Automatic Extraction of Material Defect Size by Infrared Image Sequence
Abstract
1. Introduction
2. Theory and Methods
2.1. Principle of Long Pulse Thermography
2.2. Maximum of Sandard Deviation of Sensitive Region Method (MSDSRM)
2.3. Automatic Defect Detection Framework (ADD)
3. Material and Experiments
3.1. Material
3.2. Experimental Setup: Long Pulse Thermography System
3.3. Typical Thermogram
4. Data Post-Processing
4.1. Image Composition and Its Image Processing
4.2. Primary Detection of Defects
4.2.1. Blob Analysis
4.2.2. Frame Determined by MSDSRM
4.2.3. Determination of ROI and Extraction of Defects
4.2.4. Performance Analysis of Primary Detection Results
4.3. Secondary Detection of Defects
4.3.1. Improvement of Detection Results
- (i)
- Uniform selection (Figure 18a): sensitive regions are followed one by one along the edge of the defect. The total number of sensitive regions is determined by the perimeter of the defect extracted at the primary detection. The size of the sensitive region is set to 10 × 15 pixels.
- (ii)
- Random selection (Figure 18b): thirty sensitive areas are randomly selected from the edge of the defect. The size of the sensitive region is randomly decided within the range of (10, 15) × (10, 15) pixels.
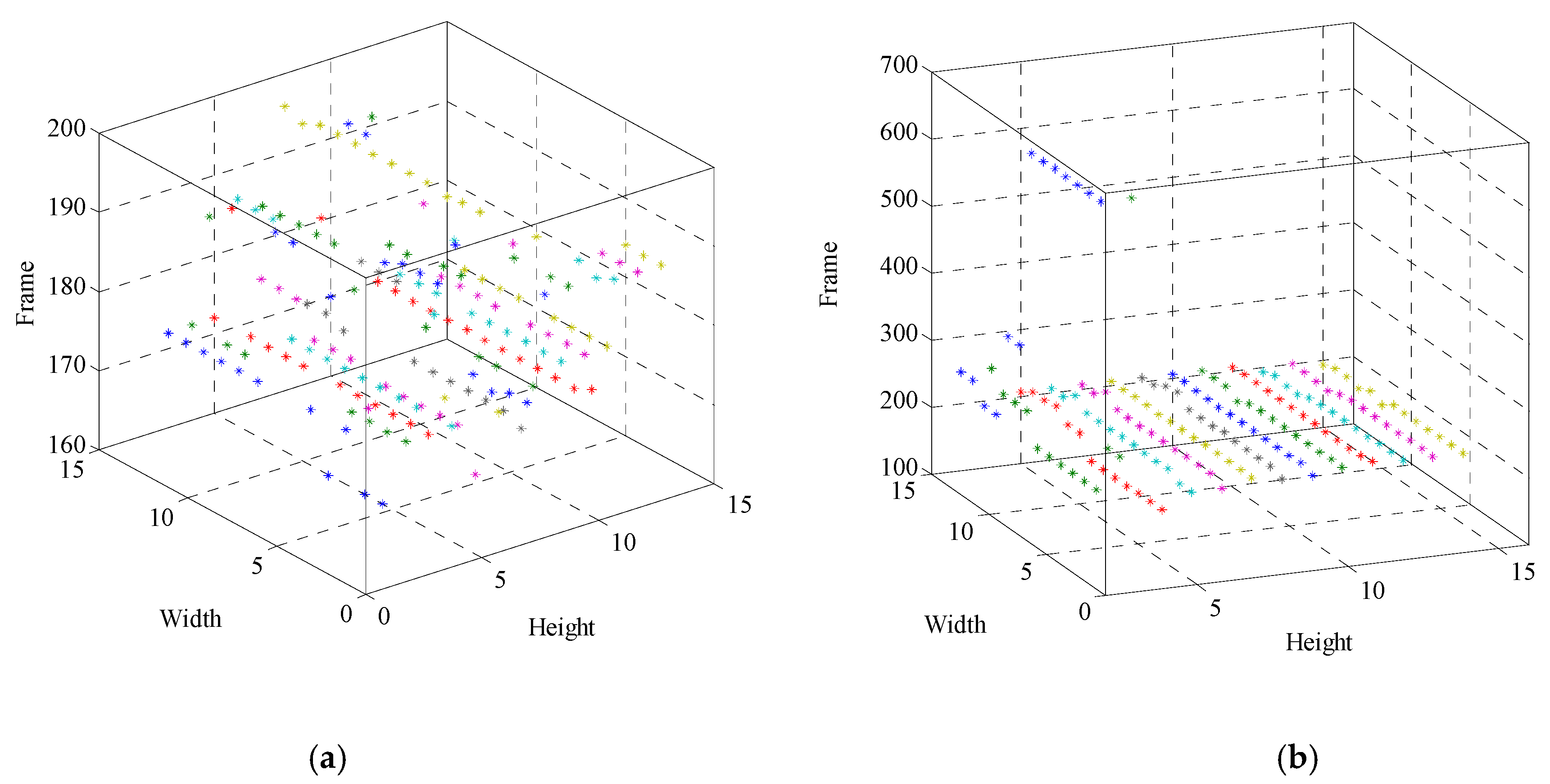
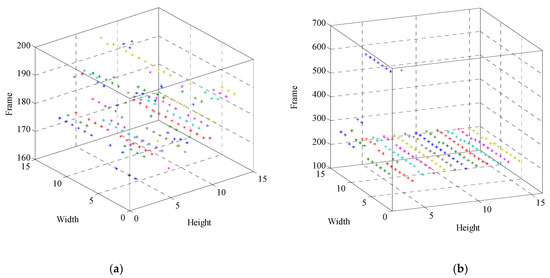
4.3.2. Analysis of Robustness
5. Discussion and Analysis
5.1. Influence of Size of Sensitive Region on Detection Results
5.1.1. Influence of Size of Sensitive Region in the Primary Detection
5.1.2. Influence of Size of Sensitive Region in the Secondary Detection
5.2. Compare with Other Frame Selection Methods
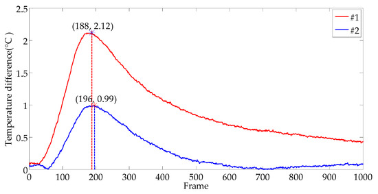
5.2.1. Maximum Temperature Difference Method
5.2.2. Maximum Temperature Elevation Method
6. Application
6.1. Information of Specimen of Impact Damage on CFRP Laminate
6.1.1. Specimen Appearance
6.1.2. Internal Delamination Defect Detected by Ultrasonic Testing (UT)
6.2. Impact Damage on CFRP Laminate Detected by Long-Pulse Thermography
6.2.1. Experiment of Long Pulse Thermography
6.2.2. Data Post-Processing with MSDSRM
6.2.3. Data Post-Processing with MTDM
7. Conclusions
Author Contributions
Funding
Acknowledgments
Conflicts of Interest
References
- Groz, M.-M.; Abisset-Chavanne, E.; Meziane, A.; Sommier, A.; Pradère, C. Three-dimensional reconstruction of thermal volumetric sources from surface temperature fields measured by infrared thermography. Appl. Sci. 2019, 9, 5464. [Google Scholar] [CrossRef]
- Huh, J.; Mac, V.H.; Tran, Q.H.; Lee, K.-Y.; Lee, J.-I.; Kang, C. Detectability of delamination in concrete structure using active infrared thermography in terms of signal-to-noise ratio. Appl. Sci. 2018, 8, 1986. [Google Scholar] [CrossRef]
- Fang, Q.; Maldague, X. A method of defect depth estimation for simulated infrared thermography data with deep learning. Appl. Sci. 2020, 10, 6819. [Google Scholar] [CrossRef]
- Oswald-Tranta, B. Comparative study of thermal contrast and contrast in thermal signal derivatives in pulse thermography. NDT E Int. 2017, 91, 36–46. [Google Scholar] [CrossRef]
- Tashan, J.; Al-Mahaidi, R.; Mamkak, A. Defect size measurement and far distance infrared detection in CFRP-concrete and CFRP-steel systems. Aust. J. Struct. Eng. 2016, 17, 2–13. [Google Scholar] [CrossRef]
- Kabouri, A.; Khabbazi, A.; Youlal, H. Applied multiresolution analysis to infrared images for defects detection in materials. NDT E Int. 2017, 92, 38–49. [Google Scholar] [CrossRef]
- Dattoma, V.; Panella, F.W.; Pirinu, A.; Saponaro, A. Advanced NDT methods and data processing on industrial CFRP components. Appl. Sci. 2019, 9, 393. [Google Scholar] [CrossRef]
- Liu, D.N.; Hou, R.; Wu, W.Z.; Hua, J.W.; Wang, X.X.; Pang, B. Research on infrared image enhancement and segmentation of power equipment based on partial differential equation. J. Vis. Commun. Image Represent. 2019, 64, 102610. [Google Scholar] [CrossRef]
- Wei, Y.; Su, Z.; Mao, S.; Zhang, D. An infrared defect sizing method based on enhanced phase images. Sensors 2020, 20, 3626. [Google Scholar] [CrossRef]
- Chrysafi, A.P.; Athanasopoulos, N.; Siakavellas, N.J. Damage detection on composite materials with active thermography and digital image processing. Int. J. Therm. Sci. 2017, 116, 242–253. [Google Scholar] [CrossRef]
- Deane, S.; Avdelidis, N.P.; Ibarra-Castanedo, C.; Zhang, H.; Nezhad, H.Y.; Williamson, A.A.; Mackley, T.; Maldague, X.; Tsourdos, A.; Nooralishahi, P. Comparison of cooled and uncooled ir sensors by means of signal-to-noise ratio for NDT diagnostics of aerospace grade composites. Sensors 2020, 20, 3381. [Google Scholar] [CrossRef]
- Li, Y.; Jin, W.; Zhu, J.; Zhang, X.; Li, S. An adaptive deghosting method in neural network-based infrared detectors nonuniformity correction. Sensors 2018, 18, 211. [Google Scholar] [CrossRef]
- Zeng, Q.; Qin, H.; Yan, X.; Yang, S.; Yang, T. Single infrared image-based stripe nonuniformity correction via a two-stage filtering method. Sensors 2018, 18, 4299. [Google Scholar] [CrossRef]
- Sripragash, L.; Sundaresan, M. Non-uniformity correction and sound zone detection in pulse thermographic nondestructive evaluation. NDT E Int. 2017, 87, 60–67. [Google Scholar] [CrossRef]
- Hasan, S.M.A.; Kwanghee, K. Depth edge detection by image-based smoothing and morphological operations. J. Comput. Des. Eng. 2016, 3, 191–197. [Google Scholar]
- Wang, D.; Wang, Z.; Zhu, J.; Ciampa, F. Enhanced pre-processing of thermal data in long pulse thermography using the Levenberg-Marquardt algorithm. Infrared Phys. Technol. 2019, 99, 158–166. [Google Scholar] [CrossRef]
- Liu, Y.; Tang, Q.; Bu, C.; Mei, C.; Wang, P.; Zang, J. Pulsed infrared thermography processing and defects edge detection using FCA and ACA. Infrared Phys. Technol. 2015, 72, 90–94. [Google Scholar]
- Jinlong, G.; Junyan, L.; Fei, W.; Wang, Y. Inverse heat transfer approach for nondestructive estimation the size and depth of subsurface defects of CFRP composite using lock-in thermography. Infrared Phys. Technol. 2015, 71, 439–447. [Google Scholar] [CrossRef]
- Yang, B.; Huang, Y.; Cheng, L. Defect detection and evaluation of ultrasonic infrared thermography for aerospace CFRP composites. Infrared Phys. Technol. 2013, 60, 166–173. [Google Scholar] [CrossRef]
- Sreeshan, K.; Dinesh, R.; Renji, K. Enhancement of thermographic images of composite laminates for debond detection: An approach based on Gabor filter and watershed. NDT E Int. 2019, 103, 68–76. [Google Scholar] [CrossRef]
- Wang, J.; Yuan, L.; Zhu, Z.; Yuan, M. Accurate detection of a defective area by adopting a divide and conquer strategy in infrared thermal imaging measurement. J. Korean Phys. Soc. 2018, 73, 1644–1649. [Google Scholar]
- Almond, D.P.; Lau, S.K. Defect sizing by transient thermography I: An analytical treatment. J. Phys. D Appl. Phys. 1994, 27, 1063–1069. [Google Scholar] [CrossRef]
- Tan, Y.C.; Chiu, W.K.; Rajic, N. Quantitative defect detection on the underside of a flat plate using mobile thermal scanning. Procedia Eng. 2017, 188, 493–498. [Google Scholar] [CrossRef]
- Kalyanavalli, V.; Ramadhas, T.; Sastikumar, D. Long pulse thermography investigations of basalt fiber reinforced composite. NDT E Int. 2018, 100, 84–91. [Google Scholar] [CrossRef]
- Wysock-Fotek, O.; Oliferuk, W.; Maj, M. Reconstruction of size and depth of simulated defects in austenitic steel plate using pulsed infrared thermography. Infrared Phys. Technol. 2012, 55, 363–367. [Google Scholar] [CrossRef]
- Duan, Y.; Zhang, H.; Maldague, X.P.V.; Ibrra-Castanedo, C.; Servais, P.; Genest, M.; Sfarra, S.; Meng, J. Reliability assessment of pulsed thermography and ultrasonic testing for impact damage of CFRP panels. NDT E Int. 2019, 102, 77–83. [Google Scholar] [CrossRef]
- Wu, J.-Y.; Sfarra, S.; Yao, Y. Sparse principal component thermography for subsurface defect detection in composite products. IEEE Trans. Ind. Inform. 2018, 14, 5594–5600. [Google Scholar] [CrossRef]
- Choi, M.; Kang, K.; Park, J.; Kim, W.; Kim, K. Quantitative determination of a subsurface defect of reference specimen by lock-in infrared thermography. NDT E Int. 2008, 41, 119–124. [Google Scholar] [CrossRef]



































| Defect Number | Object | Threshold | Defect Number | Defect Pixel | Relative Error |
|---|---|---|---|---|---|
| #1 | Image composition | 0.47 | #1 | 4286.5 | 27.08% |
| #2 | #2 | 2188.3 | 34.47% |
| Defect Number | Frame | Threshold | Defect Pixel | Relative Error |
|---|---|---|---|---|
| #1 | 178 | 0.46 | 3443.1 | 2.08% |
| #2 | 199 | 0.36 | 3242.1 | 2.91% |
| Defect Number | Uniform Selection | Random Selection | ||||
|---|---|---|---|---|---|---|
| Frame | Defect Pixel | Relative Error | Frame | Defect Pixel | Relative Error | |
| #1 | 164 | 3404.7 | 0.94% | 166 | 3384.2 | 0.33% |
| #2 | 183 | 3420.8 | 2.44% | 186 | 3430.5 | 2.73% |
| Defect Number | Frame | Threshold | Defect Pixel | Relative Error |
|---|---|---|---|---|
| #1 | 188 | 0.42 | 3525.5 | 4.52% |
| #2 | 196 | 0.44 | 3191.9 | 4.42% |
| Defect Number | MSDSRM | MTDM | ||||||
|---|---|---|---|---|---|---|---|---|
| Single Selection | Multiple Uniform Selection | Multiple Random Selection | ||||||
| Frame | Error | Frame | Error | Frame | Error | Frame | Error | |
| #1 | (158, 193) | [0.25%, 4.94%] | 164 | 0.42% | (164, 173) | [0.24%, 1.06%] | 188 | 4.52% |
| #2 | (160, 203) | [1.05%, 5.37%] | 182,183,186 | [0.94%, 2.44%] | (173, 193) | [0.47%, 3.15%] | 196 | 4.42% |
| Method | Frame | Defect Pixel | Area (mm2) | Relative Error |
|---|---|---|---|---|
| MSDSRM | 164 | 6073.6 | 1765.17 | 3.91% |
| MTDM | 304 | 3298.8 | 958.73 | 47.81% |
Publisher’s Note: MDPI stays neutral with regard to jurisdictional claims in published maps and institutional affiliations. |
© 2020 by the authors. Licensee MDPI, Basel, Switzerland. This article is an open access article distributed under the terms and conditions of the Creative Commons Attribution (CC BY) license (http://creativecommons.org/licenses/by/4.0/).
Share and Cite
Yuan, L.; Zhu, X.; Sun, Q.; Liu, H.; Yuen, P.; Liu, Y. Automatic Extraction of Material Defect Size by Infrared Image Sequence. Appl. Sci. 2020, 10, 8248. https://doi.org/10.3390/app10228248
Yuan L, Zhu X, Sun Q, Liu H, Yuen P, Liu Y. Automatic Extraction of Material Defect Size by Infrared Image Sequence. Applied Sciences. 2020; 10(22):8248. https://doi.org/10.3390/app10228248
Chicago/Turabian StyleYuan, Lihua, Xiao Zhu, Quanbin Sun, Haibo Liu, Peter Yuen, and Yonghuai Liu. 2020. "Automatic Extraction of Material Defect Size by Infrared Image Sequence" Applied Sciences 10, no. 22: 8248. https://doi.org/10.3390/app10228248
APA StyleYuan, L., Zhu, X., Sun, Q., Liu, H., Yuen, P., & Liu, Y. (2020). Automatic Extraction of Material Defect Size by Infrared Image Sequence. Applied Sciences, 10(22), 8248. https://doi.org/10.3390/app10228248

