. Rutting Tests
2.2.2. Low-Temperature Trabecular Bending Tests
2.2.3. Freeze-Thaw Splitting Test
2.2.4. Uniaxial Compression Creep Test
2.3. Interconversion between Creep Compliance and Relaxation Modulus
3. Results and Discussion
3.1. Mechanical Properties of Asphalt Mixtures Modified by Diatomite and Crumb Rubber Particles
3.1.1. High-Temperature Stability
3.1.2. Anti-Crack at Low Temperature
3.1.3. Moisture Susceptibility
3.2. Creep Characteristics of Asphalt Mixtures
3.2.1. Test Results of Creep Compliance
3.2.2. Fitting Analyses of Creep Compliance
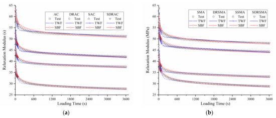
3.3. Relaxation Characteristics of Asphalt Mixtures
3.3.1. Calculation of Relaxation Modulus
3.3.2. Fitting Analysis of Relaxation Modulus
4. Conclusions
- (1)
- The addition of rubber particle and diatomite can improve the high temperature stability and low-temperature crack resistance of asphalt mixtures, but the improvement effect is weaker than that of SBS. This is because rubber particle and diatomite are mainly used for physical blending to strengthen asphalt mixture, and its effect is weaker than the chemical modification of SBS. Diatomite and rubber particles have a negative impact on the water stability of asphalt mixture, while the negative effect of rubber particles on water stability become relatively weak when using SBS modified asphalt. While when using SBS modified asphalt, the negative effect of rubber particles on water stability is relatively weak.
- (2)
- The improvement effect of rubber particle and diatomite on the high and low temperature performance of suspended dense asphalt mixture is better than that of skeleton dense asphalt mixture. After the addition of rubber particles, the skeleton extrusion of skeleton dense asphalt mixture is destroyed and the local weak area is introduced, which can reduce the enhancement effect of rubber particle and diatomite on the high and low temperature performance of asphalt mixtures.
- (3)
- The addition of rubber particle and diatomite can improve the ability of instantaneous elastic deformation, viscoelastic deformation, and irreversible permanent deformation. SBS modified asphalt has high bonding performance which can promote the strengthening of rubber particle and diatomite. The improvement effect of suspended dense matrix asphalt mixture is higher than that of skeleton dense asphalt mixture.
- (4)
- Diatomite and rubber particles can increase the relaxation modulus of asphalt mixtures, but the improvement effect is not as good as SBS modified asphalt; under the combined action of diatomaceous earth, rubber particles, and SBS modified asphalt mixture, the relaxation characteristics of asphalt mixture are the best. The effect of rubber particle and diatomite on the relaxation and solid elastic properties of the suspended dense asphalt mixture is obviously better than that of the skeleton dense asphalt mixture.
Author Contributions
Funding
Acknowledgments
Conflicts of Interest
References
- Bressi, S.; Fiorentini, N.; Huang, J.; Losa, M. Crumb Rubber Modifier in Road Asphalt Pavements: State of the Art and Statistics. Coatings 2019, 9, 384. [Google Scholar] [CrossRef]
- Jamrah, A.A.; Emin Kutay, M. Comparison of Linear Viscoelastic Properties of Crumb Rubber–Modified Binders Measured Using Parallel-Plate and Concentric Cylinder Geometries with Asphalt Mixture Dynamic Modulus. J. Mater. Civil. Eng. 2020, 32, 04019352. [Google Scholar] [CrossRef]
- Venudharan, V.; Biligiri, K.P. Effect of crumb rubber gradation on asphalt binder modification: Rheological evaluation, optimization and selection. Mater. Struct. 2017, 50, 129. [Google Scholar] [CrossRef]
- Wang, T.; Xiao, F.; Amirkhanian, S.; Huang, W.; Zheng, M. A review on low temperature performances of rubberized asphalt materials. Constr. Build. Mater. 2017, 145, 483–505. [Google Scholar] [CrossRef]
- Daly, W.H.; Balamurugan, S.S.; Negulescu, I.; Akentuna, M.; Mohammad, L.; Cooper, S.B.; Cooper, S.B.; Baumgardner, G.L. Characterization of Crumb Rubber Modifiers after Dispersion in Asphalt Binders. Energy Fuels 2018, 33, 2665–2679. [Google Scholar] [CrossRef]
- Wang, H.; You, Z.; Mills-Beale, J.; Hao, P. Laboratory evaluation on high temperature viscosity and low temperature stiffness of asphalt binder with high percent scrap tire rubber. Constr. Build. Mater. 2012, 26, 583–590. [Google Scholar] [CrossRef]
- Abdul Hassan, N.; Abdulhussein Abdulridha Almusawi, A.; Zul Hanif Mahmud, M.; Asniza Mohamed Abdullah, N.; Athma Mohd Shukry, N.; Mashros, N.; Putra Jaya, R.M.D.; Yusoff, N.I. Engineering properties of crumb rubber modified dense-graded asphalt mixtures using dry process. IOP Conf. Ser. Earth Environ. Sci. 2019, 220, 012009. [Google Scholar] [CrossRef]
- Zhang, F.; Hu, C. The research for crumb rubber/waste plastic compound modified asphalt. J. Therm. Anal. Calorim. 2015, 124, 729–741. [Google Scholar] [CrossRef]
- Zhong, K.; Sun, M.; Chang, R. Performance evaluation of high-elastic/salt-storage asphalt mixture modified with Mafilon and rubber particles. Constr. Build. Mater. 2018, 193, 153–161. [Google Scholar] [CrossRef]
- Behnood, A.; Olek, J. Rheological properties of asphalt binders modified with styrene-butadiene-styrene (SBS), ground tire rubber (GTR), or polyphosphoric acid (PPA). Constr. Build. Mater. 2017, 151, 464–478. [Google Scholar] [CrossRef]
- Behnood, A.; Olek, J. Stress-dependent behavior and rutting resistance of modified asphalt binders: An MSCR approach. Constr. Build. Mater. 2017, 157, 635–646. [Google Scholar] [CrossRef]
- Qian, C.; Fan, W.; Yang, G.; Han, L.; Xing, B.; Lv, X. Influence of crumb rubber particle size and SBS structure on properties of CR/SBS composite modified asphalt. Constr. Build. Mater. 2020, 235, 117517. [Google Scholar] [CrossRef]
- Wei, H.; He, Q.; Jiao, Y.; Chen, J.; Hu, M. Evaluation of anti-icing performance for crumb rubber and diatomite compound modified asphalt mixture. Constr. Build. Mater. 2016, 107, 109–116. [Google Scholar] [CrossRef]
- Cheng, Y.; Li, L.; Zhang, Y.; Lv, Z.; Zhu, C. Quantitative Analysis of Effect and Interaction of Diatomite and Basalt Fiber on Asphalt Performance. J. Mater. Civil. Eng. 2019, 31, 04019306. [Google Scholar] [CrossRef]
- Zhang, Y.B.; Zhu, H.Z.; Wang, G.A.; Chen, T.J. Evaluation of Low Temperature Performance for Diatomite Modified Asphalt Mixture. Adv. Mater. Res. 2011, 413, 246–251. [Google Scholar] [CrossRef]
- Yang, C.; Xie, J.; Zhou, X.; Liu, Q.; Pang, L. Performance Evaluation and Improving Mechanisms of Diatomite-Modified Asphalt Mixture. Materials 2018, 11, 686. [Google Scholar] [CrossRef]
- Tan, Y.Q.; Zhang, L.; Zhang, X.Y. Investigation of low-temperature properties of diatomite-modified asphalt mixtures. Constr. Build. Mater. 2012, 36, 787–795. [Google Scholar]
- Cheng, Y.; Zhu, C.; Tan, G.; Lv, Z.; Yang, J.; Ma, J. Laboratory Study on Properties of Diatomite and Basalt Fiber Compound Modified Asphalt Mastic. Adv. Mater. Sci. Eng. 2017, 2017, 1–10. [Google Scholar] [CrossRef]
- Cheng, Y.; Li, L.; Zhou, P.; Zhang, Y.; Liu, H. Multi-objective optimization design and test of compound diatomite and basalt fiber asphalt mixture. Materials 2019, 12, 1461. [Google Scholar] [CrossRef]
- Davar, A.; Tanzadeh, J.; Fadaee, O. Experimental evaluation of the basalt fibers and diatomite powder compound on enhanced fatigue life and tensile strength of hot mix asphalt at low temperatures. Constr. Build. Mater. 2017, 153, 238–246. [Google Scholar] [CrossRef]
- Veropalumbo, R.; Russo, F.; Viscione, N.; Biancardo, S.A.; Oreto, C. Investigating the rheological properties of hot bituminous mastics made up using plastic waste materials as filler. Constr. Build. Mater. 2020, 121394. [Google Scholar] [CrossRef]
- Veropalumbo, R.; Russo, F.; Viscione, N.; Biancardo, S.A. Rheological Properties Comparing Hot and Cold Bituminous Mastics Containing Jet Grouting Waste. Adv. Mater. Sci. Eng. 2020, 1–16. [Google Scholar] [CrossRef]
- JTG E20-2011. Standard Test Methods of Bitumen and Bituminous Mixtures for Highway Engineering; China Communications Press: Beijing, China, 2011. [Google Scholar]
- JTG F40-2004. Technical Specifications for Constriction of Highway Asphalt Pavements; China Communications Press: Beijing, China, 2005. [Google Scholar]
- Xiong, R.; Fang, J.; Xu, A.; Guan, B.; Liu, Z. Laboratory investigation on the brucite fiber reinforced asphalt binder and asphalt concrete. Constr. Build. Mater. 2015, 83, 44–52. [Google Scholar] [CrossRef]
- Cheng, Y.; Li, H.; Li, L.; Zhang, Y.; Wang, H.; Bai, Y. Viscoelastic Properties of Asphalt Mixtures with Different Modifiers at Different Temperatures Based on Static Creep Tests. Appl. Sci. 2019, 9, 4246. [Google Scholar] [CrossRef]
- Li, P.L.; Jiang, X.M.; Guo, K.; Xue, Y.; Dong, H. Analysis of viscoelastic response and creep deformation mechanism of asphalt mixture. Constr. Build. Mater. 2018, 171, 22–32. [Google Scholar] [CrossRef]
- Ho, C.H.; Martin Linares, C.P. Representation Functions to Predict Relaxation Modulus of Asphalt Mixtures Subject to the Action of Freeze-Thaw Cycles. J. Transp. Eng. B Pave 2018, 144, 04018013. [Google Scholar] [CrossRef]
- Hajikarimi, P.; Nejad, F.M.; Aghdam, M.M. Implementing General Power Law to Interconvert Linear Viscoelastic Functions of Modified Asphalt Binders. J. Transp. Eng. B Pave 2018, 144. [Google Scholar] [CrossRef]
- Zhou, A.; Xie, F.; Zhang, D.; Ji, B.; Chen, L. Viscoelastic parameters determination method of pouring type asphalt mixture based on modified Burgers model. J. For. Eng. 2017, 2, 143–149. (In Chinese) [Google Scholar]
- Park, S.W.; Schapery, R. Methods of interconversion between linear viscoelastic material functions. Part I—A numerical method based on Prony series. Int. J. Solids. Struct. 1998, 36, 1653–1675. [Google Scholar] [CrossRef]
- Mainardi, F.; Spada, G. Creep, relaxation and viscosity properties for basic fractional models in rheology. Eur. Phys. J. Spec. Top. 2011, 193, 133–160. [Google Scholar] [CrossRef]
- Zhang, X.; Gu, X.; Lv, J.; Zhu, Z.; Ni, F. Mechanism and behavior of fiber-reinforced asphalt mastic at high temperature. Int. J. Pavement Eng. 2018, 19, 407–415. [Google Scholar] [CrossRef]
- Sun, Y.; Gu, B.; Gao, L.; Li, L.; Guo, R.; Yue, Q.; Wang, J. Viscoelastic Mechanical Responses of HMAP under Moving Load. Materials 2018, 11, 2490. [Google Scholar] [CrossRef] [PubMed]
- Lu, S.; Yin, D.; Meng, R. Stress Relaxation Behavior of Glassy PETG: Experiment and Fractional Model. Polym. Mater. Sci. Eng. 2020, 36, 91–96. (In Chinese) [Google Scholar]
- Yu, H.; Shi, G.; Liu, H.; Deng, X.; Cui, X.; Pan, G.; Xi, W. A Nonlinear Viscoelastic Stress Relaxation Model of Rock Based on Fractional Calculus. J. Basic Sci. Eng. 2019, 27, 194–204. (In Chinese) [Google Scholar]









| Properties | Base Asphalt | SBS Modified Asphalt | ||
|---|---|---|---|---|
| Standard | Value | Standard | Value | |
| Density (15 °C, g/cm3) | — | 1.017 | — | 1.014 |
| Penetration (25 °C, 0.1 mm) | 80–100 | 91.6 | 60–80 | 65.1 |
| Softening point TR&B (°C) | ≥45 | 46.9 | ≥55 | 61.0 |
| Ductility (cm) | ≥100 (25 °C) | >150 | ≥30 (5 °C) | 68.5 (5 °C) |
| Elastic recovery | — | — | ≥65 | 88 |
| After TFOT | ||||
| Mass loss (%) | ≤ ± 0.8 | 0.38 | ≤ ± 1.0 | 0.22 |
| Residual penetration ratio (25 °C, %) | ≥57 | 73.3 | ≥60 | 66.9 |
| Ductility (cm) | ≥20 (15 °C) | >120 (15 °C) | ≥20 (5 °C) | 33.2 (5 °C) |
| Properties | Density (g/cm3) | Water Content (%) | Metal Content (%) | Fiber Content (%) | Ash Content (%) | Carbon Black Content (%) |
|---|---|---|---|---|---|---|
| Value | 1.21 | 0.62 | 0.031 | 0.63 | 5.2 | 47 |
| Composition | SiO2 | Al2O3 | Fe2O3 | CaO | MgO | TiO2 | K2O |
|---|---|---|---|---|---|---|---|
| Ratio (%) | 85.50 | 4.40 | 1.40 | 0.53 | 0.46 | 0.31 | 0.66 |
| Gradation | Asphalt Types | |||
|---|---|---|---|---|
| Base Asphalt | Diatomite and Crumb Rubber Particles + Base Asphalt | SBS Modified Asphalt | Diatomite and Crumb Rubber Particles + SBS Modified Asphalt | |
| AC-13 | AC (4.8%) | DRAC (5.4%) | SAC (4.9%) | SDRAC (5.5%) |
| SMA-13 | SMA (5.3%) | DRSMA (5.9%) | SSMA (5.5%) | SDRSMA (6.1%) |
| Coarse Aggregate | Fine Aggregate | ||||
|---|---|---|---|---|---|
| Properties | Standard | Value | Properties | Standard | Value |
| weared stone value (%) | ≤28 | 20.9 | apparent specific gravity | ≥2.5 | 2.733 |
| Crush stone value (%) | ≤26 | 18.6 | Water absorption (%) | — | 0.65 |
| Soundness of aggregate by use of Sodium sulfate (%) | ≤12 | 6 | angularity value (s) | ≥30 | 38.9 |
| Elongated particle contents (%) | ≤15 | 9.7 | Sand equivalent (%) | ≥60 | 66 |
| Mixture | Asphalt Mixture Types | |||||||
|---|---|---|---|---|---|---|---|---|
| AC | DRAC | SAC | SDRAC | SMA | DRSMA | SSMA | SDRSMA | |
| RT1 (MPa) | 0.816 | 0.885 | 1.0867 | 1.228 | 0.857 | 0.894 | 1.187 | 1.216 |
| RT2 (MPa) | 0.724 | 0.745 | 1.036 | 1.151 | 0.764 | 0.775 | 1.135 | 1.153 |
| TSR (%) | 88.7 | 84.2 | 95.3 | 93.7 | 89.2 | 86.7 | 95.6 | 94.8 |
| Parameters | Asphalt Mixture Types | |||||||
|---|---|---|---|---|---|---|---|---|
| AC | DRAC | SAC | SDRAC | SMA | DRSMA | SSMA | SDRSMA | |
| E1 (MPa) | 37.64 | 45.40 | 51.87 | 63.35 | 40.43 | 42.53 | 54.55 | 59.48 |
| η1 (MPa∙s) | 1,144,973 | 2,905,223 | 2,605,226 | 4,080,010 | 995,060 | 2,025,960 | 3,006,142 | 3,105,033 |
| E2 (MPa) | 152.60 | 290.97 | 311.97 | 344.94 | 153.31 | 203.13 | 321.60 | 345.53 |
| η2 (MPa∙s) | 15,099 | 24,906 | 28,615.28 | 25,735 | 19,290 | 15,868 | 27,903.37 | 28,416 |
| R2 | 0.9874 | 0.9870 | 0.9869 | 0.9849 | 0.9902 | 0.9854 | 0.9865 | 0.9864 |
| E1 (MPa) | 38.75 | 46.18 | 52.79 | 64.89 | 41.63 | 43.73 | 55.70 | 60.64 |
| A | 9292 | 16,249 | 18,766 | 15,714 | 12,014 | 9522 | 17,192 | 18,361 |
| B | 0.0200 | 0.0207 | 0.0194 | 0.0250 | 0.0161 | 0.0246 | 0.0220 | 0.0217 |
| E2 (MPa) | 213.49 | 527.71 | 495.59 | 692.21 | 186.10 | 361.31 | 539.91 | 586.58 |
| η2 (MPa∙s) | 216,198 | 492,349 | 534,803 | 539,234 | 214,929 | 309,185 | 486,910 | 586,547 |
| R2 | 0.9981 | 0.9956 | 0.9953 | 0.9947 | 0.9983 | 0.9956 | 0.9966 | 0.9959 |
| AB | 185.84 | 336.35 | 364.06 | 392.85 | 193.43 | 234.24 | 378.22 | 398.43 |
| Parameters | Asphalt Mixture Types | |||||||
|---|---|---|---|---|---|---|---|---|
| AC | DRAC | SAC | SDRAC | SMA | DRSMA | SSMA | SDRSMA | |
| E1 (MPa) | 30.237 | 39.483 | 44.639 | 53.825 | 32.043 | 35.408 | 46.865 | 50.913 |
| E2 (MPa) | 9.407 | 8.863 | 9.921 | 14.024 | 10.511 | 10.324 | 11.335 | 11.385 |
| ρ1 (s) | 36,717 | 63,395 | 53,442 | 64,322 | 30,117 | 49,098 | 56,630 | 56,201 |
| ρ2 (s) | 53.847 | 39.806 | 46.885 | 35.649 | 65.801 | 36.844 | 41.031 | 45.090 |
| R2 | 0.9773 | 0.9609 | 0.9715 | 0.9608 | 0.9779 | 0.9689 | 0.9617 | 0.9702 |
| η | 42.631 | 49.023 | 56.532 | 67.768 | 47.683 | 46.236 | 59.382 | 64.181 |
| α | 0.04967 | 0.03117 | 0.03428 | 0.03291 | 0.05769 | 0.03865 | 0.03416 | 0.03350 |
| R2 | 0.9833 | 0.9397 | 0.9688 | 0.9153 | 0.9947 | 0.9384 | 0.9450 | 0.9627 |
Publisher’s Note: MDPI stays neutral with regard to jurisdictional claims in published maps and institutional affiliations. |
© 2020 by the authors. Licensee MDPI, Basel, Switzerland. This article is an open access article distributed under the terms and conditions of the Creative Commons Attribution (CC BY) license (http://creativecommons.org/licenses/by/4.0/).
Share and Cite
Liang, C.; Zhang, H.; Gu, Z.; Xu, X.; Hao, J. Study on Mechanical and Viscoelastic Properties of Asphalt Mixture Modified by Diatomite and Crumb Rubber Particles. Appl. Sci. 2020, 10, 8748. https://doi.org/10.3390/app10238748
Liang C, Zhang H, Gu Z, Xu X, Hao J. Study on Mechanical and Viscoelastic Properties of Asphalt Mixture Modified by Diatomite and Crumb Rubber Particles. Applied Sciences. 2020; 10(23):8748. https://doi.org/10.3390/app10238748
Chicago/Turabian StyleLiang, Chunyu, Hao Zhang, Zhengwei Gu, Xin Xu, and Jinxin Hao. 2020. "Study on Mechanical and Viscoelastic Properties of Asphalt Mixture Modified by Diatomite and Crumb Rubber Particles" Applied Sciences 10, no. 23: 8748. https://doi.org/10.3390/app10238748
APA StyleLiang, C., Zhang, H., Gu, Z., Xu, X., & Hao, J. (2020). Study on Mechanical and Viscoelastic Properties of Asphalt Mixture Modified by Diatomite and Crumb Rubber Particles. Applied Sciences, 10(23), 8748. https://doi.org/10.3390/app10238748
