Application of Antiviral Polyoxometalates to Living Environments—Antiviral Moist Hand Towels and Stationery Items
Abstract
1. Introduction
2. Materials and Methods
2.1. VB (Virus Block, Registered™)
2.2. Virus, Bacteria, and Their Constituents
2.3. Cell Cultures and Virus Infection for One Step Growth
2.4. VB-Contained Moist Hand Towel and Wet Sheet
2.5. Molding Materials for Stationery Items
2.6. Measurement of Antiviral Effects
2.6.1. Infectivity Titers by TCID50 Assay
2.6.2. Relative Levels of Viral RNA by RT–PCR
2.7. Experiment Design
2.7.1. Antiviral Effects of VB on Cultured Cells (One-Step Growth)
2.7.2. Direct Inactivating Effects of VB on Virus Particles
2.7.3. Biacore Assay of Bimolecular Affinity between VB (VB2) and Virus Component Proteins
2.7.4. Negative Test of Commercially Available Hygiene Products by Quantitative RT–PCR with Viral and Bacterial RNA
2.7.5. Antiviral Effects on Molding Materials for Stationery Items
2.7.6. Experiment and Statistical Analysis
3. Results
3.1. Antiviral Effects of VB on Cultured Cells
3.2. Direct Inactivating Effects of VB on Virus Particles
3.3. Biacore Assay of Bimolecular Affinity between VB (VB2) and Virus Component Proteins
3.4. Negative Test of Commercially Available Hygiene Products by Quantitative RT–PCR with Viral and Bacterial RNA
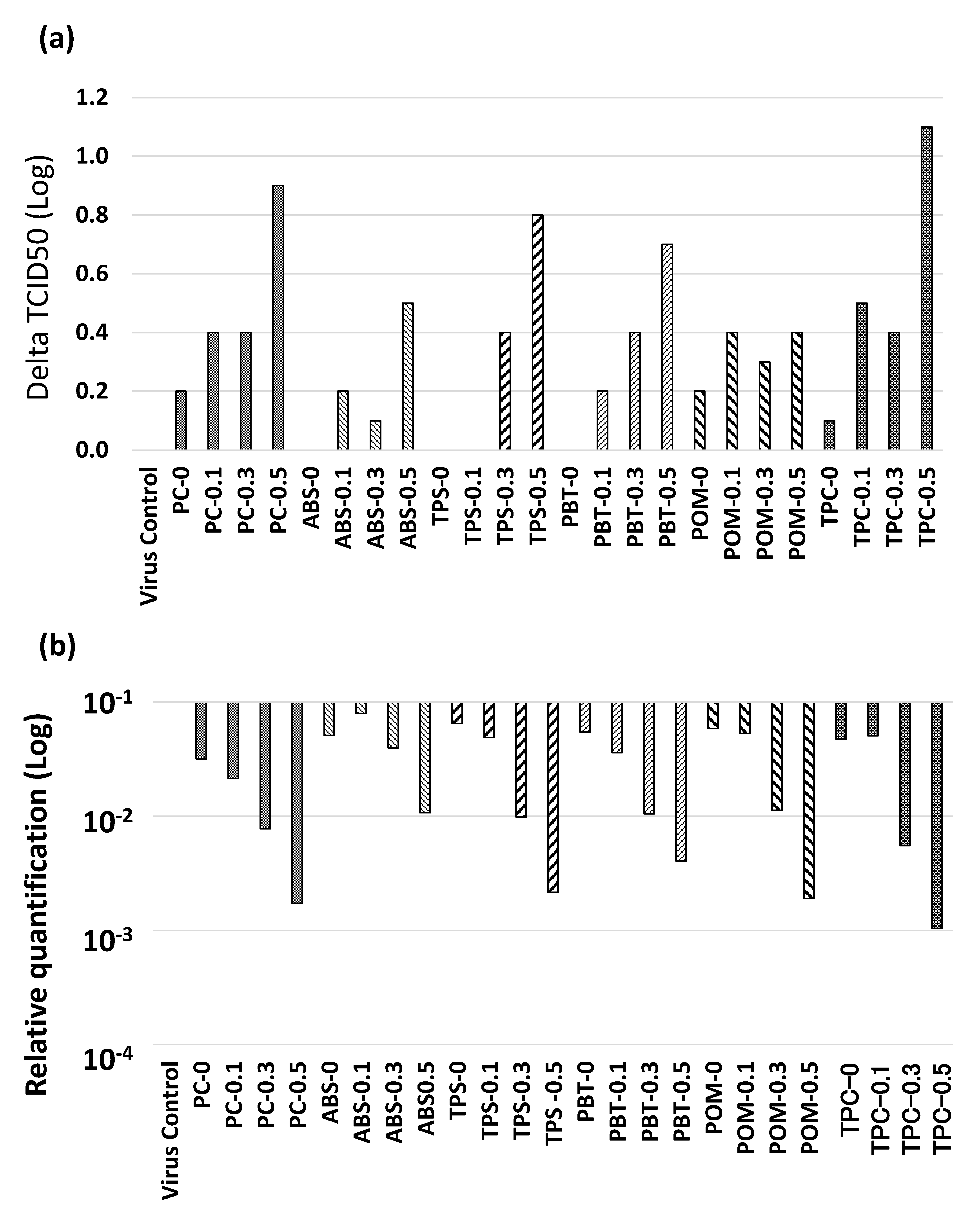
3.5. Antiviral Effects on Molding Materials for Stationery Items
4. Discussion
5. Conclusions
Supplementary Materials
Author Contributions
Funding
Acknowledgments
Conflicts of Interest
References
- Bidra, A.S.; Pelletier, J.S.; Westover, J.B.; Frank, S.; Brown, S.M.; Tessema, B. Rapid In-Vitro Inactivation of Severe Acute Respiratory Syndrome Coronavirus 2 (SARS-CoV-2) Using Povidone-Iodine Oral Antiseptic Rinse. J. Prosthodont. 2020, 29, 529–533. [Google Scholar] [CrossRef]
- Bidra, A.S.; Pelletier, J.S.; Westover, J.B.; Frank, S.; Brown, S.M.; Tessema, B. Comparison of In Vitro Inactivation of SARS CoV-2 with Hydrogen Peroxide and Povidone-Iodine Oral Antiseptic Rinses. J. Prosthodont. 2020, 30, 10. [Google Scholar] [CrossRef] [PubMed]
- Isa Irawan, M.; Mukhlash, I.; Rizky, A.; Ririsati Dewi, A. Application of Needleman-Wunch Algorithm to identify mutation in DNA sequences of Corona virus. J. Phys. Conf. Ser. 2019, 1218, 012031. [Google Scholar] [CrossRef] [PubMed]
- Li, C.; Yang, Y.; Ren, L. Genetic evolution analysis of 2019 novel coronavirus and coronavirus from other species. Infect. Genet. Evol. 2020, 82, 104285. [Google Scholar] [CrossRef] [PubMed]
- Yamase, T. Polyoxometalates active against tumors, viruses, and bacteria Review. Prog. Mol. Subcell. Biol. 2013, 54, 65–116. [Google Scholar] [PubMed]
- Dan, K.; Miyashita, K.; Seto, Y.; Fujita, H.; Yamase, T. Mechanism of the protective effect of heteropolyoxotungstate against herpes simplex virus type 2. Pharmacology 2003, 67, 83–89. [Google Scholar] [CrossRef]
- Dan, K.; Miyashita, K.; Seto, Y.; Fujita, H.; Yamase, T. The memory effect of heteropolyoxotungstate (PM-19) pretreatment on infection by herpes simplex virus at the penetration stage. Pharmacol. Res. 2002, 46, 357–362. [Google Scholar] [CrossRef]
- Shigeta, S.; Mori, S.; Yamase, T.; Yamamoto, N.; Yamamoto, N. Anti-RNA virus activity of polyoxometalates. Biomed. Pharmacother. 2006, 60, 211–219. [Google Scholar] [CrossRef]
- Inoue, M.; Suzuki, T.; Fujita, Y.; Oda, M.; Matsumoto, N.; Iijima, J.; Yamase, T. Synergistic effect of polyoxometalates in combination with oxacillin against methicillin-resistant and vancomycin-resistant Staphylococcus aureus: A high initial inoculum of 1 × 108 cfu/mL for in vivo test. Biomed. Pharmacother. 2006, 60, 220–226. [Google Scholar] [CrossRef]
- Dan, K.; Katoh, N.; Matsuoka, T.; Fujinami, K. In vitro Antimicrobial Effects of Virus Block, Which Contains Multiple Polyoxometalate Compounds, and Hygienic Effects of Virus Block-Supplemented Moist Hand Towels. Pharmacology 2019, 104, 1–15. [Google Scholar] [CrossRef]
- Lilly, H.A.; Lowbury, E.J. Disinfection of the skin with detergent preparations of Irgasan DP 300 and other antiseptics. Br. Med. J. 1974, 4, 372–374. [Google Scholar] [CrossRef] [PubMed][Green Version]
- Dan, K.; Yamase, T. Prevention of the interaction between HVEM, herpes virus entry mediator, and gD, HSV envelope protein, by a Keggin polyoxotungstate, PM-19. Biomed. Pharmacother. 2006, 60, 169–173. [Google Scholar] [CrossRef] [PubMed]
- Yamase, T.; Botar, B.; Ishikawa, E.; Fukaya, K. Chemical Structure and Intramolecular Spin-Exchange Interaction of [(VO)3(SbW9O33)2]12−. Chem. Lett. 2001, 30, 56–57. [Google Scholar] [CrossRef]
- Kumar, P.; Bartoszek, A.E.; Moran, T.M.; Gorski, J.; Bhattacharyya, S.; Navidad, J.F.; Thakar, M.S.; Malarkannan, S. High-throughput detection method for influenza virus. J. Vis. Exp. 2012, 4, 3623. [Google Scholar] [CrossRef]
- Jiang, H.; Li, Y.; Li, J.; Zhang, X.; Niu, G.; Chen, S.; Yao, S. Long noncoding RNA LSINCT5 promotes endometrial carcinoma cell proliferation, cycle, and invasion by promoting the Wnt/β-catenin signaling pathway via HMGA2. Ther. Adv. Med. Oncol. 2019, 29, 11. [Google Scholar] [CrossRef]
- Morishita, T.; Kobayashi, S.; Miyake, T.; Ishihara, Y.; Isomura, S.; Nakajima, S.; Nakajima, K. Rapid Diagnosis of Influenza Infection by PCR Method –Detection of Influenza Virus HA Gene in Throat Sab. Kansensyogakuzashi 1992, 66, 944–949. [Google Scholar] [CrossRef][Green Version]
- Nagashima, M.; Sadamasu, K.; Shinkai, T.; Yoshida, Y.; Yamada, S. Development of Milutiplex Real-time PCR Assay for the Detection of Herpes Simplex Virus Types 1 and 2. Kansensyogakuzashi 2007, 81, 549–554. [Google Scholar] [CrossRef]
- Kageyama, T.; Kojima, S.; Shinohara, M.; Uchida, K.; Fukushi, S.; Hoshino, F.B.; Takeda, N.; Katayama, K. Broadly reactive and highly sensitive assay for Norwalk-like viruses based on real-time quantitative reverse transcription-PCR. J. Clin. Microbiol. 2003, 41, 1548–1557. [Google Scholar] [CrossRef]
- Huletsky, A.; Giroux, R.; Rossbach, V.; Gagnon, M.; Vaillancourt, M.; Bernier, M.; Gagnon, F.; Truchon, K.; Baastien, M.; Piacrd, F.J.; et al. New Real-Time PCR Assay for Rapid Detection of Methicillin-Resistant Staphylococcus aureus Directly from Specimens Containing a Mixture of Staphylococci. J. Cin. Microbiol. 2004, 42, 1875–1884. [Google Scholar] [CrossRef]
- Fukushima, H.; Kawase, J.; Etoh, Y.; Sugama, K.; Yashiro, S.; Iida, N.; Yamaguchi, K. Simultaneous Screening of 24 Target Genes of Foodborne Pathogens in 35 Foodborne Outbreaks Using Multiplex Real-Tiem SYBR Green PCR Analysis. Int. J. Microbiol. 2010, 2010, 1–18. [Google Scholar] [CrossRef]
- Bingqing, Z.; Jingli, G.; Junru, L.; Beihui, H.; Juan, L. Fecal Microbiota Taxonomic Shifts in Chinese Multiple Myeloma Patients Analyzed by Quantitative Polimerase Chain Reaction (QPCR) and 16s rRNA High-Throughput Sequencing. Med. Sci. Minit. 2019, 25, 8269–8280. [Google Scholar]
- The Whole Country Moist Hand Towel Federation of Cooperatives. Available online: www.mhlw.go.jp/toukei_hakusho/kousei/1983/dl/14.pdf (accessed on 18 November 2020).






| Target | Primer | References | ||
|---|---|---|---|---|
| Influenza virus, AH1 | Inf-AH1 | Forward; | 5′-CAA AGA CCC CAG GGA GCT AT-3′ | [16] |
| Reverse; | 5′-CAG TAG AAC CAA CAA TTC TG-3′ | |||
| Influenza virus, AH3 | Inf-AH3 | Forward; | 5′-TTG TTG AAC GCA GCA AAG CT-3′ | [16] |
| Reverse; | 5′-TCT AGT TTG TTT CTC TGG TA-3′ | |||
| Influenza virus, B | Inf-B | Forward; | 5′-AAT CTT CTC AGA GGA TAT GA-3′ | [16] |
| Reverse; | 5′-TCT GCT TCA CCA ATT AAA GG-3′ | |||
| Herpes Simplex virus Type1 | HSV-1 | Forward; | 5′-GGG CCG TGA TTT TGT TTG TC-3′ | [17] |
| Reverse; | 5′-CCG CCA AGG CAT ATT TGC-3′ | |||
| Herpes Simplex virus Type2 | HSV-2 | Forward; | 5′-GCT GCA TTG CGA ACG ACT AG-3′ | [17] |
| Reverse; | 5′-CGC CGG AGG TCA AAC G-3′ | |||
| Noro virus | NoroGI-SK | Forward; | 5′-CTG CCC GAA TTY GTA AAT GA-3′ | [18] |
| Reverse; | 5′-CCA ACC CAR CCA TTR TAC A-3′ | |||
| NoroGII-SK | Forward; | 5′-CNT GGG AGG GCG ATC GCA A-3′ | [18] | |
| Reverse; | 5′-CCR CCN GCA TRH CCR TTR TAC AT-3′ | |||
| Methicillin-resistant Staphylococcus aureus (MRSA) | MRSA-Xsau325-F | Forward; | 5′-GGA TCA AAC GGC CTG CAC A-3′ | [19] |
| MRSA-mecii574-R | Reverse; | 5′-GTC AAA AAT CAT GAA CCT CAT TAC TTA TG-3′ | ||
| MRSA-mecii519-R | Reverse; | 5′-ATT TCA TAT ATG TAA TTC CTC CAC ATC TC-3′ | ||
| MRSA-meciv511-R | Reverse; | 5′-CAA ATA TTA TCT CGT AAT TTA CCT TGT TC-3′ | ||
| MRSA-mecv492-R | Reverse; | 5′-CTC TGC TTT ATA TTA TAA AAT TAC GGC TG-3′ | ||
| MRSA-mecvii512-R | Reverse; | 5′-CAC TTT TTA TTC TTC AAA GAT TTG AGC-3′ | ||
| Emetic Bacillus cereus | sereus-cesTM | Forward; | 5′-GAT GTT TGC GAC GAT GCA A-3′ | [20] |
| Reverse; | 5′-CTT TCG GCG TGA TAC CCA TT-3′ | |||
| Pseudomonasaeruginosa | Pseudo-Ps2 | Forward; | 5′-CCT GAC CAT CCG TCG CCA CAA C-3′ | [21] |
| Reverse; | 5′-CGC AGC AGG ATG CCA CGC C-3′ | |||
| Gram-positivebacteria | Gramposi-Gp | Forward; | 5′-GAY GAC GTC AAR TCM TCA TGC-3′ | [21] |
| Reverse; | 5′-AGG AGG TGA TCC AAC CGC A-3′ | |||
| Gram-negativebacteria | Gramnega-Gn | Forward; | 5′-AYG ACG TCA AGT CMT CAT GG-3′ | [21] |
| Reverse; | 5′-AGG AGG TGA TCC AAC CGC A-3′ | |||
| Ligands | Analytes | KD (M) |
|---|---|---|
| Influenza A virus Matrix 2 protein | VB(VB2) | 3.6 × 10−9 |
| Acyclovir | No response | |
| SARS-CoV-2 | VB(VB2) | 8.1 × 10−9 |
| Norovirus GII.4 VP1 VLPs | VB(VB2) | 6.4 × 10−9 |
Publisher’s Note: MDPI stays neutral with regard to jurisdictional claims in published maps and institutional affiliations. |
© 2020 by the authors. Licensee MDPI, Basel, Switzerland. This article is an open access article distributed under the terms and conditions of the Creative Commons Attribution (CC BY) license (http://creativecommons.org/licenses/by/4.0/).
Share and Cite
Dan, K.; Fujinami, K.; Sumitomo, H.; Ogiwara, Y.; Suhara, S.; Konno, Y.; Sawada, M.; Soga, Y.; Takada, A.; Takanashi, K.; et al. Application of Antiviral Polyoxometalates to Living Environments—Antiviral Moist Hand Towels and Stationery Items. Appl. Sci. 2020, 10, 8246. https://doi.org/10.3390/app10228246
Dan K, Fujinami K, Sumitomo H, Ogiwara Y, Suhara S, Konno Y, Sawada M, Soga Y, Takada A, Takanashi K, et al. Application of Antiviral Polyoxometalates to Living Environments—Antiviral Moist Hand Towels and Stationery Items. Applied Sciences. 2020; 10(22):8246. https://doi.org/10.3390/app10228246
Chicago/Turabian StyleDan, Katsuaki, Katsuyuki Fujinami, Hajime Sumitomo, Yasuaki Ogiwara, Shigehiko Suhara, Yoshiharu Konno, Mitsuhiro Sawada, Yusuke Soga, Atsushi Takada, Keita Takanashi, and et al. 2020. "Application of Antiviral Polyoxometalates to Living Environments—Antiviral Moist Hand Towels and Stationery Items" Applied Sciences 10, no. 22: 8246. https://doi.org/10.3390/app10228246
APA StyleDan, K., Fujinami, K., Sumitomo, H., Ogiwara, Y., Suhara, S., Konno, Y., Sawada, M., Soga, Y., Takada, A., Takanashi, K., Watanabe, K., & Shinozuka, T. (2020). Application of Antiviral Polyoxometalates to Living Environments—Antiviral Moist Hand Towels and Stationery Items. Applied Sciences, 10(22), 8246. https://doi.org/10.3390/app10228246

