A Non-Framework Multilevel Surgery May Reduce Mean Heart Rate in Patients with Very Severe Obstructive Apnea Having Confined Retroglossal Space and Framework
Abstract
1. Introduction
2. Materials and Methods
2.1. Patient Enrollment
2.2. Evaluation and Surgeries
2.3. Data Collection and Analysis
3. Ethical Statements
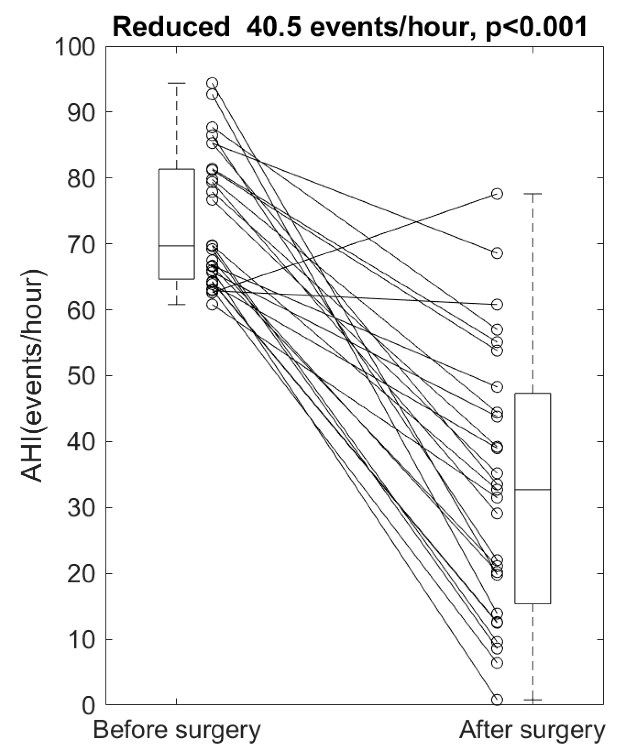
4. Results
5. Discussion
6. Conclusions
Author Contributions
Funding
Conflicts of Interest
References
- Greenland, P.; Daviglus, M.L.; Dyer, A.R.; Liu, K.; Huang, C.-F.; Goldberger, J.J.; Stamler, J. Resting Heart Rate is a Risk Factor for Cardiovascular and Noncardiovascular Mortality: The Chicago Heart Association Detection Project In Industry. Am. J. Epidemiol. 1999, 149, 853–862. [Google Scholar] [CrossRef] [PubMed]
- Palatini, P.; Julius, S. Elevated Heart Rate: A Major Risk Factor for Cardiovascular Disease. Clin. Exp. Hypertens. 2004, 26, 637–644. [Google Scholar] [CrossRef] [PubMed]
- Kannel, W.B.; Kannel, C.; Paffenbarger, R.S.; Cupples, L. Heart rate and cardiovascular mortality: The Framingham study. Am. Heart J. 1987, 113, 1489–1494. [Google Scholar] [CrossRef]
- Gillman, M.W.; Kannel, W.B.; Belanger, A.; D’Agostino, R.B. Influence of heart rate on mortality among persons with hypertension: The Framingham Study. Am. Heart J. 1993, 125, 1148–1154. [Google Scholar] [CrossRef]
- Palatini, P.; Julius, S. Association of tachycardia with morbidity and mortality: Pathophysiological considerations. J. Hum. Hypertens. 1997, 11, 19–27. [Google Scholar]
- Benetos, A.; Rudnichi, A.; Thomas, F.; Safar, M.; Guize, L. Influence of Heart Rate on Mortality in a French Population. Hypertension 1999, 33, 44–52. [Google Scholar] [CrossRef]
- Diaz, A.; Bourassa, M.G.; Guertin, M.-C.; Tardif, J.-C. Long-term prognostic value of resting heart rate in patients with suspected or proven coronary artery disease. Eur. Heart J. 2005, 26, 967–974. [Google Scholar] [CrossRef] [PubMed]
- Tverdal, A.; Hjellvik, V.; Selmer, R. Heart rate and mortality from cardiovascular causes: A 12 year follow-up study of 379 843 men and women aged 40-45 years. Eur. Heart J. 2008, 29, 2772–2781. [Google Scholar] [CrossRef]
- Cicek, D.; Gokay, S.; Lakadamyali, H.; Sapmaz, I.; Muderrisoglu, H. Effect of Obstructive Sleep Apnea on Heart Rate, Heart Rate Recovery and QTc and P-wave Dispersion in Newly Diagnosed Untreated Patients. Am. J. Med. Sci. 2012, 344, 180–185. [Google Scholar] [CrossRef]
- Kawano, Y.; Tamura, A.; Watanabe, T.; Kadota, J. Influence of the severity of obstructive sleep apnea on heart rate. J. Cardiol. 2010, 56, 27–34. [Google Scholar] [CrossRef]
- Sumi, K.; Chin, K.; Takahashi, K.; Nakamura, T.; Matsumoto, H.; Niimi, A.; Mishima, M. Effect of nCPAP therapy on heart rate in patients with obstructive sleep apnoea-hypopnoea. QJM Int. J. Med. 2006, 99, 545–553. [Google Scholar] [CrossRef] [PubMed]
- Wang, X.; Ouyang, Y.; Wang, Z.; Zhao, G.; Liu, L.; Bi, Y. Obstructive sleep apnea and risk of cardiovascular disease and all-cause mortality: A meta-analysis of prospective cohort studies. Int. J. Cardiol. 2013, 169, 207–214. [Google Scholar] [CrossRef] [PubMed]
- Konecny, T.; Khoo, M.; Edelhofer, P.; Park, J.; BukartykM, J.; Covassin, N.; Venkataraman, S.; Karim, S.; ChahalM, A.; Kara, T.; et al. Increased heart rate with sleep disordered breathing in hypertrophic cardiomyopathy. Int. J. Cardiol. 2020. [Google Scholar] [CrossRef] [PubMed]
- Lacedonia, D.; Carpagnano, G.E.; Sabato, R.; Storto, M.M.L.; Palmiotti, G.A.; Capozzi, V.; Barbaro, M.P.F.; Gallo, C. Characterization of obstructive sleep apnea-hypopnea syndrome (OSA) population by means of cluster analysis. J. Sleep Res. 2016, 25, 724–730. [Google Scholar] [CrossRef]
- Campanini, A.; De Vito, A.; Frassineti, S.; Vicini, C. Role of skin-lined tracheotomy in obstructive sleep apnoea syndrome: Personal experience. Acta Otorhinolaryngol. Ital. 2004, 24, 68–74. [Google Scholar]
- Haviv, Y.; Bachar, G.; Aframian, D.J.; Almoznino, G.; Michaeli, E.; Benoliel, R. A 2-year mean follow-up of oral appliance therapy for severe obstructive sleep apnea: A cohort study. Oral Dis. 2014, 21, 386–392. [Google Scholar] [CrossRef]
- Lavie, P.; Lavie, L.; Herer, P. All-cause mortality in males with sleep apnoea syndrome: Declining mortality rates with age. Eur. Respir. J. 2005, 25, 514–520. [Google Scholar] [CrossRef]
- Veasey, S.C.; Guilleminault, C.; Strohl, K.P.; Sanders, M.H.; Ballard, R.D.; Magalang, U.J. Medical Therapy for Obstructive Sleep Apnea: A Review by the Medical Therapy for Obstructive Sleep Apnea Task Force of the Standards of Practice Committee of the American Academy of Sleep Medicine. Sleep 2006, 29, 1036–1044. [Google Scholar] [CrossRef]
- Maimon, N.; Hanly, P.J. Does Snoring Intensity Correlate with the Severity of Obstructive Sleep Apnea? J. Clin. Sleep Med. 2010, 6, 475–478. [Google Scholar] [CrossRef]
- Brown, E.C.; Cheng, S.; McKenzie, D.K.; Butler, J.E.; Gandevia, S.C.; Bilston, L. Respiratory Movement of Upper Airway Tissue in Obstructive Sleep Apnea. Sleep 2013, 36, 1069–1076. [Google Scholar] [CrossRef]
- Olaithe, M.; Bucks, R.S. Executive Dysfunction in OSA before and After Treatment: A Meta-Analysis. Sleep 2013, 36, 1297–1305. [Google Scholar] [CrossRef] [PubMed]
- Cohen, R. Obstructive sleep apnea: Oral appliance therapy and severity of condition. Oral Surg. Oral Med. Oral Pathol. Oral Radiol. Endodontol. 1998, 85, 388–392. [Google Scholar] [CrossRef]
- Vilaseca, I.; Morelló, A.; Montserrat, J.M.; Santamaría, J.; Iranzo, A. Usefulness of Uvulopalatopharyngoplasty with Genioglossus and Hyoid Advancement in the Treatment of Obstructive Sleep Apnea. Arch. Otolaryngol. Head Neck Surg. 2002, 128, 435–440. [Google Scholar] [CrossRef] [PubMed]
- Lee, L.-A.; Huang, C.; Chen, N.-H.; Wang, C.-L.; Fang, T.-J.; Li, H.-Y. Severity of Obstructive Sleep Apnea Syndrome and High-Sensitivity C-Reactive Protein Reduced After Relocation Pharyngoplasty. Otolaryngol. Neck Surg. 2011, 144, 632–638. [Google Scholar] [CrossRef] [PubMed]
- Lee, L.-A.; Yu, J.-F.; Lo, Y.-L.; Chen, Y.-S.; Wang, D.-L.; Cho, C.-M.; Ni, Y.-L.; Chen, N.-H.; Fang, T.-J.; Huang, C.-G.; et al. Energy Types of Snoring Sounds in Patients with Obstructive Sleep Apnea Syndrome: A Preliminary Observation. PLoS ONE 2012, 7, e53481. [Google Scholar] [CrossRef] [PubMed]
- Shiba, T.; Takahashi, M.; Sato, Y.; Onoda, Y.; Hori, Y.; Sugiyama, T.; Bujo, H.; Maeno, T. Relationship between Severity of Obstructive Sleep Apnea Syndrome and Retinal Nerve Fiber Layer Thickness. Am. J. Ophthalmol. 2014, 157, 1202–1208. [Google Scholar] [CrossRef]
- Huynh, N.T.; Emami, E.; Helman, J.I.; Chervin, R.D. Interactions between sleep disorders and oral diseases. Oral Dis. 2013, 20, 236–245. [Google Scholar] [CrossRef]
- Gay, P.C.; Herold, D.L.; Olson, E.J. A Randomized, Double-blind Clinical Trial Comparing Continuous Positive Airway Pressure with a Novel Bilevel Pressure System for Treatment of Obstructive Sleep Apnea Syndrome. Sleep 2003, 26, 864–869. [Google Scholar] [CrossRef][Green Version]
- Otake, K.; Sasanabe, R.; Hasegawa, R.; Banno, K.; Hori, R.; Okura, Y.; Yamanouchi, K.; Shiomi, T. Glucose Intolerance in Japanese Patients with Obstructive Sleep Apnea. Intern. Med. 2009, 48, 1863–1868. [Google Scholar] [CrossRef][Green Version]
- Li, H.-Y.; Wang, P.-C.; Lee, L.-A.; Chen, N.-H.; Fang, T.-J. Prediction of Uvulopalatopharyngoplasty Outcome: Anatomy-Based Staging System Versus Severity-Based Staging System. Sleep 2006, 29, 1537–1541. [Google Scholar] [CrossRef]
- Suh, G.D. Evaluation of Open Midline Glossectomy in the Multilevel Surgical Management of Obstructive Sleep Apnea Syndrome. Otolaryngol. Neck Surg. 2012, 148, 166–171. [Google Scholar] [CrossRef] [PubMed]
- Fritscher, L.G.; Mottin, C.C.; Canani, S.; Chatkin, J.M. Obesity and Obstructive Sleep Apnea-Hypopnea Syndrome: The Impact of Bariatric Surgery. Obes. Surg. 2007, 17, 95–99. [Google Scholar] [CrossRef] [PubMed]
- Parati, G.; Lombardi, C.; Narkiewicz, K. Sleep apnea: Epidemiology, pathophysiology, and relation to cardiovascular risk. Am. J. Physiol. Integr. Comp. Physiol. 2007, 293, R1671–R1683. [Google Scholar] [CrossRef] [PubMed]
- Huang, E.I.; Huang, S.-Y.; Lin, Y.-C.; Lin, C.-M.; Lin, C.-K.; Huang, Y.-C.; Su, J.-A. Increasing Hypopnea in Sleep Breathing Disturbance Improves Postoperative Oxygen Saturation in Patients with Very Severe Obstructive Sleep Apnea. Appl. Sci. 2020, 10, 6539. [Google Scholar] [CrossRef]
- Huang, E.I.; Kuo, C.-L.; Chou, Y.-T.; Lin, Y.-C.; Huang, S.-Y. Modified Z-palatoplasty with one-layer closure in one-stage multilevel surgery for severe obstructive sleep apnea. Auris Nasus Larynx 2018, 45, 791–795. [Google Scholar] [CrossRef]
- Khoo, M.C.; Belozeroff, V.; Berry, R.B.; Sassoon, C.S.H. Cardiac Autonomic Control in Obstructive Sleep Apnea. Am. J. Respir. Crit. Care Med. 2001, 164, 807–812. [Google Scholar] [CrossRef][Green Version]
- Mayer, J.; Becker, H.; Brandenburg, U.; Penzel, T.; Peter, J.; Wichert, P. Blood Pressure and Sleep Apnea: Results of Long-Term Nasal Continuous Positive Airway Pressure Therapy. Cardiology 1991, 79, 84–92. [Google Scholar] [CrossRef]
- Pleava, R.; Mihaicuta, S.; Șerban, C.; Ardelean, C.L.; Marincu, I.; Gaita, D.; Frent, S. Long-Term Effects of Continuous Positive Airway Pressure (CPAP) Therapy on Obesity and Cardiovascular Comorbidities in Patients with Obstructive Sleep Apnea and Resistant Hypertension—An Observational Study. J. Clin. Med. 2020, 9, 2802. [Google Scholar] [CrossRef]
- Peker, Y.; Hedner, J.; Norum, J.; Kraiczi, H.; Carlson, J. Increased Incidence of Cardiovascular Disease in Middle-aged Men with Obstructive Sleep Apnea. Am. J. Respir. Crit. Care Med. 2002, 166, 159–165. [Google Scholar] [CrossRef]
- Kohler, M.; Stoewhas, A.-C.; Ayers, L.; Senn, O.; Bloch, K.E.; Russi, E.W.; Stradling, J.R. Effects of Continuous Positive Airway Pressure Therapy Withdrawal in Patients with Obstructive Sleep Apnea: A randomized controlled trial. Am. J. Respir. Crit. Care Med. 2011, 184, 1192–1199. [Google Scholar] [CrossRef]
- Li, H.-Y.; Li, K.K.; Chen, N.-H.; Wang, C.-J.; Liao, Y.-F.; Chen, N. Three-dimensional computed tomography and polysomnography findings after extended uvulopalatal flap surgery for obstructive sleep apnea. Am. J. Otolaryngol. 2005, 26, 7–11. [Google Scholar] [CrossRef] [PubMed]
- Hessel, N.S.; De Vries, N. Results of uvulopalatopharyngoplasty after diagnostic workup with polysomnography and sleep endoscopy: A report of 136 snoring patients. Eur. Arch. Otorhinolaryngol. 2003, 260, 91–95. [Google Scholar] [CrossRef] [PubMed]
- Caples, D.S.M.; Rowley, J.A.; Prinsell, D.J.R.; Pallanch, J.F.; Elamin, M.M.B.; Katz, D.S.G.; Harwick, J.D. Surgical Modifications of the Upper Airway for Obstructive Sleep Apnea in Adults: A Systematic Review and Meta-Analysis. Sleep 2010, 33, 1396–1407. [Google Scholar] [CrossRef] [PubMed]
- Mickelson, S.A.; Rosenthal, L. Midline Glossectomy and Epiglottidectomy for Obstructive Sleep Apnea Syndrome. Laryngoscope 1997, 107, 614–619. [Google Scholar] [CrossRef]
- Lin, C.-H.; Chin, W.-C.; Huang, Y.-S.; Wang, P.-F.; Li, K.K.; Pirelli, P.; Chen, Y.-H.; Guilleminault, C. Objective and subjective long term outcome of maxillomandibular advancement in obstructive sleep apnea. Sleep Med. 2020, 74, 289–296. [Google Scholar] [CrossRef]
- Soares, C.F.D.P.; Cavichio, L.; Cahali, M.B. Lateral pharyngoplasty reduces nocturnal blood pressure in patients with obstructive sleep apnea. Laryngoscope 2014, 124, 311–316. [Google Scholar] [CrossRef]
- Narkiewicz, K.; Kato, M.; Phillips, B.G.; Pesek, C.A.; Davison, D.E.; Somers, V.K. Nocturnal Continuous Positive Airway Pressure Decreases Daytime Sympathetic Traffic in Obstructive Sleep Apnea. Circulation 1999, 100, 2332–2335. [Google Scholar] [CrossRef]
- Roche, F.; Court-Fortune, I.; Pichot, V.; Duverney, D.; Costes, F.; Emonot, A.; Vergnon, J.M.; Geyssant, A.; Lacour, J.R.; Barthélémy, J.C. Reduced cardiac sympathetic autonomic tone after long-term nasal continuous positive airway pressure in obstructive sleep apnoea syndrome. Clin. Physiol. 1999, 19, 127–134. [Google Scholar] [CrossRef]
- Van Der Cruyssen, F.; Vuylsteke, P.; Claerhout, M.; Bulcke, M.V.; Timmermans, L.; Delsupehe, K. The effect of maxillary-mandibular advancement surgery on two-dimensional cephalometric analysis, polysomnographic and patient-reported outcomes in 32 patients with sleep disordered breathing: A retrospective cohort study. Oral Maxillofac. Surg. Cases 2019, 5, 100112. [Google Scholar] [CrossRef]
- Walker, E.B.; Frith, R.W.; Harding, D.A.; Cant, B.R. Uvulopalatopharyngoplasty in severe idiopathic obstructive sleep apnoea syndrome. Thorax 1989, 44, 205–208. [Google Scholar] [CrossRef]
- Jeukendrup, A.; Hesselink, M.; Snyder, A.; Kuipers, H.; Keizer, H. Physiological Changes in Male Competitive Cyclists after Two Weeks of Intensified Training. Int. J. Sports Med. 1992, 13, 534–541. [Google Scholar] [CrossRef] [PubMed]
- Penzel, T.; Kantelhardt, J.W.; Lo, C.-C.; Voigt, K.; Vogelmeier, C. Dynamics of Heart Rate and Sleep Stages in Normals and Patients with Sleep Apnea. Neuropsychopharmacology 2003, 28, S48–S53. [Google Scholar] [CrossRef] [PubMed]
- Waldeck, M.R.; Lambert, M.I. Heart Rate during Sleep: Implications for Monitoring Training Status. J. Sports Sci. Med. 2003, 2, 133–138. [Google Scholar] [PubMed]
- Brisswalter, J.; Legros, P. Daily Stability in Energy Cost of Running, Respiratory Parameters and Stride Rate among Well-Trained Middle Distance Runners. Int. J. Sports Med. 1994, 15, 238–241. [Google Scholar] [CrossRef] [PubMed]
- Lamberts, R.P.; Lemmink, K.A.P.M.; Durandt, J.J.; Lambert, M.I. Variation in Heart Rate during Submaximal Exercise: Implications for Monitoring Training. J. Strength Cond. Res. 2004, 18, 641–645. [Google Scholar]
- Mosko, S.S.; Dickel, M.J.; Ashurst, J. Night-to-Night Variability in Sleep Apnea and Sleep-Related Periodic Leg Movements in the Elderly. Sleep 1988, 11, 340–348. [Google Scholar] [CrossRef]
- Sanner, B.; Konermann, P.D.M.; Tepel, M.; Groetz, J.; Mummenhoff, C.; Zidek, W. Platelet function in patients with obstructivesleep apnoea syndrome. Eur. Respir. J. 2000, 16, 648–652. [Google Scholar] [CrossRef]
- Larsson, P.T.; Wallén, N.H.; Hjemdahl, P. Norepinephrine-induced human platelet activation in vivo is only partly counteracted by aspirin. Circulation 1994, 89, 1951–1957. [Google Scholar] [CrossRef]
- Mills, P.J.; Kennedy, B.P.; Loredo, J.S.; Dimsdale, J.E.; Ziegler, M.G. Effects of nasal continuous positive airway pressure and oxygen supplementation on norepinephrine kinetics and cardiovascular responses in obstructive sleep apnea. J. Appl. Physiol. 2006, 100, 343–348. [Google Scholar] [CrossRef]
- Sukegawa, M.; Noda, A.; Sugiura, T.; Nakata, S.; Yoshizaki, S.; Soga, T.; Yasuda, Y.; Iwayama, N.; Nakai, S.; Koike, Y. Assessment of continuous positive airway pressure treatment in obstructive sleep apnea syndrome using 24-hour urinary catecholamines. Clin. Cardiol. 2005, 28, 519–522. [Google Scholar] [CrossRef]
- Oga, T.; Chin, K.; Tabuchi, A.; Kawato, M.; Morimoto, T.; Takahashi, K.; Handa, T.; Takahashi, K.; Taniguchi, R.; Kondo, H.; et al. Effects of Obstructive Sleep Apnea with Intermittent Hypoxia on Platelet Aggregability. J. Atheroscler. Thromb. 2009, 16, 862–869. [Google Scholar] [CrossRef] [PubMed]
- Hui, D.S.; Ko, F.W.-S.; Fok, J.P.; Chan, M.C.; Li, T.S.; Tomlinson, B.; Cheng, G. The Effects of Nasal Continuous Positive Airway Pressure on Platelet Activation in Obstructive Sleep Apnea Syndrome. Chest 2004, 125, 1768–1775. [Google Scholar] [CrossRef] [PubMed]
- Calhoun, D.A.; Jones, D.; Textor, S.; Goff, D.C.; Murphy, T.P.; Toto, R.D.; White, A.; Cushman, W.C.; White, W.; Sica, D.; et al. Resistant Hypertension: Diagnosis, Evaluation, and Treatment. A scientific statement from the American Heart Association Professional Education Committee of the Council for High Blood Pressure Research. Hypertension 2008, 51, 1403–1419. [Google Scholar] [CrossRef] [PubMed]
- Martínez-García, M.A.; Navarro-Soriano, C.; Torres, G.; Barbé, F.; Caballero-Eraso, C.; Lloberes, P.; Diaz-Cambriles, T.; Somoza, M.; Masa, J.F.; González, M.; et al. Beyond Resistant Hypertension. Hypertension 2018, 72, 618–624. [Google Scholar] [CrossRef]







| Case # | Age (years) | Sex | Remarks | Preop AHI(/h) | Postop AHI(/h) | Preop Mean Heart Rate (Beats/min) | Postop Mean Heart Rate (Beats/min) |
|---|---|---|---|---|---|---|---|
| 1 | 25 | male | abce | 79.4 | 29.1 | 74.9 | 68.2 |
| 2 | 34 | male | abcd | 66 | 0.8 | 79.4 | 74.8 |
| 7 | 58 | male | abcd | 62.6 | 77.6 | 79.5 | 70.1 |
| 14 | 43 | male | ab | 87.7 | 57 | 69.5 | 58.4 |
| 16 | 44 | male | ab | 69.7 | 9.6 | 61.4 | 64 |
| 21 | 48 | male | abcd | 62.9 | 60.8 | 77 | 64.9 |
| 22 | 63 | male | Abc | 65.7 | 43.8 | 64.7 | 54.2 |
Publisher’s Note: MDPI stays neutral with regard to jurisdictional claims in published maps and institutional affiliations. |
© 2020 by the authors. Licensee MDPI, Basel, Switzerland. This article is an open access article distributed under the terms and conditions of the Creative Commons Attribution (CC BY) license (http://creativecommons.org/licenses/by/4.0/).
Share and Cite
Huang, E.I.; Huang, S.-Y.; Lin, Y.-C.; Lin, C.-M.; Lin, C.-K.; Huang, Y.-C.; Su, J.-A. A Non-Framework Multilevel Surgery May Reduce Mean Heart Rate in Patients with Very Severe Obstructive Apnea Having Confined Retroglossal Space and Framework. Appl. Sci. 2020, 10, 8094. https://doi.org/10.3390/app10228094
Huang EI, Huang S-Y, Lin Y-C, Lin C-M, Lin C-K, Huang Y-C, Su J-A. A Non-Framework Multilevel Surgery May Reduce Mean Heart Rate in Patients with Very Severe Obstructive Apnea Having Confined Retroglossal Space and Framework. Applied Sciences. 2020; 10(22):8094. https://doi.org/10.3390/app10228094
Chicago/Turabian StyleHuang, Ethan I., Shu-Yi Huang, Yu-Ching Lin, Chieh-Mo Lin, Chin-Kuo Lin, Ying-Chih Huang, and Jian-An Su. 2020. "A Non-Framework Multilevel Surgery May Reduce Mean Heart Rate in Patients with Very Severe Obstructive Apnea Having Confined Retroglossal Space and Framework" Applied Sciences 10, no. 22: 8094. https://doi.org/10.3390/app10228094
APA StyleHuang, E. I., Huang, S.-Y., Lin, Y.-C., Lin, C.-M., Lin, C.-K., Huang, Y.-C., & Su, J.-A. (2020). A Non-Framework Multilevel Surgery May Reduce Mean Heart Rate in Patients with Very Severe Obstructive Apnea Having Confined Retroglossal Space and Framework. Applied Sciences, 10(22), 8094. https://doi.org/10.3390/app10228094

