Improvement of Intake Structures in a Two-Way Pumping Station with Experimental Analysis
Abstract
:1. Introduction
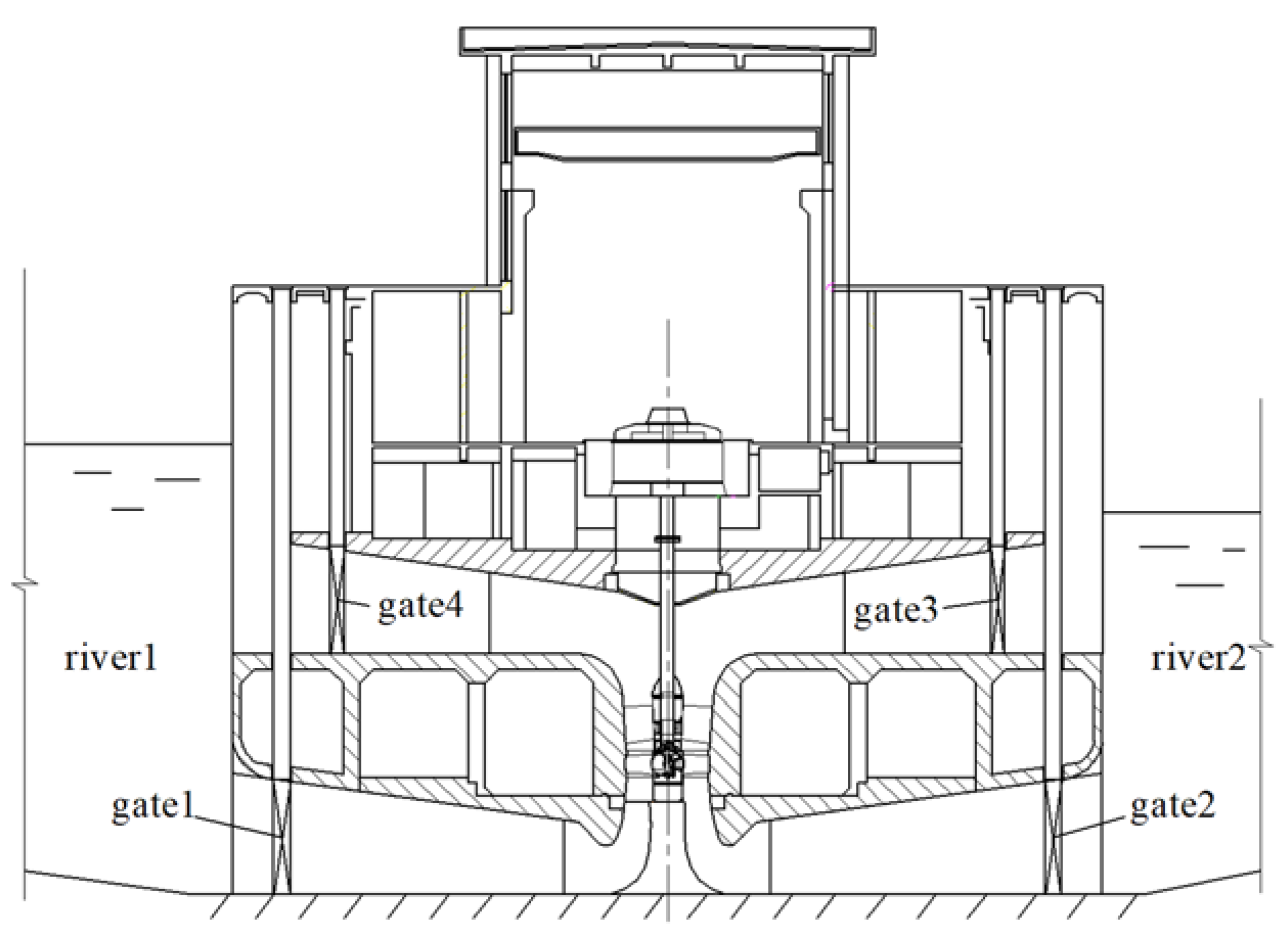
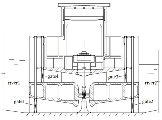
2. Overview of the Two-Way Pumping Station
3. Overview of the Two-Way Pumping Station
3.1. Main Parameters of the Test Model
3.2. Test Schemes
3.3. Experimental System
- P1 and P3 are located on the symmetrical plane of the intake. P1 is close to the direction of inflow.
- P2 is located on the vertical plane of the symmetrical surface of the intake.
4. Data Process Methods
4.1. Spectral Analysis Method
4.2. Time-Frequency Analysis Method
5. Results and Discussions
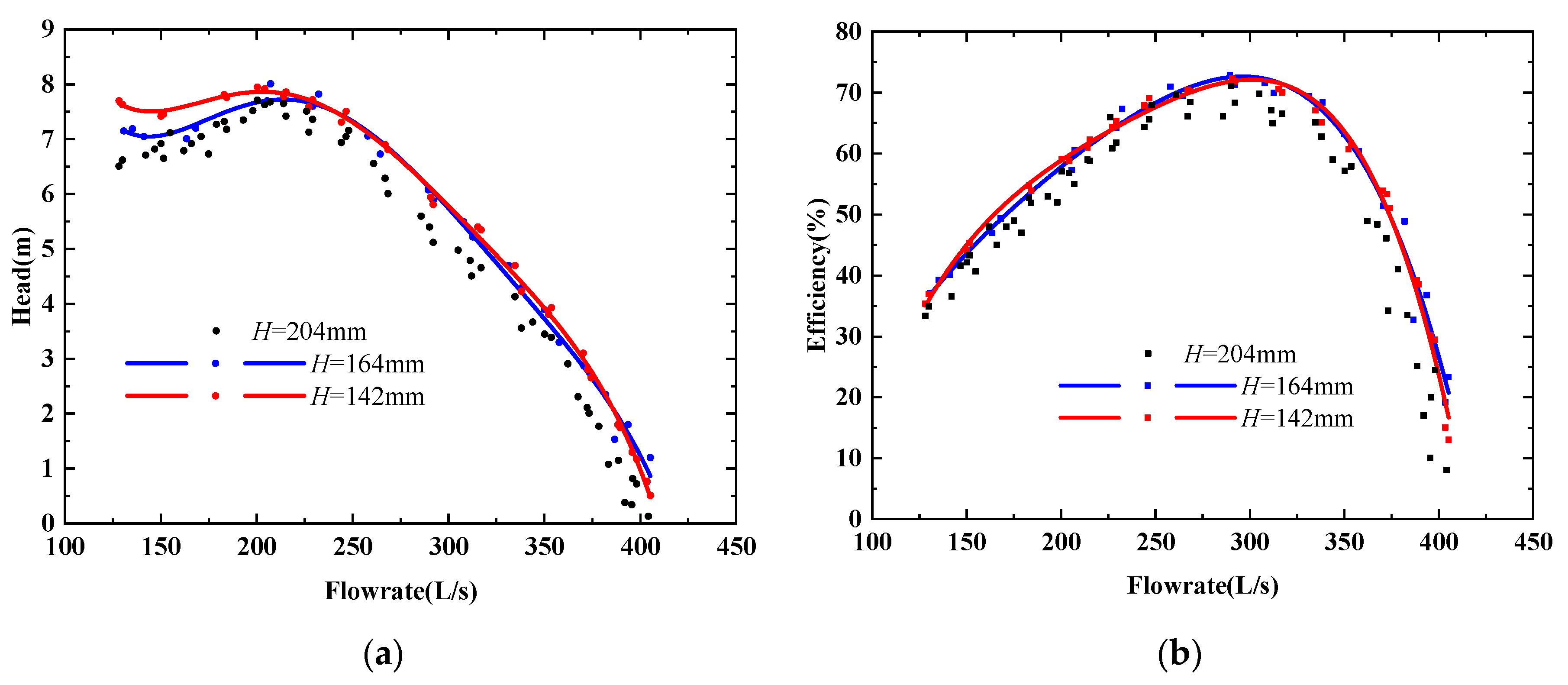
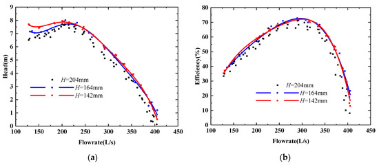
5.1. Comparison of Performance Curves for Three Intakes
5.2. Comparison of Pressure Values at Different Measuring Positions
5.3. Pressure Pulsations under Low Head Condition
5.4. Pressure Pulsations under Design Head Condition
5.5. Pressure Pulsations under High Head Condition
6. Conclusions
- (1)
- The bell mouth height has significant influence on the uniformity of the impeller inflow and the operation stability of the pump unit. The operation conditions of the pump unit are prone to instability when the bell mouth height is inappropriate, which affects the performance of the pump.
- (2)
- The average pressure at different positions can reflect the impeller inflow velocity distribution. As the bell mouth height decreases, more uniform impeller inflow can be ensured.
- (3)
- The RF and BPF are obvious in the spectra. The bell mouth height has an impact on the spectrum distribution. As the height decreases, the high-frequency amplitudes (St > 1) gradually increase.
- (4)
- CWT can be used to analyze the variation of pressure pulsations with time. When H is 204 mm and 164 mm, discontinuous signals can be found between St = 0 and St = 1. Moreover, the main frequency is significantly affected by the positions and operating conditions. As H decreases further, the high frequency discontinuous signals begin to highlight, but pressure pulsations are independent of the operating conditions and positions which contributes to the long-term stable operation of the pump unit. This method can also be applied to the diagnosis of other signals in the pump station, such as vibration and noise, which are important indexes for the operation stability of the pumping station.
Author Contributions
Funding
Conflicts of Interest
References
- Lei, X.; Tian, Y.; Zhang, Z.; Wang, L.; Xiang, X.; Wang, H. Correction of pumping station parameters in a one-dimensional hydrodynamic model using the Ensemble Kalman filter. J. Hydrol. 2019, 568, 108–118. [Google Scholar]
- Zhang, F.; Appiah, D.; Hong, F.; Zhang, J.; Yuan, S.; Adu-Poku, K.A.; Wei, X. Energy loss evaluation in a side channel pump under different wrapping angles using entropy production method. Int. Commun. Heat Mass Transf. 2020, 113, 104526. [Google Scholar]
- Wang, Y.; Zhang, F.; Yuan, S.; Chen, K.; Wei, X.; Appiah, D. Effect of URANS and Hybrid RANS-Large Eddy Simulation Turbulence Models on Unsteady Turbulent Flows Inside a Side Channel Pump. ASME J. Fluids Eng. 2020, 142, 061503. [Google Scholar]
- Zhu, J.; Zeng, F. Experimental study on two-way flow passages in pumping system. J. Mech. Sci. Technol. 2008, 22, 1966–1970. [Google Scholar]
- Liu, C.; Jin, Y.; Zhou, J.; Tang, F. Numerical simulation and experimental study of a two-floor structure pumping system. In Proceedings of the Power Conference, Palm Springs, CA, USA, 21–25 February 2010. [Google Scholar]
- Nakayama, A.; Hisasue, N. Large eddy simulation of vortex flow in intake channel of hydropower facility. J. Hydraul. Res. 2010, 48, 415–427. [Google Scholar]
- Benigni, H.; Schiffer, J.; Hoeller, S.; Jaberg, H. Improvement of intake structures with numerical simulation. In World Congress ICOLD 2018; Verlag der Technischen Universität Graz: Graz, Austria, 2018. [Google Scholar]
- Pei, J.; Gan, X.; Wang, W.; Yuan, S.; Tang, Y. Multi-objective shape optimization on the inlet pipe of a vertical inline pump. J. Fluids Eng. 2019, 141, 061108. [Google Scholar]
- Wang, Y.; Wang, P.; Tan, X.; Xu, Z.; Ruan, X. Research on the non-uniform inflow characteristics of the canned nuclear coolant pump. Ann. Nucl. Energy 2018, 115, 423–429. [Google Scholar]
- Yun, L.; Dezhong, W.; Junlian, Y.; Hongjuan, R. Numerical investigation on the unsteady characteristics of reactor coolant pumps with non-uniform inflow. Nucl. Eng. Des. 2017, 320, 65–76. [Google Scholar]
- Choi, J.-S.; McLaughlin, D.K.; Thompson, D.E. Experiments on the unsteady flow field and noise generation in a centrifugal pump impeller. J. Sound Vib. 2003, 263, 493–514. [Google Scholar]
- Guo, S.; Maruta, Y. Experimental investigations on pressure fluctuations and vibration of the impeller in a centrifugal pump with vaned diffusers. JSME Int. J. Ser. B Fluids Therm. Eng. 2005, 48, 136–143. [Google Scholar]
- Spence, R.; Amaral-Teixeira, J. A CFD parametric study of geometrical variations on the pressure pulsations and performance characteristics of a centrifugal pump. Comput. Fluids 2009, 38, 1243–1257. [Google Scholar]
- Pei, J.; Meng, F.; Li, Y.; Yuan, S.; Chen, J. Fluid–structure coupling analysis of deformation and stress in impeller of an axial-flow pump with two-way passage. Adv. Mech. Eng. 2016, 8, 1687814016646266. [Google Scholar]
- Wang, W.; Pei, J.; Yuan, S.; Yin, T. Experimental investigation on clocking effect of vaned diffuser on performance characteristics and pressure pulsations in a centrifugal pump. Exp. Therm. Fluid Sci. 2018, 90, 286–298. [Google Scholar]
- Mateo, C.; Talavera, J.A. Short-Time Fourier Transform with the Window Size Fixed in the Frequency Domain (STFT-FD): Implementation. SoftwareX 2018, 8, 5–8. [Google Scholar]
- Mateo, C.; Talavera, J.A. Short-time Fourier transform with the window size fixed in the frequency domain. Digit. Signal Process. 2018, 77, 13–21. [Google Scholar]
- Pavesi, G.; Cavazzini, G.; Ardizzon, G. Time–frequency characterization of the unsteady phenomena in a centrifugal pump. Int. J. Heat Fluid Flow 2008, 29, 1527–1540. [Google Scholar]
- Su, B.; Yin, Y.; Li, S.; Guo, Z.; Wang, Q.; Lin, M. Wavelet analysis on the turbulent flow structure of a T-junction. Int. J. Heat Fluid Flow 2018, 73, 124–142. [Google Scholar]
- Wang, G.F.; Wang, T.Y.; Ren, C.; Li, H.W. Application of complex shifted morlet wavelet in vibration monitoring of spindle bearing of crank shaft grinder. In Key Engineering Materials; Trans Tech Publications: Zürich, Switzerland, 2004. [Google Scholar]

















| Parameters | Values |
|---|---|
| Design flow Q | 150 m3/s |
| Impeller diameter D | 2650 mm |
| Rotational speed n | 150 r/min |
| Minimum head Hmin | 3.5 m |
| Design head Hd | 4.7 m |
| Maximum head Hmax | 6.5 m |
| Constants | Values |
|---|---|
| θ | 5° |
| D0 | 292 mm |
| D1 | 420 mm |
| D2 | 611 mm |
| H0 | 306 mm |
| ho | 80 mm |
| h1 + H | 407 mm |
© 2020 by the authors. Licensee MDPI, Basel, Switzerland. This article is an open access article distributed under the terms and conditions of the Creative Commons Attribution (CC BY) license (http://creativecommons.org/licenses/by/4.0/).
Share and Cite
Li, Y.; Lu, R.; Zhang, H.; Deng, F.; Yuan, J. Improvement of Intake Structures in a Two-Way Pumping Station with Experimental Analysis. Appl. Sci. 2020, 10, 6842. https://doi.org/10.3390/app10196842
Li Y, Lu R, Zhang H, Deng F, Yuan J. Improvement of Intake Structures in a Two-Way Pumping Station with Experimental Analysis. Applied Sciences. 2020; 10(19):6842. https://doi.org/10.3390/app10196842
Chicago/Turabian StyleLi, Yanjun, Rong Lu, Huiyan Zhang, Fanjie Deng, and Jianping Yuan. 2020. "Improvement of Intake Structures in a Two-Way Pumping Station with Experimental Analysis" Applied Sciences 10, no. 19: 6842. https://doi.org/10.3390/app10196842
APA StyleLi, Y., Lu, R., Zhang, H., Deng, F., & Yuan, J. (2020). Improvement of Intake Structures in a Two-Way Pumping Station with Experimental Analysis. Applied Sciences, 10(19), 6842. https://doi.org/10.3390/app10196842
