Direct Annihilation Position Classification Based on Deep Learning Using Paired Cherenkov Detectors: A Monte Carlo Study
Abstract
1. Introduction
2. Materials and Methods
2.1. Paired Detectors
2.2. Simulation Dataset
- (xs, ys, zs): true source position.
- N, M, 5 ≤ N, 5 ≤ M: number of photons reaching the photodetector plane of Cherenkov detectors 1 and 2, respectively.
- (x1n, y1n, t1n), (x2m, y2m, t2m), 1 ≤ n ≤ N, 1 ≤ m ≤ M: xy position and time information for each photon reaching the photodetector plane of Cherenkov detectors 1 and 2, respectively, where the smaller of t11 and t21 is 0 s.
2.3. Network Architecture
2.4. Evaluation Methods
2.4.1. Classification Accuracy
2.4.2. Confusion Matrix
2.4.3. Point Spread Function
2.4.4. Detection Efficiency
3. Results
3.1. Classification Accuracy
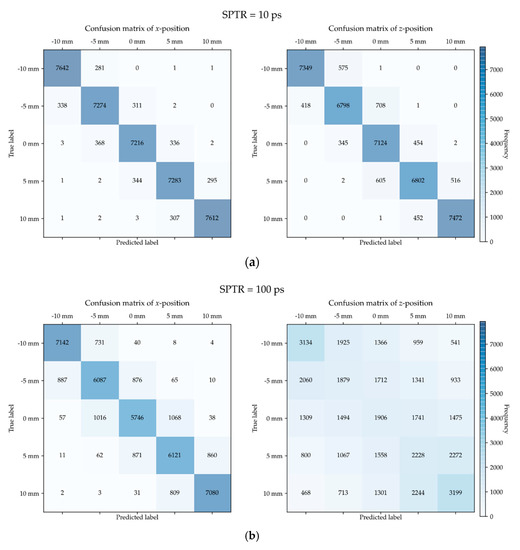
3.2. Confusion Matrix
3.3. Point-Spread-Function
3.4. Detection Efficiency
4. Discussion
5. Conclusions
Author Contributions
Funding
Acknowledgments
Conflicts of Interest
References
- Vandenberghe, S.; Mikhaylova, E.; D’Hoe, E.; Mollet, P.; Karp, J.S. Recent developments in time-of-flight PET. EJNMMI Phys. 2016, 3, 1–30. [Google Scholar] [CrossRef]
- Van Sluis, J.; De Jong, J.; Noordzij, W.; Van Snick, P.; Dierckx, R.; Borra, R.; Willemsen, A.; Boellaard, R. Performance characteristics of the digital biograph vision PET/CT system. J. Nucl. Med. 2019, 60, 1031–1036. [Google Scholar] [CrossRef] [PubMed]
- Conti, M.; Bendriem, B. The new opportunities for high time resolution clinical TOF PET. Clin. Transl. Imaging 2019, 7, 139–147. [Google Scholar] [CrossRef]
- Gundacker, S.; Turtos, R.M.; Kratochwil, N.; Pots, R.H.; Paganoni, M.; Lecoq, P.; Auffray, E. Experimental time resolution limits of modern SiPMs and TOF-PET detectors exploring different scintillators and Cherenkov emission. Phys. Med. Biol. 2020, 65, 025001. [Google Scholar] [CrossRef] [PubMed]
- Ota, R.; Nakajima, K.; Ogawa, I.; Tamagawa, Y.; Shimoi, H.; Suyama, M.; Hasegawa, T. Coincidence time resolution of 30 ps FWHM using a pair of Cherenkov-radiator-integrated MCP-PMTs. Phys. Med. Biol. 2019, 64, 07LT01. [Google Scholar] [CrossRef] [PubMed]
- Somlai-Schweiger, I.; Ziegler, S.I. CHERENCUBE: Concept definition and implementation challenges of a Cherenkov-based detector block for PET. Med. Phys. 2015, 42, 1825–1835. [Google Scholar] [CrossRef] [PubMed]
- Korpar, S.; Dolenec, R.; Križan, P.; Pestotnik, R.; Stanovnik, A. Study of TOF PET using Cherenkov light. Nucl. Instrum. Method Phys. Res. A 2011, 654, 532–538. [Google Scholar] [CrossRef]
- Ota, R.; Yamada, R.; Moriya, T.; Hasegawa, T. Cherenkov radiation-based three-dimensional position-sensitive PET detector: A Monte Carlo study. Med. Phys. 2018, 45, 1999–2008. [Google Scholar] [CrossRef] [PubMed]
- Gundacker, S.; Auffray, E.; Pauwels, K.; Lecoq, P. Measurement of intrinsic rise times for various L(Y)SO and LuAG scintillators with a general study of prompt photons to achieve 10 ps in TOF-PET. Phys. Med. Biol. 2016, 61, 2802–2837. [Google Scholar] [CrossRef] [PubMed]
- Moses, W.W.; Derenzo, S.E. Prospects for time-of-flight pet using LSO scintillator. IEEE Trans. Nucl. Sci. 1999, 46, 474–478. [Google Scholar] [CrossRef]
- Shibuya, K.; Nishikido, F.; Tsuda, T.; Kobayashi, T.; Lam, C.; Yamaya, T.; Yoshida, E.; Inadama, N.; Murayama, H. Timing resolution improvement using DOI information in a four-layer scintillation detector for TOF-PET. Nucl. Instrum. Method Phys. Res. A 2008, 593, 572–577. [Google Scholar] [CrossRef]
- Vinke, R.; Löhner, H.; Schaart, D.R.; Van Dam, H.T.; Seifert, S.; Beekman, F.J.; Dendooven, P. Time walk correction for TOF-PET detectors based on a monolithic scintillation crystal coupled to a photosensor array. Nucl. Instrum. Method Phys. Res. A 2010, 621, 595–604. [Google Scholar] [CrossRef]
- Lecoq, P. Development of new scintillators for medical applications. Nucl. Instrum. Method Phys. Res. A 2016, 809, 130–139. [Google Scholar] [CrossRef]
- Hashimoto, F.; Ote, K.; Ota, R.; Hasegawa, T. A feasibility study on 3D interaction position estimation using deep neural network in Cherenkov-based detector: A Monte Carlo simulation study. Biomed. Phys. Eng. Express 2019, 5, 035001. [Google Scholar] [CrossRef]
- Bruyndonckx, P.; Léonard, S.; Tavernier, S.; Lemaître, C.; Devroede, O.; Wu, Y.; Krieguer, M. Neural network-based position estimators for PET detectors using monolithic LSO blocks. IEEE Trans. Nucl. Sci. 2004, 51, 2520–2525. [Google Scholar] [CrossRef]
- Wang, Y.; Zhu, W.; Cheng, X.; Li, D. 3D position estimation using an artificial neural network for a continuous scintillator PET detector. Phys. Med. Biol. 2013, 58, 1375–1390. [Google Scholar] [CrossRef]
- Van Dam, H.T.; Seifert, S.; Vinke, R.; Dendooven, P.; Löhner, H.; Beekman, F.J.; Schaart, D.R. A practical method for depth of interaction determination in monolithic scintillator PET detectors. Phys. Med. Biol. 2011, 56, 4135–4145. [Google Scholar] [CrossRef]
- Pedemonte, S.; Pierce, L.; Van Leemput, K. A machine learning method for fast and accurate characterization of depth-of-interaction gamma cameras. Phys. Med. Biol. 2017, 62, 8376–8401. [Google Scholar] [CrossRef]
- Gong, K.; Berg, E.; Cherry, S.R.; Qi, J. Machine Learning in PET: From Photon Detection to Quantitative Image Reconstruction. Proc. IEEE 2020, 108, 51–68. [Google Scholar] [CrossRef]
- Suzuki, K. Overview of deep learning in medical imaging. Radiol. Phys. Technol. 2017, 10, 257–273. [Google Scholar] [CrossRef] [PubMed]
- Hashimoto, F.; Ohba, H.; Ote, K.; Teramoto, A.; Tsukada, H. Dynamic PET Image Denoising Using Deep Convolutional Neural Networks Without Prior Training Datasets. IEEE Access 2019, 7, 96594–96603. [Google Scholar] [CrossRef]
- Ota, S.; Horisaki, R.; Kawamura, Y.; Ugawa, M.; Sato, I.; Hashimoto, K.; Kamesawa, R.; Setoyama, K.; Yamaguchi, S.; Fujiu, K.; et al. Ghost cytometry. Science 2018, 360, 1246–1251. [Google Scholar] [CrossRef] [PubMed]
- Lee, H.; Huang, C.; Yune, S.; Tajmir, S.H.; Kim, M.; Do, S. Machine Friendly Machine Learning: Interpretation of Computed Tomography Without Image Reconstruction. Sci. Rep. 2019, 9, 15540. [Google Scholar] [CrossRef] [PubMed]
- Anderson, D.F.; Kobayashi, M.; Woody, C.L.; Yoshimura, Y. Lead fluoride: An ultra-compact Cherenkov radiator for em calorimetry. Nucl. Instrum. Method Phys. Res. A 1990, 290, 385–389. [Google Scholar] [CrossRef]
- Miyata, M.; Tomita, H.; Watanabe, K.; Kawarabayashi, J.; Iguchi, T. Development of TOF-PET using cherenkov radiation. J. Nucl. Sci. Tech. 2006, 43, 339–343. [Google Scholar] [CrossRef]
- MCP-PMT R3809U-50. Available online: https://www.hamamatsu.com/jp/en/product/type/R3809U-50/index.html (accessed on 9 September 2020).
- Nemallapudi, M.V.; Gundacker, S.; Lecoq, P.; Auffray, E. Single photon time resolution of state of the art SiPMs. J. Instrum. 2016, 11, P10016. [Google Scholar] [CrossRef]
- Agostinelli, S.; Allison, J.; Amako, K.; Apostolakis, J.; Araujo, H.; Arce, P.; Asai, M.; Axen, D.; Banerjee, S.; Barrand, G.; et al. GEANT4-A simulation toolkit. Nucl. Instrum. Method Phys. Res. A 2003, 506, 250–303. [Google Scholar] [CrossRef]
- Brunner, S.E.; Gruber, L.; Marton, J.; Suzuki, K.; Hirtl, A. Studies on the cherenkov effect for improved time resolution of TOF-PET. IEEE Trans. Nucl. Sci. 2014, 61, 443–447. [Google Scholar] [CrossRef]
- National Institute of Standards and Technology. Available online: https://physics.nist.gov/PhysRefData/Xcom/html/xcom1.html (accessed on 12 September 2020).
- Ali, A.; Shamsuddin, S.M.; Ralescu, A.L. Classification with class imbalance problem: A review. Int. J. Adv. Soft Comput. Appl. 2015, 7, 176–204. Available online: http://home.ijasca.com/data/documents/13IJASCA-070301_Pg176-204_Classification-with-class-imbalance-problem_A-Review.pdf (accessed on 1 October 2020).
- Ioffe, S.; Szegedy, C. Batch Normalization: Accelerating Deep Network Training by Reducing Internal Covariate Shift. Proceedings of International Conference on Machine Learning 2015. Available online: http://proceedings.mlr.press/v37/ioffe15.pdf (accessed on 14 September 2020).
- Glorot, X.; Bordes, A.; Bengio, Y. Deep sparse rectifier neural networks. J. Mach. Learn. Res. 2011, 15, 315–323. Available online: http://proceedings.mlr.press/v15/glorot11a/glorot11a.pdf (accessed on 14 September 2020).
- Tokui, S.; Okuta, R.; Akiba, T.; Niitani, Y.; Ogawa, T.; Saito, S.; Suzuki, S.; Uenishi, K.; Vogel, B.; Vincent, H.Y. Chainer: A deep learning framework for accelerating the research cycle. In Proceedings of the 25th ACM SIGKDD International Conference on Knowledge Discovery & Data Mining, Anchorage, AK, USA, 4–8 August 2019; pp. 2002–2011. [Google Scholar] [CrossRef]
- Pedregosa, F.; Varoquaux, G.; Gramfort, A.; Michel, V.; Thirion, B.; Grisel, O.; Blondel, M.; Prettenhofer, P.; Weiss, R.; Dubourg, V.; et al. Scikit-learn: Machine learning in Python. J. Mach. Learn. Res. 2011, 12, 2825–2830. Available online: https://jmlr.org/papers/volume12/pedregosa11a/pedregosa11a.pdf (accessed on 14 September 2020).
- Kingma, D.P.; Ba, J.L. Adam: A method for stochastic optimization. arXiv 2014, arXiv:14126980. Available online: https://arxiv.org/abs/1412.6980 (accessed on 26 September 2020).
- Stehman, S.V. Selecting and interpreting measures of thematic classification accuracy. Remote Sens. Environ. 1997, 62, 77–89. [Google Scholar] [CrossRef]
- Tabacchini, V.; Borghi, G.; Schaart, D.R. Time-based position estimation in monolithic scintillator detectors. Phys. Med. Biol. 2015, 60, 5513–5525. [Google Scholar] [CrossRef]
- Consuegra, D.; Korpar, S.; Križan, P.; Pestotnik, R.; Razdevšek, G.; Dolenec, R. Simulation study to improve the performance of a whole-body PbF2 Cherenkov TOF-PET scanner. Phys. Med. Biol. 2020, 65, 055013. [Google Scholar] [CrossRef]








| Density (g cm−3) | Refractive Index | Cutoff (nm) |
|---|---|---|
| 7.7 | 1.82 | 245–280 |
| SPTR (ps) | Readout Pitch (mm) | Classification Accuracy (%) |
|---|---|---|
| 0 | 0 | 96.1 |
| 10 | 3 | 80.3 |
| 100 | 3 | 25.0 |
| SPTR (ps) | Readout Pitch (mm) | RMSE of x-Position Estimation (mm) | RMSE of z-Position Estimation (mm) |
|---|---|---|---|
| 0 | 0 | 0.56 | 0.44 |
| 10 | 3 | 1.12 | 1.42 |
| 100 | 3 | 1.97 | 6.51 |
Publisher’s Note: MDPI stays neutral with regard to jurisdictional claims in published maps and institutional affiliations. |
© 2020 by the authors. Licensee MDPI, Basel, Switzerland. This article is an open access article distributed under the terms and conditions of the Creative Commons Attribution (CC BY) license (http://creativecommons.org/licenses/by/4.0/).
Share and Cite
Ote, K.; Ota, R.; Hashimoto, F.; Hasegawa, T. Direct Annihilation Position Classification Based on Deep Learning Using Paired Cherenkov Detectors: A Monte Carlo Study. Appl. Sci. 2020, 10, 7957. https://doi.org/10.3390/app10227957
Ote K, Ota R, Hashimoto F, Hasegawa T. Direct Annihilation Position Classification Based on Deep Learning Using Paired Cherenkov Detectors: A Monte Carlo Study. Applied Sciences. 2020; 10(22):7957. https://doi.org/10.3390/app10227957
Chicago/Turabian StyleOte, Kibo, Ryosuke Ota, Fumio Hashimoto, and Tomoyuki Hasegawa. 2020. "Direct Annihilation Position Classification Based on Deep Learning Using Paired Cherenkov Detectors: A Monte Carlo Study" Applied Sciences 10, no. 22: 7957. https://doi.org/10.3390/app10227957
APA StyleOte, K., Ota, R., Hashimoto, F., & Hasegawa, T. (2020). Direct Annihilation Position Classification Based on Deep Learning Using Paired Cherenkov Detectors: A Monte Carlo Study. Applied Sciences, 10(22), 7957. https://doi.org/10.3390/app10227957

