Analytical Investigation of the Differences between Cast-In-Situ and Precast Beam-Column Connections under Seismic Actions
Abstract
Featured Application
Abstract
1. Introduction
2. A Typical Emulated Connection—Monolithic Precast Joint
2.1. Force Mechanism
2.2. Dimensionless Hysteresis Model
3. A Typical Non-Emulated Connection—Hybrid Precast Prestressed (PCH) Joint
4. Structural Models and Nonlinear Static Analysis
4.1. Overview of Frame Models
4.2. Pushover Analysis
5. Dynamic Response of Structures
5.1. Ground Motion Information
5.2. Displacement Response of Structures
5.3. Ductility Demands of Frame Beams and Columns
5.4. Residual Deformation of Structures
6. Discussion
7. Conclusions
- The main difference between emulated connection joints and RC joints is that they will crack early and cause premature degradation of bearing capacity, which is mainly due to the presence of the interface between new and old concretes at the beam-column junction of the precast joints. The use of a dimensionless trilinear skeleton model can well describe the differences in nonlinear behavior between the emulated connection joints and the RC joints.
- From the perspective of the force-deformation relationship, the main difference between precast frames and the RC frame is the size of the peak bearing capacity and the degradation speed of the bearing capacity beyond the limit point. It is recommended that the minimum overstrength factor of the emulated frame should be 2 in the design.
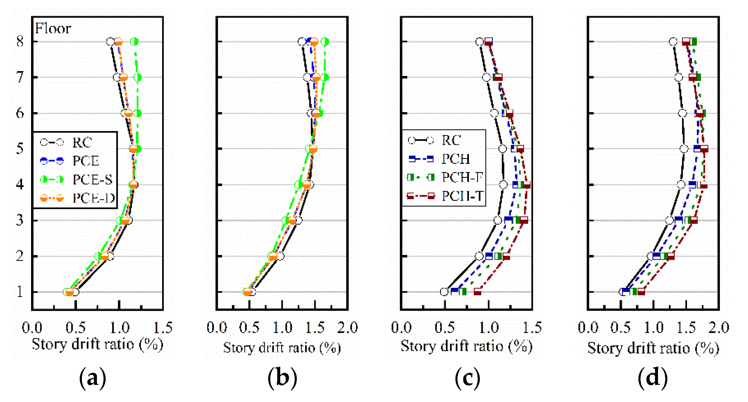
- Compared with the RC frame, the displacement response of the upper floors of emulated frames increases significantly, and the displacement response of various floors of non-emulated frames increases generally. Compared with an insufficient bearing capacity, an insufficient joint ductility will cause the most adverse effect on the collapse resistance of the structure, so that the joints with a damage rotation angle less than 2.5% are not recommended in high-intensity areas.
- The post-earthquake residual deformation of the non-emulated frames is small, but the ductility demands for the joints are higher. Therefore, more attention should be paid to the brittle fracture and fatigue failure of energy dissipation rebars caused by the large deformation for this type of connection. When energy dissipation rebars are not installed, this type of frame overly relies on the damage of structural columns to dissipate seismic energy, which will also cause the structure to be irreparable after the earthquake. Therefore, the structural system containing only prestressed tendons is not recommended in high-intensity areas.
Author Contributions
Funding
Conflicts of Interest
References
- Kurama, Y.C.; Sritharan, S.; Fleischman, R.B.; Restrepo, J.I.; Henry, R.S.; Cleland, N.M.; Ghost, S.K.; Bonelli, P. Seismic-resistant precast concrete structures: State of the art. J. Struct. Eng. 2018, 144. [Google Scholar] [CrossRef]
- Wu, G.; Feng, D.C. Research progress on fundamental performance of precast concrete frame beam-to-column connections. J. Build. Struct. 2018, 39, 1–16. (In Chinese) [Google Scholar]
- Sezen, H.; Whittaker, A.S. Seismic performance of industrial facilities affected by the 1999 Turkey earthquake. J. Perform. Constr. Facil. 2006, 20, 28–36. [Google Scholar] [CrossRef]
- Xu, Y.L.; Gong, Y.N. Investigation of collapse of teaching building during the Wenchuan Earthquake: Third anniversary memorial of 5·12 Wenchuan Earthquake. J. Build. Struct. 2011, 32, 9–16. (In Chinese) [Google Scholar]
- Fan, J.J.; Feng, D.C.; Wu, G.; Hou, S.T.; Lu, Y. Experimental study of prefabricated RC column-foundation assemblies with two different connection methods and using large-diameter reinforcing bars. Eng. Struct. 2020, 205, 110075. [Google Scholar] [CrossRef]
- Priestley, M.J.N. Direct displacement-based design of precast/prestressed concrete building. PCI J. 2002, 47, 66–79. [Google Scholar] [CrossRef]
- Park, R. A perspective on the seismic design of precast concrete structures in New Zealand. PCI J. 1995, 40, 40–60. [Google Scholar] [CrossRef]
- Fan, J.J.; Wu, G.; Feng, D.C.; Zeng, Y.H.; Lu, Y. Seismic performance of a novel self-sustaining beam-column connection for precast concrete moment-resisting frames. Eng. Struct. 2020, 222, 111096. [Google Scholar] [CrossRef]
- Gao, J.; Tian, C.Y.; Hao, W.; Tan, Y.A. Experimental study on seismic behavior of precast concrete layered slab and beam to column interior joints. J. Build. Struct. 2015, 36, 203–209. (In Chinese) [Google Scholar]
- Guan, D.; Jiang, C.; Guo, Z.; Ge, H. Development and seismic behavior of precast concrete beam-to-column connections. J. Earthq. Eng. 2016, 22, 234–256. [Google Scholar] [CrossRef]
- Alcocer, S.M.; Carranza, R.; Perez-Navarrete, D.; Martinez, R. Seismic tests of beam-to-column connections in a precast concrete frame. PCI J. 2002, 47, 70–89. [Google Scholar] [CrossRef]
- Yan, Q.; Chen, T.; Xie, Z. Seismic experimental study on a precast concrete beam-column connection with grout sleeves. Eng. Struct. 2018, 155, 330–344. [Google Scholar] [CrossRef]
- Lu, C.; Dong, B.; Pan, J.; Shan, Q.; Hanif, A.; Yin, W. An investigation on the behavior of a new connection for precast structures under reverse cyclic loading. Eng. Struct. 2018, 169, 131–140. [Google Scholar] [CrossRef]
- Im, H.J.; Park, H.G.; Eom, T.S. Cyclic loading test for reinforced-concrete-emulated beam-column connection of precast concrete moment frame. ACI Struct. J. 2013, 110, 115–126. [Google Scholar]
- Ertas, O.; Ozden, S.; Ozturan, T. Ductile connections in precast concrete moment resisting frames. PCI J. 2006, 51, 66–76. [Google Scholar] [CrossRef]
- Zhong, Y.; Xiong, F.; Chen, J.; Deng, A.; Chen, W.; Zhu, X. Experimental study on a novel dry connection for a precast concrete beam-to-column joint. Sustainability 2019, 11, 4543. [Google Scholar] [CrossRef]
- Li, S.; Li, Q.; Zhang, H.; Jiang, H.; Yan, L.; Jiang, W. Experimental study of a fabricated confined concrete beam-to-column connection with end-plates. Constr. Build. Mater. 2018, 158, 208–216. [Google Scholar]
- Aninthaneni, P.K.; Dhakal, R.P.; Marshall, J.; Bothara, J. Experimental investigation of “dry” jointed precast concrete frame sub-assemblies with steel angle and tube connections. Bull. Earthq. Eng. 2020, 18, 3659–3681. [Google Scholar] [CrossRef]
- Jin, K.; Song, S.; Kitayama, K.; Hao, L. Detailed evaluation of the ultimate flexural states of beams in unbonded precast prestressed concrete frames. Bull. Earthq. Eng. 2019, 17, 1495–1519. [Google Scholar] [CrossRef]
- Morgen, B.G.; Kurama, Y.C.; Asce, M. Seismic design of friction-damped precast concrete frame structures. J. Struct. Eng. 2007, 133, 1501–1511. [Google Scholar] [CrossRef]
- Hu, G.; Huang, W.; Xie, H. Mechanical behavior of a replaceable energy dissipation device for precast concrete beam-column connections. J. Constr. Steel Res. 2020, 164, 105816. [Google Scholar] [CrossRef]
- Priestley, M.J.N. The PRESSS program—Current status and proposed plans for phase III. PCI J. 1996, 41, 22–40. [Google Scholar] [CrossRef]
- Ozden, S.; Ertas, O. Behavior of unbonded, post-tensioned, precast concrete connections with different percentages of mild steel reinforcement. PCI J. 2007, 52, 32–44. [Google Scholar] [CrossRef]
- Wang, H.; Marino, E.M.; Pan, P.; Liu, H.; Nie, X. Experimental study of a novel precast prestressed reinforced concrete beam-to-column joint. Eng. Struct. 2018, 156, 68–81. [Google Scholar] [CrossRef]
- Feng, D.C.; Wu, G.; Lu, Y. Finite element modelling approach for precast reinforced concrete beam-to-column connections under cyclic loading. Eng. Struct. 2018, 174, 49–66. [Google Scholar] [CrossRef]
- Feng, D.C.; Wang, Z.; Wu, G. Progressive collapse performance analysis of precast reinforced concrete structures. Struct. Des. Tall Build. 2019, 28, e1588. [Google Scholar] [CrossRef]
- Feng, D.C.; Wang, Z.; Cao, X.Y.; Wu, G. Damage mechanics-based modeling approaches for cyclic analysis of precast concrete structures: A comparative study. Int. J. Damage Mech. 2020, 29, 965–987. [Google Scholar] [CrossRef]
- Eom, T.S.; Park, H.G.; Hwang, H.J.; Kang, S.M. Plastic hinge relocation methods for emulative PC beam–column connections. J. Struct. Eng. 2016, 142, 04015111. [Google Scholar] [CrossRef]
- ACI Innovation Task Group 1 and Collaborators and ACI Committee 374. T1.1-01/T1.1R-01: Acceptance Criteria for Moment Frames Based on Structural Testing; ACI: Farmington Hills, MI, USA, 2001. [Google Scholar]
- Wu, C.X.; Zhou, Y.; Lai, W.S.; Zhang, Y.F.; Deng, X.S. Experiment on seismic performance of cast-in-situ and prefabricated concrete frame structure joints. J. Archit. Civ. Eng. 2015, 32, 60–66. (In Chinese) [Google Scholar]
- Shariatmadar, H.; Zamani, B.E. An investigation of seismic response of precast concrete beam to column connections: Experimental study. Asian J. Civ. Eng. 2014, 15, 849–867. [Google Scholar]
- Liu, L.; Huang, X.K.; Tian, C.Y.; Yin, X.W.; Li, R.; Li, G.Q. Experimental study on seismic performance of precast RC frame joints with HRB500 high strength rebars of large diameter and spacing. J. Build. Struct. 2016, 37, 247–254. (In Chinese) [Google Scholar]
- Zhang, B. Investigations on Seismic Behavior of Precast Concrete Frames. Ph.D. Thesis, Tongji University, Shanghai, China, 2012. (In Chinese). [Google Scholar]
- Yang, H. Experimental Study on Seismic Performance of Precast Concrete Frame Joints. Master’s Thesis, North University of Technology, Beijing, China, 2014. (In Chinese). [Google Scholar]
- Aninthaneni, P.K.; Dhakal, R.P.; Marshall, J.; Bothara, J. Nonlinear cyclic behavior of precast concrete frame sub-assemblies with “dry” end plate connection. Structures 2018, 14, 124–136. [Google Scholar] [CrossRef]
- Ozden, S.; Ertas, O. Modeling of pre-cast concrete hybrid connections by considering the residual deformations. Int. J. Phys. Sci. 2010, 5, 781–792. [Google Scholar]
- Rodriguez, M.E.; Torres-Matos, M. Seismic behavior of a type of welded precast concrete beam-column connection. PCI J. 2013, 58, 81–94. [Google Scholar] [CrossRef]
- China Academy of Building Research. GB 50011-2010, Code for Seismic Design of Buildings; China Architecture and Building Research: Beijing, China, 2010. (In Chinese) [Google Scholar]
- China Academy of Building Research. GB 50010-2010, Code for Design of Concrete Structures; China Architecture and Building Research: Beijing, China, 2010. (In Chinese) [Google Scholar]
- Feng, P.; Qiang, H.; Ye, L. Discussion and definition on yield points of materials, members and structures. Eng. Mech. 2017, 34, 36–46. (In Chinese) [Google Scholar]

















| Section | Side Column | Middle Column | Beam on Floors 1–6 | Beam on Floors 7–8 |
|---|---|---|---|---|
| Unilateral reinforcement | 4 25 | 4 28 | 3 22 | 3 20 |
| Reinforcement area (mm2) | 5892 | 7389 | 2281 | 1884 |
| Reinforcement ratio | 1.6% | 1.5% | 1.2% | 1.0% |
| Reinforcement diagram | ![]() | ![]() | ![]() | ![]() |
| Structure Form | Cast-In-Situ Connection | Emulated Connections | Non-Emulated Connections | ||||
|---|---|---|---|---|---|---|---|
| Abbreviation | RC | PCE | PCE-S | PCE-D | PCH | PCH-F | PCH-T |
| Bearing capacity | √ | ○ | × | ○ | √ | √ | √ |
| Ductility capacity | √ | ○ | ○ | × | √ | × | ○ |
| Energy dissipation capacity | √ | √ | √ | √ | ○ | ○ | × |
| Self-centering capacity | × | × | × | × | ○ | √ | √ |
| Number | Seismic Event | Year | Earthquake Magnitude (Mw) | Epicentral Distance (km) | Recorded Station |
|---|---|---|---|---|---|
| 1 | Taiwan SMART1(45) | 1986 | 7.3 | 56.01 | SMART1 C00 |
| 2 | Loma Prieta | 1989 | 6.93 | 41.88 | APEEL 10-Skyline |
| 3 | Friuli Italy-01 | 1976 | 6.5 | 33.4 | Codroipo |
| 4 | Kern County | 1952 | 7.36 | 38.89 | Taft Lincoln School |
| 5 | Loma Prieta | 1989 | 6.93 | 52.68 | APEEL 2E Hayward Muir Sch |
| 6 | Spitak Armenia | 1988 | 6.77 | 23.99 | Gukasian |
| 7 | Superstition Hills-02 | 1987 | 6.54 | 27 | Calipatria Fire Station |
| 8 | San Fernando | 1971 | 6.61 | 27.4 | Lake Hughes #1 |
Publisher’s Note: MDPI stays neutral with regard to jurisdictional claims in published maps and institutional affiliations. |
© 2020 by the authors. Licensee MDPI, Basel, Switzerland. This article is an open access article distributed under the terms and conditions of the Creative Commons Attribution (CC BY) license (http://creativecommons.org/licenses/by/4.0/).
Share and Cite
Song, B.; Du, D.; Li, W.; Wang, S.; Wang, Y.; Feng, D. Analytical Investigation of the Differences between Cast-In-Situ and Precast Beam-Column Connections under Seismic Actions. Appl. Sci. 2020, 10, 8280. https://doi.org/10.3390/app10228280
Song B, Du D, Li W, Wang S, Wang Y, Feng D. Analytical Investigation of the Differences between Cast-In-Situ and Precast Beam-Column Connections under Seismic Actions. Applied Sciences. 2020; 10(22):8280. https://doi.org/10.3390/app10228280
Chicago/Turabian StyleSong, Baoxi, Dongsheng Du, Weiwei Li, Shuguang Wang, Yue Wang, and Decheng Feng. 2020. "Analytical Investigation of the Differences between Cast-In-Situ and Precast Beam-Column Connections under Seismic Actions" Applied Sciences 10, no. 22: 8280. https://doi.org/10.3390/app10228280
APA StyleSong, B., Du, D., Li, W., Wang, S., Wang, Y., & Feng, D. (2020). Analytical Investigation of the Differences between Cast-In-Situ and Precast Beam-Column Connections under Seismic Actions. Applied Sciences, 10(22), 8280. https://doi.org/10.3390/app10228280





