Control Performances of Friction Pendulum and Sloped Rolling-Type Bearings Designed with Single Parameters
Abstract
:1. Introduction
1.1. Literature Review
1.2. Formulas and Considerations
1.3. Objectives of This Study
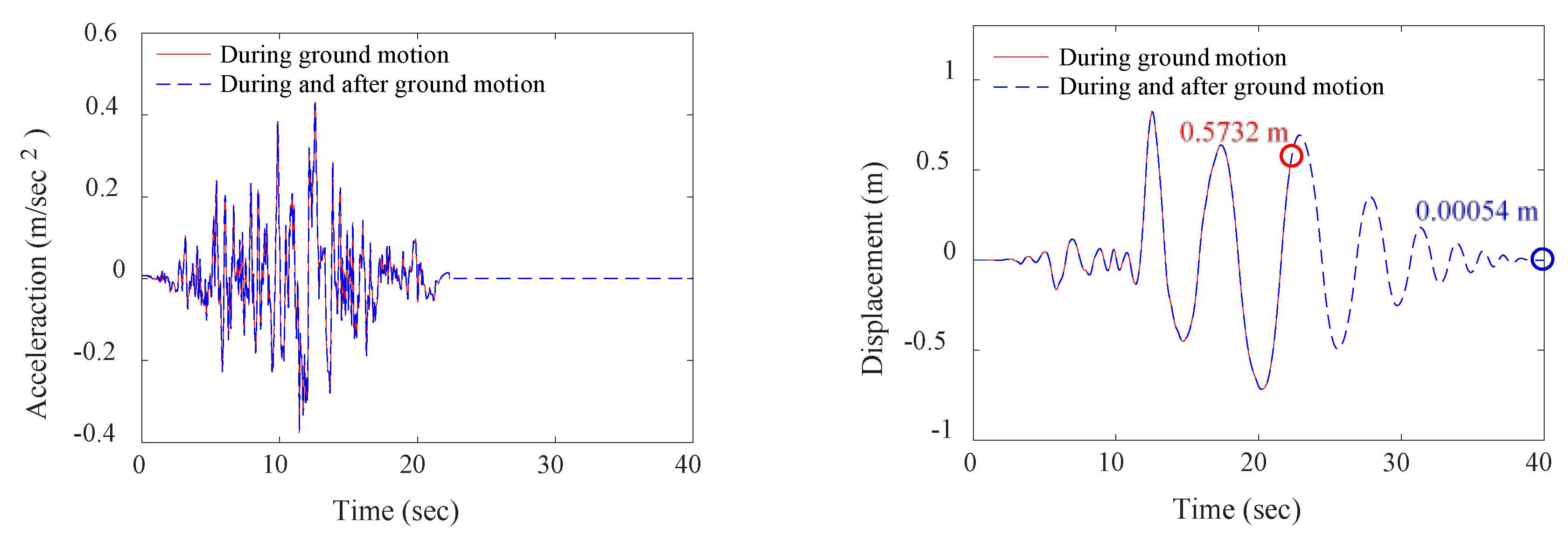
2. Ground Motions Considered
3. Effects of Different Design Parameters on the Displacement of SRBs with Identical Acceleration Control Performance
3.1. Analytical Model for SRBs
3.2. SRB Models
3.3. Numerical Simulations and Results
4. Numerical Comparisons between FPBs and SRBs
4.1. Analytical Model for FPBs
4.2. FPB Models
4.3. Comparison Results and Discussions
5. Conclusions
- This study briefly introduced and compared the features, equations of motion, and simplified analytical models of FPBs and SRBs. A large number of local and global ground motion records, including the so-called far-field and pulse-like near-fault ones, were adopted as the horizontal acceleration inputs for the numerical analysis on different SRB and FPB models designed based on the criteria considered. It is emphasized again that the purpose of the diverse ground motions considered and the models designed in this study was to obtain wide-ranging seismic responses of the models, rather than to passively reduce their seismic responses as small (or satisfactory) as possible or to propose optimum design approaches for FPBs and SRBs.
- Based on retaining the same horizontal acceleration control performance, the numerical results of four SRB models designed with different sloping angles and damping forces under the ground motions considered indicated that suppressing horizontal isolation displacement and reducing residual displacement were always two antithetic functions for SRBs simply designed with a constant sloping angle and damping force. In other words, under the same excitation, it is evident that the larger the damping force or, the smaller the sloping angle, the smaller the horizontal isolation displacement presented, but the more significant the residual displacement obtained.
- With the same horizontal acceleration control performance, the numerical results of hundreds of FPB models under the ground motions considered showed that the FPB models designed with a larger design displacement, a smaller curvature radius, and a smaller damping force might potentially have a better horizontal acceleration control and self-centering performances than those designed with a smaller design displacement, a larger curvature radius, and a larger damping force.
- On the premise of retaining the same horizontal acceleration control performance, the numerical results of two SRB models and hundreds of FPB models under the ground motions considered indicated that although the SRB models possess a unique feature—constant acceleration responses—the FPB models, on average, might potentially have a slight advantage over the SRB models in terms of horizontal acceleration control. Besides, the FPB models might also be potentially more effective than the SRB models in suppressing horizontal isolation displacement. As for the re-centering capability, the SRB model designed with a larger sloping angle is potentially better than that designed with a smaller sloping angle as well as the FPB models.
Author Contributions
Funding
Acknowledgments
Conflicts of Interest
References
- Calvi, P.M.; Calvi, G.M. Historical development of friction-based seismic isolation systems. Soil Dyn. Earthq. Eng. 2018, 106, 14–30. [Google Scholar] [CrossRef]
- Harvey, P.S., Jr.; Kelly, K.C. A review of rolling-type seismic isolation: Historical development and future directions. Eng. Struct. 2016, 125, 521–531. [Google Scholar] [CrossRef]
- Zayas, V.A.; Low, S.S.; Mahin, S.A. A simple pendulum technique for achieving seismic isolation. Earthq. Spectra 1990, 6, 317–333. [Google Scholar] [CrossRef]
- Mokha, A.; Constantinou, M.C.; Reinhorn, A.M. Teflon bearings in base isolation. I: Testing. J. Struct. Eng. ASCE 1990, 116, 438–454. [Google Scholar] [CrossRef]
- Constantinou, M.; Mokha, A.; Reinhorn, A.M. Teflon bearings in base isolation. II: Modeling. J. Struct. Eng. ASCE 1990, 116, 455–474. [Google Scholar] [CrossRef]
- Mokha, A.; Constantinou, M.C.; Reinhorn, A.M.; Zayas, V.A. Experimental study of friction-pendulum isolation system. J. Struct. Eng. ASCE 1991, 117, 1201–1217. [Google Scholar] [CrossRef]
- Deringöl, A.H.; Güneyisi, E.M. Effect of friction pendulum bearing properties on behaviour of buildings subjected to seismic loads. Soil Dyn. Earthq. Eng. 2019, 125, 105746. [Google Scholar] [CrossRef]
- Fenz, D.M.; Constantinou, M.C. Behaviour of the double concave friction pendulum bearing. Earthq. Eng. Struct. Dyn. 2006, 35, 1403–1424. [Google Scholar] [CrossRef]
- Fenz, D.M.; Constantinou, M.C. Modeling triple friction pendulum bearings for response-history analysis. Earthq. Spectra 2008, 24, 1011–1028. [Google Scholar] [CrossRef]
- Kim, Y.S.; Yu, C.B. Seismic response characteristics of bridges using double concave friction pendulum bearings with tri-linear behavior. Eng. Struct. 2007, 29, 3082–3093. [Google Scholar] [CrossRef]
- Calvi, P.M.; Moratti, M.; Calvi, G.M. Seismic isolation devices based on sliding between surfaces with variable friction coefficient. Earthq. Spectra 2016, 32, 2291–2315. [Google Scholar] [CrossRef]
- Panchal, V.R.; Jangid, R.S. Variable friction pendulum system for near-fault ground motions. Struct. Control Health Monit. 2008, 15, 568–584. [Google Scholar] [CrossRef]
- Bao, Y.; Becker, T. Three-dimensional double friction pendulum bearing model including uplift and impact behavior: Formulation and numerical example. Eng. Struct. 2019, 199, 109579. [Google Scholar] [CrossRef]
- Lee, D.; Constantinou, M.C. Quintuple friction pendulum isolator: Behavior, modeling, and validation. Earthq. Spectra 2019, 32, 1607–1626. [Google Scholar] [CrossRef]
- Lu, L.Y.; Lee, T.Y.; Juang, S.Y.; Yeh, S.W. Polynomial friction pendulum isolators (PFPIs) for building floor isolation: An experimental and theoretical study. Eng. Struct. 2013, 56, 970–982. [Google Scholar] [CrossRef]
- Saha, A.; Saha, P.; Patro, S.K. Polynomial friction pendulum isolators (PFPIs) for seismic performance control of benchmark highway bridge. Earthq. Eng. Eng. Vib. 2017, 16, 827–840. [Google Scholar] [CrossRef]
- Panchal, V.R.; Jangid, R.S.; Soni, D.P.; Mistry, B.B. Response of the double variable frequency pendulum isolator under triaxial ground excitations. J. Earthq. Eng. 2010, 14, 527–558. [Google Scholar] [CrossRef]
- Becker, T.C.; Mahin, S.A. Experimental and analytical study of the bi-directional behavior of the triple friction pendulum isolator. Earthq. Eng. Struct. Dyn. 2012, 41, 355–373. [Google Scholar] [CrossRef]
- Sah, V.M.; Soni, D.P. Response of the double concave friction pendulum system under triaxial ground excitations. Procedia Eng. 2017, 173, 1870–1877. [Google Scholar] [CrossRef]
- Furinghetti, M.; Pavese, A.; Quaglini, V.; Dubini, P. Experimental investigation of the cyclic response of double curved surface sliders subjected to radial and bidirectional sliding motions. Soil Dyn. Earthq. Eng. 2019, 117, 190–202. [Google Scholar] [CrossRef]
- Loghman, V.; Khoshnoudian, F.; Banazadeh, M. Effect of vertical component of earthquake on seismic responses of triple concave friction pendulum base-isolated structures. J. Vib. Control 2015, 21, 2099–2113. [Google Scholar] [CrossRef]
- Faramarz, K.; Montazar, R. Seismic response of double concave friction pendulum base-isolated structures considering vertical component of earthquake. Adv. Struct. Eng. 2010, 13, 1–14. [Google Scholar] [CrossRef]
- Jangid, R.S. Optimum friction pendulum system for near-fault motions. Eng. Struct. 2005, 27, 349–359. [Google Scholar] [CrossRef]
- Katsaras, C.P.; Panagiotakos, T.B.; Kolias, B. Restoring capability of bilinear hysteretic seismic isolation systems. Earthq. Eng. Struct. Dyn. 2008, 37, 557–575. [Google Scholar] [CrossRef]
- Cardone, D.; Gesualdi, G.; Brancato, P. Restoring capability of friction pendulum seismic isolation systems. Bull. Earthq. Eng. 2015, 13, 2449–2480. [Google Scholar] [CrossRef]
- Ponzo, F.C.; Cesare, A.D.; Leccese, G.; Nigro, D. Shake table testing on restoring capability of double concave friction pendulum seismic isolation systems. Earthq. Eng. Struct. Dyn. 2017, 46, 2337–2353. [Google Scholar] [CrossRef]
- Forcellini, D. Cost assessment of isolation technique applied to a benchmark bridge configuration with soil structure interaction. Bull. Earthq. Eng. 2017, 15, 51–69. [Google Scholar] [CrossRef]
- Kasalanati, A.; Reinhorn, A.M.; Constantinou, M.C.; Sanders, D. Experimental study of ball-in-cone isolation system. In Proceedings of the ASCE Structures Congress XV, Portland, OR, USA, 13–16 April 1997. [Google Scholar]
- Tsai, M.H.; Wu, S.Y.; Chang, K.C.; Lee, G.C. Shaking table tests of a scaled bridge model with rolling type seismic isolation bearings. Eng. Struct. 2007, 29, 694–702. [Google Scholar] [CrossRef]
- Vargas, R.; Bruneau, M. Experimental response of buildings designed with metallic Structural Fuses. II. J. Struct. Eng. ASCE 2009, 135, 394–403. [Google Scholar] [CrossRef]
- Lee, G.C.; Ou, Y.C.; Niu, T.; Song, J.; Liang, Z. Characterization of a roller seismic isolation bearing with supplemental energy dissipation for highway bridges. J. Struct. Eng. ASCE 2010, 136, 502–510. [Google Scholar] [CrossRef]
- Wang, S.J.; Hwang, J.S.; Chang, K.C.; Shiau, C.Y.; Lin, W.C.; Tsai, M.S.; Hong, J.X.; Yang, Y.H. Sloped multi-roller isolation devices for seismic protection of equipment and facilities. Earthq. Eng. Struct. Dyn. 2014, 43, 1443–1461. [Google Scholar] [CrossRef]
- Wang, S.J.; Yu, C.H.; Lin, W.C.; Hwang, J.S.; Chang, K.C. A generalized analytical model for sloped rolling-type seismic isolators. Eng. Struct. 2017, 138, 434–446. [Google Scholar] [CrossRef]
- Wang, S.J.; Yu, C.H.; Cho, C.Y.; Hwang, J.S. Effects of design and seismic parameters on horizontal displacement responses of sloped rolling-type seismic isolators. Struct. Control Health Monit. 2019, 26, e2342. [Google Scholar] [CrossRef]
- Wang, S.J.; Sung, Y.L.; Hong, J.X. Sloped rolling-type bearings designed with linearly variable damping force. Earthq. Struct. 2020, 19, 129–144. [Google Scholar] [CrossRef]
- Cardone, D. Re-centring capability of flag-shaped seismic isolation systems. Bull. Earthq. Eng. 2012, 10, 1267–1284. [Google Scholar] [CrossRef]
- American Society of Civil Engineers (ASCE). Minimum Design Loads and Associated Criteria for Buildings and Other Structures, ASCE/SEI 7-16; American Society of Civil Engineers (ASCE): Reston, VA, USA, 2017. [Google Scholar]
- Shahi, S.K.; Baker, J.W. An efficient algorithm to identify strong-velocity pulses in multicomponent ground motions. Bull. Seismol. Soc. Am. 2014, 104, 2456–2466. [Google Scholar] [CrossRef]
- Kumar, M.; Whittaker, A.W.; Constantinou, M.C. Characterizing friction in sliding isolation bearings. Earthq. Eng. Struct. Dyn. 2015, 44, 1409–1425. [Google Scholar] [CrossRef]
- He, W.L.; Agrawal, A.K.; Yang, J.N. Novel semiactive friction controller for linear structures against earthquakes. J. Struct. Eng. ASCE 2003, 129, 941–950. [Google Scholar] [CrossRef]
- Hsu, T.Y.; Huang, C.H. A smart sloped rolling-type isolator using information from an onsite earthquake early-warning technique. In Proceedings of the Asian Pacific Congress on Computational Mechanics (APCOM), Taipei, Taiwan, 18–20 December 2019. [Google Scholar]

















| Earthquake | Year | Station Name | PGA (g) | PGV (m/s) | Earthquake | Year | Station Name | PGA (g) | PGV (m/s) | |
|---|---|---|---|---|---|---|---|---|---|---|
| Group 1 | - | 1992–2006 | - | 0.082–1.260 | 0.006–2.800 | |||||
| Group 2 | El Centro | 1940 | American Imperial Valley | 0.281 | 0.309 | Japan Kobe | 1995 | Kakogwa (000) | 0.240 | 0.208 |
| American Imperial Valley | 1979 | Delta (352) | 0.350 | 0.330 | Shin-Osaka (090) | 0.233 | 0.218 | |||
| American Superstition Hills | 1987 | Poe Road (270) | 0.475 | 0.412 | MRG (000) | 0.214 | 0.270 | |||
| American Loma Prieta | 1989 | Gilroy Array #3 (000) | 0.559 | 0.363 | Fukushima (000) | 0.185 | 0.314 | |||
| Capitola (090) | 0.439 | 0.296 | Yae (000) | 0.158 | 0.212 | |||||
| Iran Manjil | 1990 | Abbar (L) | 0.515 | 0.425 | Turkey Kocaeli | 1999 | Duzce (270) | 0.364 | 0.557 | |
| American Landers | 1992 | Yermo Fire (360) | 0.152 | 0.291 | Taiwan Chi-Chi | 1999 | TCU074 (EW) * | 0.597 | 0.704 | |
| American Northridge | 1994 | Beverly Hills-12520 Mulhol (035) | 0.621 | 0.288 | TCU045 (NS) | 0.522 | 0.460 | |||
| Canyon Country (270) | 0.472 | 0.411 | TCU088 (EW) * | 0.519 | 0.137 | |||||
| LA-Saturn St (020) | 0.468 | 0.372 | TCU047 (NS) | 0.407 | 0.333 | |||||
| LA-Hollywood Stor FF (360) | 0.358 | 0.274 | NST (NS) | 0.399 | 0.329 | |||||
| Japan Kobe | 1995 | Nishi-Akashi (000) | 0.483 | 0.468 | TCU089 (EW) * | 0.355 | 0.508 | |||
| Tadoka (000) | 0.296 | 0.245 | ||||||||
| Group 3 | American San Fernanado | 1971 | Pacoima Dam (upper left abut) (164) | 1.129 | 1.144 | Taiwan Chi-Chi | 1999 | TCU128 (EW) * | 0.144 | 0.642 |
| American Superstition | 1987 | Parachute Test Site (225) | 0.429 | 1.342 | Turkey Kocaeli | 1999 | Yarimca (150) | 0.320 | 0.719 | |
| American Lexington Dam | 1989 | LosGatos (090) | 0.409 | 0.957 | Yarimca (060) | 0.226 | 0.697 | |||
| American Cape Mendocino | 1992 | Petrolia (090) | 0.605 | 0.885 | New Zealand Darfield | 2010 | HORC (S72E) | 0.472 | 0.698 | |
| Turkey Erzincan | 1992 | Erzincan (NS) | 0.385 | 1.071 | Taiwan Meinong | 2016 | CHY089 (NS) | 0.288 | 0.577 | |
| American Northridge | 1994 | Pacoima Dam (upper left) (194) | 0.989 | 1.033 | Taiwan Hualien | 2018 | HWA019 (EW) * | 0.411 | 1.384 | |
| Rinaldi (228) | 0.869 | 1.479 | HWA008 (NS) | 0.343 | 0.861 | |||||
| Sylmar-Converter Sta East (011) | 0.851 | 1.209 | MND016 (EW) * | 0.306 | 1.336 | |||||
| Sylmar-Olive View Med FF (360) | 0.798 | 1.293 | HWA007 (EW) * | 0.295 | 1.034 | |||||
| Sylmar-Converter Sta (052) | 0.617 | 1.162 | HWA012 (EW) * | 0.285 | 0.866 | |||||
| Jensen Filter Plant Generator Building (022) | 0.569 | 0.761 | HWA063 (NS) | 0.258 | 0.997 | |||||
| Taiwan Chi-Chi | 1999 | TCU067 (EW) * | 0.498 | 0.983 | HWA028 (NS) | 0.258 | 0.517 | |||
| CHY101 (NS) | 0.398 | 1.073 | HWA009 (EW) * | 0.255 | 1.104 | |||||
| TCU052 (EW) * | 0.357 | 1.746 | HWA008 (EW) * | 0.235 | 0.992 | |||||
| CHY101 (EW) * | 0.340 | 0.672 | HWA 062 (EW) * | 0.213 | 0.956 | |||||
| TCU075 (EW) * | 0.330 | 1.161 | TRB042 (EW) * | 0.208 | 0.656 | |||||
| TCU102 (EW) * | 0.310 | 0.874 | HWA062 (NS) | 0.207 | 0.764 | |||||
| CHY024 (EW) * | 0.282 | 0.529 | HWA011 (NS) | 0.203 | 0.871 | |||||
| TCU063 (EW) * | 0.183 | 0.440 | HWA050 (NS) | 0.202 | 0.763 | |||||
| TCU102 (NS) | 0.172 | 0.713 | TRB042 (NS) | 0.190 | 0.826 | |||||
| TCU128 (NS) | 0.166 | 0.626 |
| Model | Arc Rolling Stage | Slope Rolling Stage | ||||
|---|---|---|---|---|---|---|
| Range / Design Displacement (DD)i (mm) | Curvature Radius (mm) | Friction Damping Force (N) | Sloping Angle (°) | Friction Damping Force (N) | ||
| Upper Bearing Plate | Lower Bearing Plate | |||||
| SRB-3 | 10.5 | 100 | 550 | 0 | 3 | 550 |
| SRB-4 | 14 | 100 | 460 | 0 | 4 | 460 |
| SRB-6 | 21 | 100 | 300 | 0 | 6 | 300 |
| SRB-8 | 28 | 100 | 120 | 0 | 8 | 120 |
| FPB-3-2M | 63.78 | 2550 | 550 | - | - | - |
| FPB-3-3M | 494.70 | 19,800 | 550 | - | - | - |
| FPB-6-2M | 90.64 | 1810 | 300 | - | - | - |
| FPB-6-3M | 704.30 | 14,100 | 300 | - | - | - |
Publisher’s Note: MDPI stays neutral with regard to jurisdictional claims in published maps and institutional affiliations. |
© 2020 by the authors. Licensee MDPI, Basel, Switzerland. This article is an open access article distributed under the terms and conditions of the Creative Commons Attribution (CC BY) license (http://creativecommons.org/licenses/by/4.0/).
Share and Cite
Wang, S.-J.; Sung, Y.-L.; Yang, C.-Y.; Lin, W.-C.; Yu, C.-H. Control Performances of Friction Pendulum and Sloped Rolling-Type Bearings Designed with Single Parameters. Appl. Sci. 2020, 10, 7200. https://doi.org/10.3390/app10207200
Wang S-J, Sung Y-L, Yang C-Y, Lin W-C, Yu C-H. Control Performances of Friction Pendulum and Sloped Rolling-Type Bearings Designed with Single Parameters. Applied Sciences. 2020; 10(20):7200. https://doi.org/10.3390/app10207200
Chicago/Turabian StyleWang, Shiang-Jung, Yi-Lin Sung, Cho-Yen Yang, Wang-Chuen Lin, and Chung-Han Yu. 2020. "Control Performances of Friction Pendulum and Sloped Rolling-Type Bearings Designed with Single Parameters" Applied Sciences 10, no. 20: 7200. https://doi.org/10.3390/app10207200
APA StyleWang, S.-J., Sung, Y.-L., Yang, C.-Y., Lin, W.-C., & Yu, C.-H. (2020). Control Performances of Friction Pendulum and Sloped Rolling-Type Bearings Designed with Single Parameters. Applied Sciences, 10(20), 7200. https://doi.org/10.3390/app10207200

