Next Article in Journal
Features of Electrophoretic Deposition of a Ba-Containing Thin-Film Proton-Conducting Electrolyte on a Porous Cathode Substrate
Next Article in Special Issue
A Non-Framework Multilevel Surgery May Reduce Mean Heart Rate in Patients with Very Severe Obstructive Apnea Having Confined Retroglossal Space and Framework
Previous Article in Journal
Energy Management of a Multi-Source Vehicle by λ-Control
Previous Article in Special Issue
How to Obtain an Orthodontic Virtual Patient through Superimposition of Three-Dimensional Data: A Systematic Review
 
 
Font Type:
Arial Georgia Verdana
Font Size:
Aa Aa Aa
Line Spacing:
Column Width:
Background:
Article

Increasing Hypopnea in Sleep Breathing Disturbance Improves Postoperative Oxygen Saturation in Patients with Very Severe Obstructive Sleep Apnea

1
Department of Otolaryngology, Chang Gung Memorial Hospital, Chiayi 61363, Taiwan
2
Sleep Center of Chang Gung Memorial Hospital, Chiayi 61363, Taiwan
3
School of Medicine, Chang Gung University, Taoyuan 33302, Taiwan
4
Division of Pulmonary and Critical Care Medicine, Chang Gung Memorial Hospital, Chiayi 61363, Taiwan
5
Department of Nursing, Chang Gung University of Science and Technology, Chiayi 61363, Taiwan
6
Department of Respiratory Care, Chang Gung University of Science and Technology, Chiayi 61363, Taiwan
7
Graduate Institute of Clinical Medical Sciences, College of Medicine, Chang Gung University, Taoyuan 33302, Taiwan
8
Department of Neurology, Chang Gung Memorial Hospital, Chiayi 61363, Taiwan
9
Department of Psychiatry, Chang Gung Memorial Hospital, Chiayi 61363, Taiwan
*
Author to whom correspondence should be addressed.
Appl. Sci. 2020, 10(18), 6539; https://doi.org/10.3390/app10186539
Submission received: 9 August 2020 / Revised: 3 September 2020 / Accepted: 14 September 2020 / Published: 18 September 2020

Abstract

In patients of very severe obstructive sleep apnea (OSA) with confined framework, reducing volume is difficult to achieve a postoperative apnea-hypopnea index (AHI) qualifying the classical surgical success. However, a higher AHI with a larger part of hypopneas may have similar or even less severity of oxygen (O2) desaturation, compared to a lower index mostly made of apneas. Here, in 27 consecutive enrolled patients, we show that besides the improvement of mean AHI, the multilevel surgery increased hypopnea in AHI from 29.1% to 77.3%, and improves postoperative O2 saturation by reducing desaturation frequency (mean desaturation index decreased from 62.5 to 24.4 events/h) and level (mean oxyhemoglobin saturation of pulse oximetry (SpO2) desaturation cut down from 10.0 to 5.8%). The mean SpO2 improved from 92.3% to 94.7%, and the improvement was positively related to the proportion increase of hypopnea/AHI. The results suggest that the non-framework surgery could help patients with very severe OSA whose AHIs are ≥60 events/h in terms of improving postoperative O2 saturation. Due to the improvement also presented in those not qualified as classical surgical success, further studies are needed to clarify the connection between O2 desaturation and various consequences to reconsider defining a surgical success.

1. Introduction

Intermittent O2 desaturation in adult obstructive sleep apnea (OSA) patients has been proven to correlate with possible consequences such as hypertension [1,2,3,4], cognitive deficits [5,6], and cardiovascular disorders [7,8,9] (e.g., pulmonary hypertension [8], coronary artery disease [8,9], cerebrovascular disease [8,9], idiopathic cardiomyopathy [8], and congestive heart failure [8,9]). However, O2 desaturation with different severities may result from similar apnea-hypopnea indexes (AHIs) and vice versa [10,11]. Studies have shown that deeper and longer O2 desaturation events may contribute more to the daytime sleepiness [12,13] and harmful health consequences than the shallower and shorter events [10]. More severe O2 desaturations come from apneas, compared to hypopneas (e.g., see [11]). Intermittent O2 desaturation results from sleep apneas and hypopneas, which constitute a variety of components in most of the AHI.
A common ground of treating OSA patients could be improving O2 saturation to reduce consequences. However, surgically treating very severe OSA patients (defined to AHI ≥ 60 events/h here) can be difficult due to their narrow retroglossal space and confined framework, which is hard to enlarge via conventional uvulopalatopharyngoplasty (UPPP) surgery [14]. In the literature, very severe OSA refers to having a high AHI or respiratory disturbance index (RDI) of 40 [15,16], 50 [17,18,19,20,21], 60 [22,23,24,25,26], 70 [27], or 100 events per hour [28]. It is a distinct subgroup and differs from OSA with other severities. For example, patients with very severe OSA may have a low level (as 77 mmHg) of diurnal partial pressure of oxygen while they are not in sleep [29]. There may be residual on- Continuous-Positive-Airway-Pressure (CPAP) AHIs > 20 events per hour [30]. They have less positional OSA [31], a high prevalence of hypertension [29], higher insulin resistance [32], and about three times the chances of heart block compared to an unselected group of OSA patients [33]. The unfavorable anatomy is not necessarily related to obese or high body mass index (BMI) (e.g., see [23,25]).
The anatomical limitations and the characteristics of this group of very severe OSA make it hard (e.g., Walker’s 17% (1/6) [34], Vilaseca’s 9% (1/11) [23], and Mickelson’s 30% (3/10) [35]) to achieve the commonly used “surgical success” in sleep surgeries, i.e., AHI < 20/hour and AHI reduction > 50%, first proposed by Sher et al. [36]. It is unclear whether increasing hypopnea in AHI, regardless of the qualification of surgical success, improves postoperative O2 saturation and reduces the consequences. It is also unclear whether the one-stage multilevel surgery we proposed for severe OSA without operating on the bone [37] successfully improves the postoperative O2 saturation with an unfavorable anatomical stage.
If more severe O2 desaturations come from apneas than hypopneas [11] and the surgery may shift apneas to hypopneas, it is reasonable to hypothesize that increasing hypopnea in AHI improves postoperative O2 saturation in refractory very severe OSA patients. Here, we compared the pre- and post-operative postoperative polysomnographies (PSGs) and showed how increasing hypopnea in AHI reduces frequency of desaturation (by desaturation index (events/h)), reduces severity of desaturation (by mean SpO2 desaturation (%)), and improves mean SpO2 after the one-stage multilevel surgery in very severe OSA patients. We also showed how the improvement can be seen in classical non-surgical success patients.

2. Materials and Methods

Between March 2015 and May 2020, we enrolled consecutive patients with very severe OSA who met these criteria to the study:
  • Age ≥ 20 years
  • Unsuccessful or refusal of CPAP
  • AHI ≥ 60 events/h
  • Received a one-stage multi-level sleep surgery with the modified ZPP performed with one-layer closure and open partial tongue-base glossectomy
  • Available preoperative and postoperative PSGs for required recordings, including desaturation index and SpO2.
Patients were not specially selected for surgery by any other criteria unlisted above. There were no specific exclusion criteria. Every PSG was conducted overnight in the level 1 sleep laboratory of the authors’ tertiary referral hospital. In a PSG, an apnea is defined as the complete cessation of airflow for at least 10 s. A hypopnea is defined as a decrease in airflow ≥ 30% for at least 10 s that is accompanied by either EEG signs of arousal or by a 4% or greater decrease in oxygen saturation. We performed pre- and post-operative endoscopies to evaluate the anatomy. Patients received general anesthesia by oral intubation to allow routine septomeatoplasty, and breathed through the mouth for 2 to 3 days before we removed the nasal packing. Modified Z-palatoplasty (ZPP) with one-layer closure was performed as illustrated in our previous report [37]. Partial open tongue-base resection was completed with transoral (CO2) laser microsurgery or transoral robotic surgery (TORS) for hypopharyngeal obstruction according to the preoperative endoscopic assessment. After the surgery, we cared for all patients in general ward areas with oximeter monitor. Intravenous Dynastat was prescribed twice daily on patients’ request. No intravenous or oral narcotics were given to prevent respiratory depression.
A PSG followed about 6 months (193 ± 67 days) after the surgery, and sleep parameters were considered stable. We measured the mean change in AHI compared to the mean AHI before surgery, AHI reduction, as suggested by Caples, S. M. et al. [38]. In the components of AHI, we then calculated the percentage of hypopnea in AHI and compared the desaturation index, the mean SpO2 desaturation, and the mean SpO2 before and after the surgery. We performed a paired t-test to examine the changes in AHI reduction, percentage of hypopnea in AHI, desaturation index, mean SpO2 desaturation, and mean SpO2, against no change after the surgery. We plotted scatter graph to exclude outliers and justify the application of correlation coefficient. We calculated the correlation coefficient to show the relationship between proportion change of hypopnea/AHI (defined here as (postoperative-preoperative)/preoperative fraction of hypopnea in AHI) and change of mean SpO2 (defined here as (postoperative-preoperative)/preoperative mean SpO2). We then tested the change of mean SpO2 in “non-surgical success” patients to see if clinical and statistical improvements can be seen if a classical surgical success could not be qualified. The statistical significance was tested as α = 0.05.
All statistical examinations were performed in MATLAB 9.4.0.813654 (MathWorks, Natick, MA, USA).

3. Ethical Statements

The Institutional Review Board of Chang Gung Medical Foundation, Taiwan, approved the study methods, protocols, and informed consent of subjects, with relevant guidelines and regulations.

4. Results

This study enrolled 27 very severe OSA patients with 24 men and 3 women between 29 and 63 years of age (mean = 47.4; standard deviation (SD) = 10.6). The mean BMI was 28.5 with a standard deviation of 3.5 kg/m2. All patients received ZPP with one-layer closure and partial open tongue-base resection. Twenty-five received routine septomeatoplasty. One patient underwent UPPP at another hospital before visiting our clinic. Three and one patients underwent routine endoscopic sinosurgery and adenoidectomy, respectively.
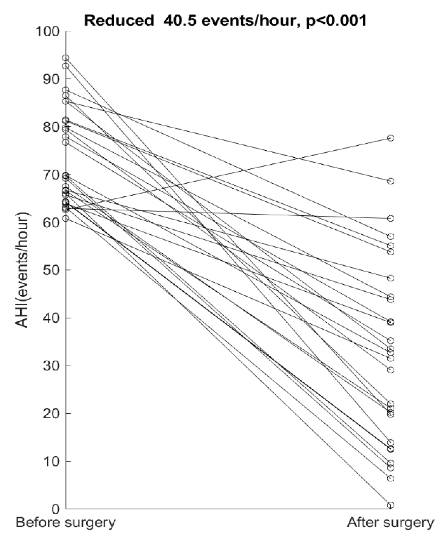
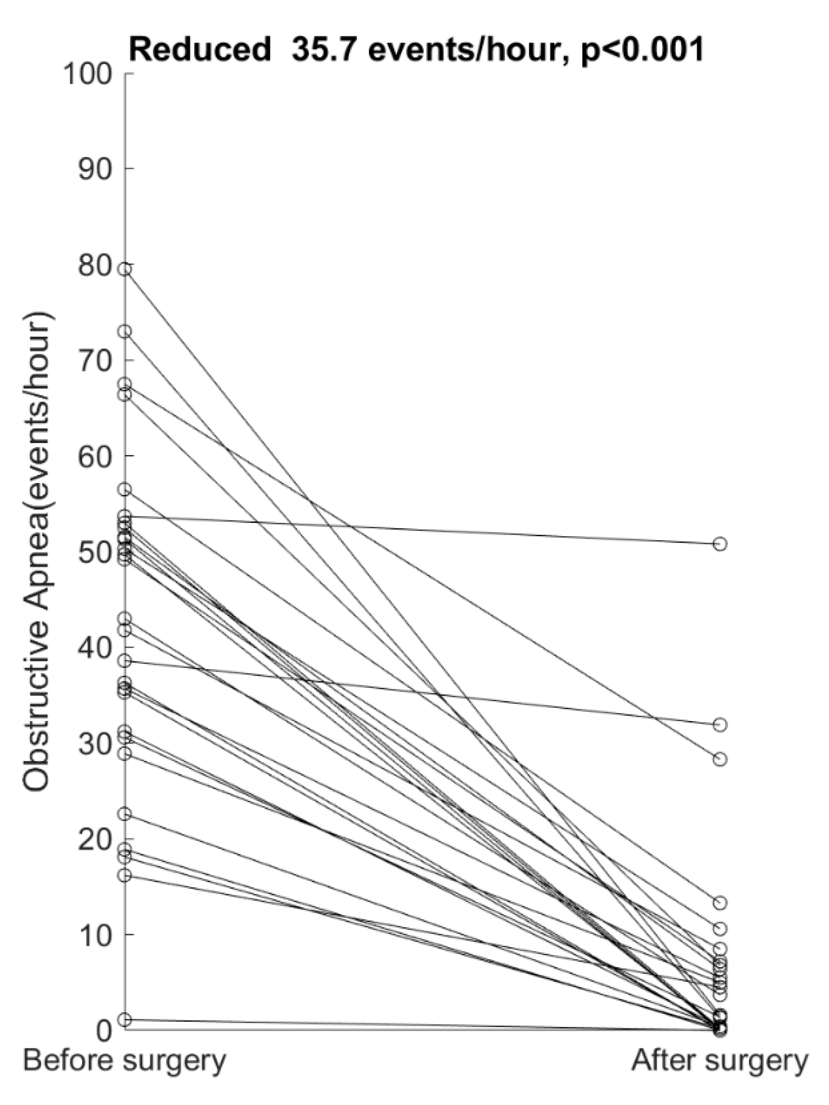
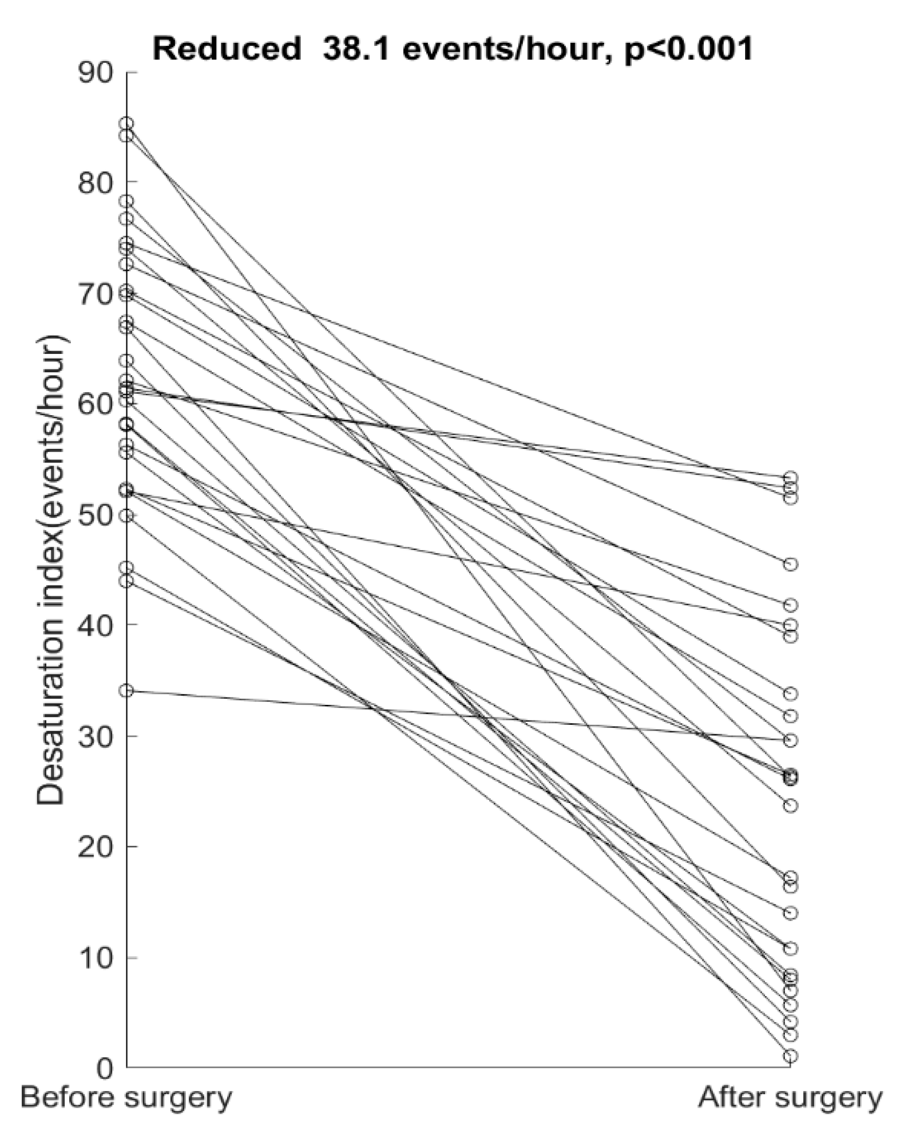
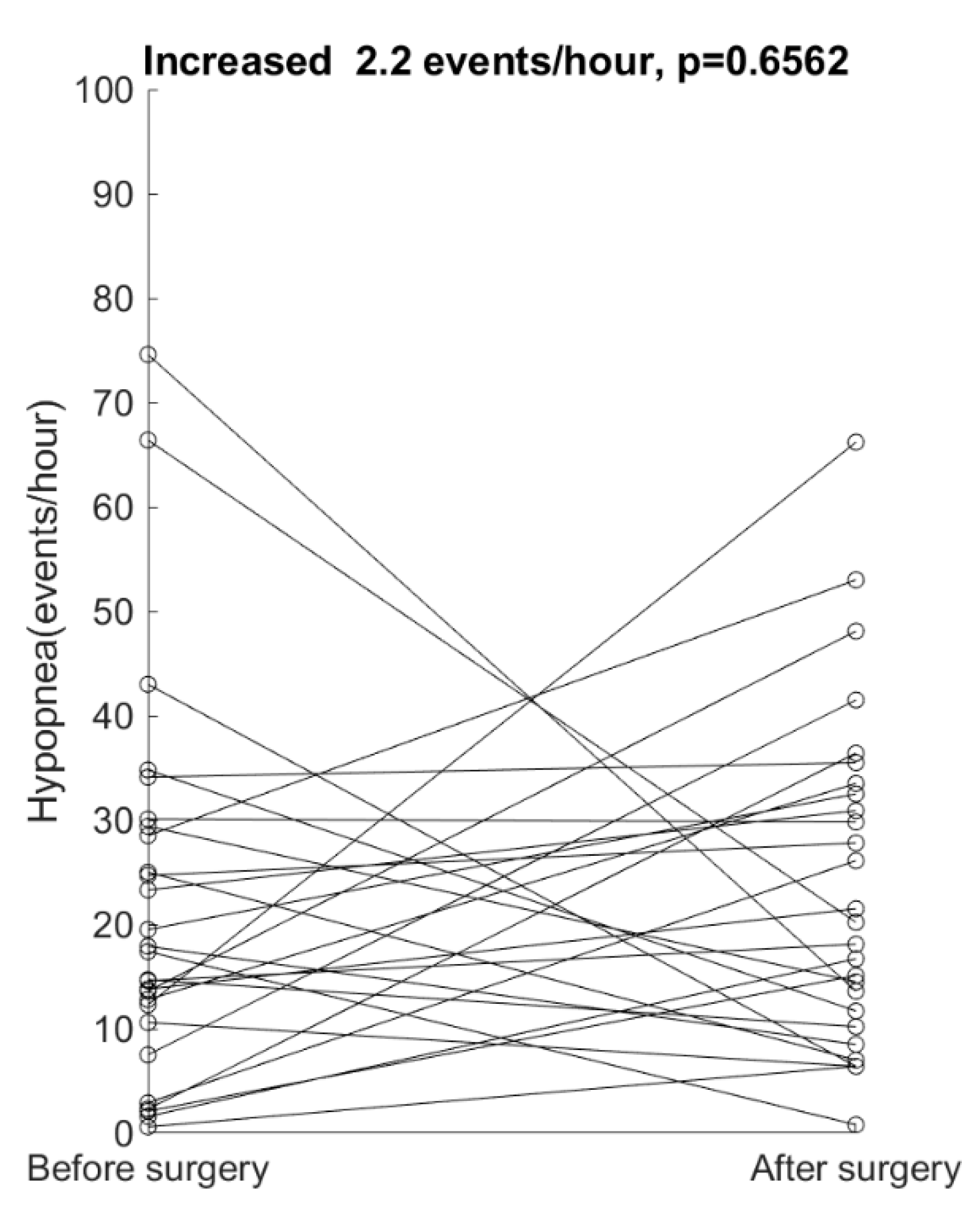
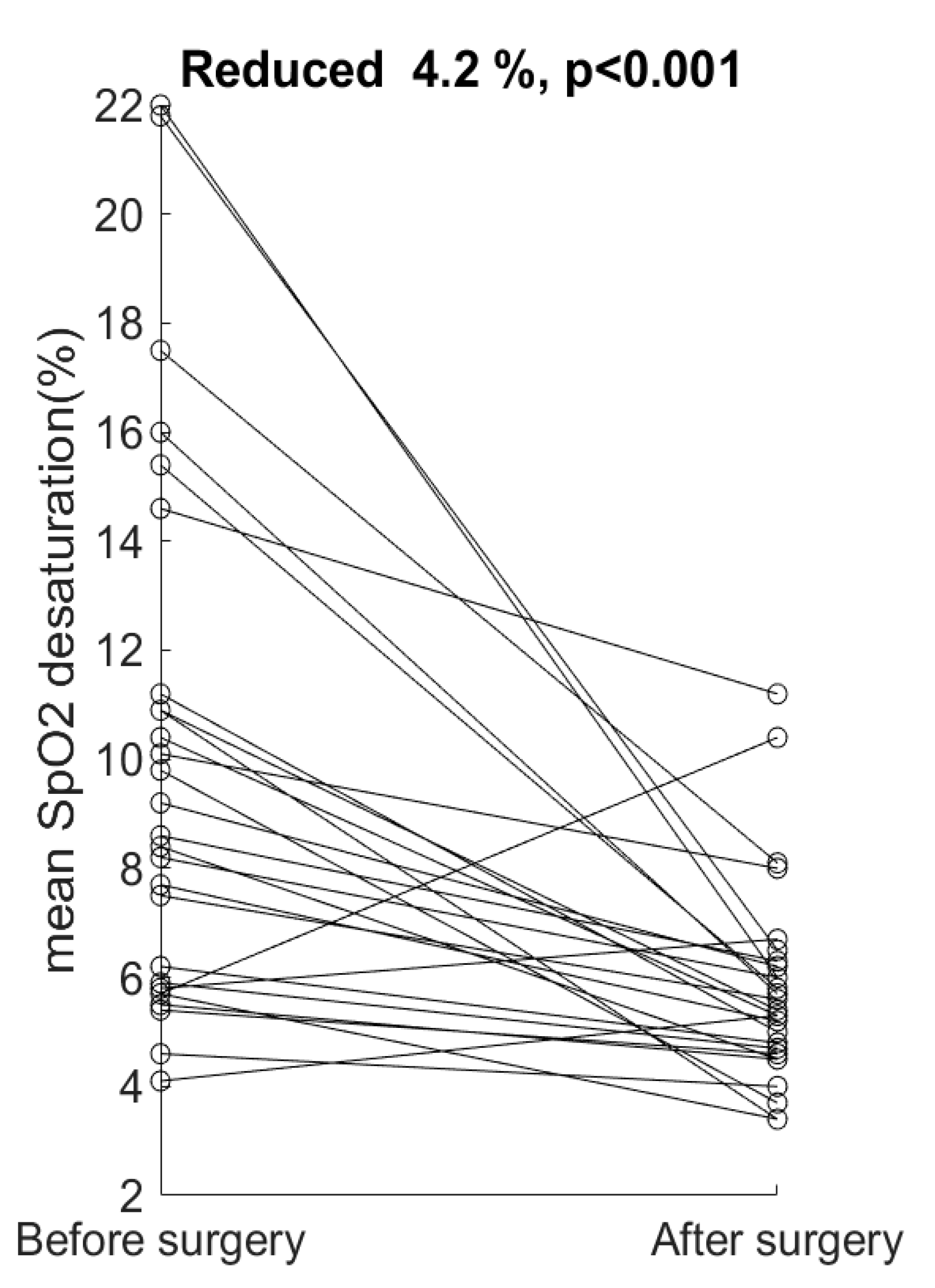
After the surgery, the mean AHI (with 1 SD; the same for the follows) was reduced from 73.8 ± 10.3 to 33.2 ± 20.4 events/h (p < 0.001). The mean AHI reduction was 40.5, with a 95% confidence interval of 31.9 to 49.1 events/h. Figure 1 illustrated the individual AHI reductions. In these AHIs (including central and mixed indexes), the mean obstructive apnea index reduced 35.7 events/h, with a 95% confidence interval of 28.1 to 43.3 events/h (p < 0.001) (Figure 2). The hypopnea index almost remained the same, with a small change of 2.2 events/h (p = 0.6562) (Figure 3). The mean portion of hypopnea in AHI increased from 29.1 ± 23.9 to 77.3 ± 25.1% (p < 0.001) (Figure 4). The mean increase was 48.2%, with a 95% confidence interval of 37.7 to 58.8%. The mean desaturation index decreased from 62.5 ± 12.5 to 24.4 ± 16.3 events/h (mean reduction was 38.1, with a 95% confidence interval of 30.6 to 45.6 events/h, p < 0.001) (Figure 5), and the mean SpO2 desaturation was cut down from 10.0 ± 5.0 to 5.8 ± 1.9% (mean reduction was 4.2%, with a 95% confidence interval of 2.3 to 6.1%, p < 0.001) (Figure 6). The mean SpO2 improved from 92.3 ± 3.4 to 94.7 ± 1.5% (mean improvement was 2.4%, with a 95% confidence interval of 1.0 to 3.8%, p = 0.0014) (Figure 7). A correlation of the data revealed that the improvement of mean SpO2 was positively related to the proportional increase of hypopnea/AHI, r = 0.483, p = 0.011, two-tailed test (Figure 8). However, the Spearman correlation was 0.374, p = 0.0557, showing the probable limitations of small case number or existence of outliers.
Nineteen out of 27 patients did not qualify the classical surgical success because each had a postoperative AHI > 20 events/h, although all had AHI reductions > 50%. In these 19 “non-surgical success” patients, the mean SpO2 improved from 91.7 ± 3.7 to 94.3 ± 1.6% (p = 0.0087) (Figure 9). Among the remaining eight patients, the AHI reduced from 73.0 ± 13.0 to 10.5 ± 5.6 events/h and qualified as “surgical success”. However, the improvement of mean SpO2 from 93.8 ± 2.0 to 95.7 ± 0.8% did not show statistical significance (p = 0.0625).

5. Discussion

The results show that the multilevel surgery shifted (Figure 4) apneas that cause more severe O2 desaturations (Figure 2) to hypopneas that allow some passing airflow (Figure 3 and Figure 4). The surgery increased the portion of hypopnea in AHI. Although we believe apnea reduction is the key to improve O2 saturation, apnea index after the surgery easily reaches the floor (floor effect, i.e., close to 0, see Figure 2) and distorts the pre- and post-operative comparison. That is why we selected hypopnea/AHI ratio as the measurement. The improvement of postoperative O2 saturation in very severe OSA patients was seen in several ways: 1. Reduced desaturation frequency by desaturation index; 2. Reduced desaturation severity by mean SpO2 desaturation; and 3. Improved mean SpO2.
The surgery improved mean SpO2 in the 19 “non-surgical success” patients, regardless of the qualification of surgical success. Although the improvement of mean SpO2 in the eight “surgical success” cases did not reveal statistical significance (p = 0.0625), it needs to be aware that this could be the limitations of a small number or the ceiling effect—these 8 patients had higher preoperative mean SpO2 of 93.8%, and it is harder to get better than 95% after the surgery.
Classical surgical success—AHI < 20 events/h and AHI reduction > 50%, first proposed by Sher et al. [36]—was frequently reported in associated studies with less severity and might serve as an outcome measure for comparison. The surgical success of the present study was 29.6% (8/27), which was worse than Mickelson’s 30% (3/10) [35] but better than Walker’s 17% (1/6) [34] and Vilaseca’s 9% (1/11) [23] (calculated from detailed subject information provided in available literature for non-framework sleep surgeries in very severe OSA patients). The mean AHI reduction in the present study was 40.5 events/h, which was worse than Mickelson’s 42.2 events/h [35] but better than Walker’s 38.2 events/h [34] and Vilaseca’s 14.4 events/h [23].
If improving O2 saturation to reduce consequences is the goal, we may need to redefine “success of surgery”, at least for very severe OSAs. The results suggest that factors evaluating surgical success could include a combination of AHI reduction and hypopnea ratio, desaturation index, mean SpO2 desaturation, and mean SpO2. Future studies are needed to clarify the connection between the O2 desaturation, including level and frequency, and various consequences. These results may intrigue future works to investigate a better classification of surgical success, taking into account initial, but not only, AHI.

6. Conclusions

Besides AHI reduction, the multilevel surgery in this study increased hypopnea in AHI from 29.1% to 77.3%, and improves postoperative O2 saturation by reducing desaturation frequency and level in very severe OSA patients. In other words, the multilevel surgery not only reduced the total number of sleep breathing disturbance per hour, but also shifted apneas that cause more severe O2 desaturations to hypopneas that allow some passing airflow. The mean desaturation index decreased from 62.5 to 24.4 events/h, and the mean SpO2 desaturation cut down from 10.0% to 5.8%. If improving O2 saturation to reduce consequences is the goal and the key for surgical success, the results suggest that the surgery could benefit patients with very severe OSA whose AHIs are ≥60 events/h in terms of improving postoperative O2 saturation. Since the improvement of O2 saturation also presented in those cases not qualified classical surgical success, we may need to reconsider the definition of surgical success, at least in very severe OSA patients.

Author Contributions

E.I.H. designed the study, collected data, read the PSGs, conducted statistical analysis, and wrote the first draft of this manuscript. S.-Y.H. and Y.-C.L. enrolled the patients, helped to interpret and present the data, and made critical comments on this manuscript. C.-K.L., C.-M.L., Y.-C.H., and J.-A.S. enrolled the patients, analyzed the data, and revised the manuscript. All authors have read and agreed to the published version of the manuscript.

Funding

This research received no external funding.

Conflicts of Interest

The authors declare no conflict of interest.

References

  1. Young, T.; Peppard, P.; Palta, M.; Hla, K.M.; Finn, L.; Morgan, B.; Skatrud, J. Population-based study of sleep-disordered breathing as a risk factor for hypertension. Arch. Intern. Med. 1997, 157, 1746–1752. [Google Scholar] [CrossRef]
  2. Lavie, P.; Herer, P.; Hoffstein, V. Obstructive sleep apnoea syndrome as a risk factor for hypertension: Population study. BMJ 2000, 320, 479–482. [Google Scholar] [CrossRef]
  3. Nieto, F.J.; Young, T.; Lind, B.K.; Shahar, E.; Samet, J.M.; Redline, S.; D’Agostino, R.B.; Newman, A.B.; Lebowitz, M.D.; Pickering, T.G.; et al. Association of Sleep-Disordered Breathing, Sleep Apnea, and Hypertension in a Large Community-Based Study. JAMA 2000, 283, 1829–1836. [Google Scholar] [CrossRef]
  4. Peppard, P.E.; Young, T.; Palta, M.; Skatrud, J. Prospective Study of the Association between Sleep-Disordered Breathing and Hypertension. N. Engl. J. Med. 2000, 342, 1378–1384. [Google Scholar] [CrossRef]
  5. Cheshire, K.; Engleman, H.; Deary, I.; Shapiro, C.; Douglas, N.J. Factors Impairing Daytime Performance in Patients with Sleep Apnea/Hypopnea Syndrome. Arch. Intern. Med. 1992, 152, 538–541. [Google Scholar] [CrossRef]
  6. Kim, H.C.; Young, T.; Matthews, C.G.; Weber, S.M.; Woodard, A.R.; Palta, M. Sleep-disordered Breathing and Neuropsychological Deficits. Am. J. Respir. Crit. Care Med. 1997, 156, 1813–1819. [Google Scholar] [CrossRef]
  7. Perry, J.C.; Almeida, V.; Souza, F.G.; Schoorlemmer, G.H.; Colombari, E.; Tufik, S. Consequences of subchronic and chronic exposure to intermittent hypoxia and sleep deprivation on cardiovascular risk factors in rats. Respir. Physiol. Neurobiol. 2007, 156, 250–258. [Google Scholar] [CrossRef] [PubMed]
  8. Bananian, S.; Lehrman, S.G.; Maguire, G.P. Cardiovascular Consequences of Sleep-related Breathing Disorders. Heart Dis. 2002, 4, 296–305. [Google Scholar] [CrossRef] [PubMed]
  9. Shahar, E.; Whitney, C.W.; Redline, S.; Lee, E.T.; Newman, A.B.; Nieto, F.J.; O’Connor, G.T.; Boland, L.L.; Schwartz, J.E.; Samet, J.M. Sleep-disordered Breathing and Cardiovascular Disease. Am. J. Respir. Crit. Care Med. 2001, 163, 19–25. [Google Scholar] [CrossRef] [PubMed]
  10. Kulkas, A.; Tiihonen, P.; Julkunen, P.; Mervaala, E.; Töyräs, J. Novel parameters indicate significant differences in severity of obstructive sleep apnea with patients having similar apnea–hypopnea index. Med. Biol. Eng. 2013, 51, 697–708. [Google Scholar] [CrossRef]
  11. Kulkas, A.; Duce, B.; Hukins, C.; Töyräs, J.; Leppänen, T. Severity of desaturation events differs between hypopnea and obstructive apnea events and is modulated by their duration in obstructive sleep apnea. Sleep Breath. 2017, 21, 829–835. [Google Scholar] [CrossRef] [PubMed]
  12. Bédard, M.-A.; Montplaisir, J.; Richer, F.; Malo, J. Nocturnal Hypoxemia as a Determinant of Vigilance Impairment in Sleep Apnea Syndrome. Chest 1991, 100, 367–370. [Google Scholar] [CrossRef] [PubMed][Green Version]
  13. Mediano, O.; Barcelò, A.; De La Peña, M.; Gozal, D.; Agusti, A.; Barbe, F. Daytime sleepiness and polysomnographic variables in sleep apnoea patients. Eur. Respir. J. 2007, 30, 110–113. [Google Scholar] [CrossRef] [PubMed]
  14. Li, H.-Y.; Wang, P.-C.; Lee, L.-A.; Chen, N.-H.; Fang, T.-J. Prediction of uvulopalatopharyngoplasty outcome: Anatomy-based staging system versus severity-based staging system. Sleep 2006, 29, 1537–1541. [Google Scholar] [CrossRef] [PubMed]
  15. Campanini, A.; De Vito, A.; Frassineti, S.; Vicini, C. Role of skin-lined tracheotomy in obstructive sleep apnoea syndrome: Personal experience. Acta Otorhinolaryngol. Ital. 2004, 24, 68–74. [Google Scholar] [PubMed]
  16. Haviv, Y.; Bachar, G.; Aframian, D.; Almoznino, G.; Michaeli, E.; Benoliel, R. A 2-year mean follow-up of oral appliance therapy for severe obstructive sleep apnea: A cohort study. Oral Dis. 2014, 21, 386–392. [Google Scholar] [CrossRef] [PubMed]
  17. Lavie, P.; Lavie, L.; Herer, P. All-cause mortality in males with sleep apnoea syndrome: Declining mortality rates with age. Eur. Respir. J. 2005, 25, 514–520. [Google Scholar] [CrossRef]
  18. Veasey, S.C.; Guilleminault, C.; Strohl, K.P.; Sanders, M.H.; Ballard, R.D.; Magalang, U.J. Medical therapy for obstructive sleep apnea: A review by the Medical Therapy for Obstructive Sleep Apnea Task Force of the Standards of Practice Committee of the American Academy of Sleep Medicine. Sleep 2006, 29, 1036–1044. [Google Scholar] [CrossRef]
  19. Maimon, N.; Hanly, P.J. Does Snoring Intensity Correlate with the Severity of Obstructive Sleep Apnea? J. Clin. Sleep Med. 2010, 6, 475–478. [Google Scholar] [CrossRef]
  20. Brown, E.C.; Cheng, S.; McKenzie, D.K.; Butler, J.E.; Gandevia, S.C.; Bilston, L.E. Respiratory Movement of Upper Airway Tissue in Obstructive Sleep Apnea. Sleep 2013, 36, 1069–1076. [Google Scholar] [CrossRef]
  21. Olaithe, M.; Bucks, R. Executive Dysfunction in OSA Before and After Treatment: A Meta-Analysis. Sleep 2013, 36, 1297–1305. [Google Scholar] [CrossRef] [PubMed]
  22. Cohen, R. Obstructive sleep apnea. Oral Surg. Oral Med. Oral Pathol. Oral Radiol. Endodontology 1998, 85, 388–392. [Google Scholar] [CrossRef]
  23. Vilaseca, I.; Morelló, A.; Montserrat, J.M.; Santamaría, J.; Iranzo, A. Usefulness of uvulopalatopharyngoplasty with genioglossus and hyoid advancement in the treatment of obstructive sleep apnea. Arch. Otolaryngol.-Head Neck Surg. 2002, 128, 435–440. [Google Scholar] [CrossRef] [PubMed]
  24. Lee, L.-A.; Huang, C.-G.; Chen, N.-H.; Wang, C.-L.; Fang, T.-J.; Li, H.-Y. Severity of Obstructive Sleep Apnea Syndrome and High-Sensitivity C-Reactive Protein Reduced After Relocation Pharyngoplasty. Otolaryngol. Neck Surg. 2011, 144, 632–638. [Google Scholar] [CrossRef] [PubMed]
  25. Lee, L.-A.; Yu, J.-F.; Lo, Y.-L.; Chen, Y.-S.; Wang, D.-L.; Cho, C.-M.; Ni, Y.-L.; Chen, N.-H.; Fang, T.-J.; Huang, C.-G.; et al. Energy Types of Snoring Sounds in Patients with Obstructive Sleep Apnea Syndrome: A Preliminary Observation. PLoS ONE 2012, 7, e53481. [Google Scholar] [CrossRef]
  26. Shiba, T.; Takahashi, M.; Sato, Y.; Onoda, Y.; Hori, Y.; Sugiyama, T.; Bujo, H.; Maeno, T. Relationship between Severity of Obstructive Sleep Apnea Syndrome and Retinal Nerve Fiber Layer Thickness. Am. J. Ophthalmol. 2014, 157, 1202–1208. [Google Scholar] [CrossRef]
  27. Huynh, N.; Emami, E.; Helman, J.; Chervin, R. Interactions between sleep disorders and oral diseases. Oral Dis. 2013, 20, 236–245. [Google Scholar] [CrossRef]
  28. Gay, P.C.; Herold, D.L.; Olson, E.J. A randomized, double-blind clinical trial comparing continuous positive airway pressure with a novel bilevel pressure system for treatment of obstructive sleep apnea syndrome. Sleep 2003, 26, 864–869. [Google Scholar] [CrossRef][Green Version]
  29. Lacedonia, D.; Carpagnano, G.E.; Sabato, R.; Storto, M.M.L.; Palmiotti, G.A.; Capozzi, V.; Barbaro, M.F.; Gallo, C. Characterization of obstructive sleep apnea-hypopnea syndrome (OSA) population by means of cluster analysis. J. Sleep Res. 2016, 25, 724–730. [Google Scholar] [CrossRef]
  30. Anderson, F.E.; Kingshott, R.N.; Taylor, D.R.; Jones, D.R.; Kline, L.R.; Whyte, K.F. A randomized crossover efficacy trial of oral CPAP (Oracle) compared with nasal CPAP in the management of obstructive sleep apnea. Sleep 2003, 26, 721–726. [Google Scholar] [CrossRef]
  31. Levendowski, D.J.; Seagraves, S.; Popovic, D.; Westbrook, P.R. Assessment of a Neck-Based Treatment and Monitoring Device for Positional Obstructive Sleep Apnea. J. Clin. Sleep Med. 2014, 10, 863–871. [Google Scholar] [CrossRef] [PubMed]
  32. Otake, K.; Sasanabe, R.; Hasegawa, R.; Banno, K.; Hori, R.; Okura, Y.; Yamanouchi, K.; Shiomi, T. Glucose Intolerance in Japanese Patients with Obstructive Sleep Apnea. Intern. Med. 2009, 48, 1863–1868. [Google Scholar] [CrossRef] [PubMed][Green Version]
  33. Becker, H.F.; Koehler, U.; Stammnitz, A.; Peter, J.H. Heart block in patients with sleep apnoea. Thorax 1998, 53, S29–S32. [Google Scholar] [CrossRef] [PubMed]
  34. Walker, E.B.; Frith, R.W.; Harding, D.A.; Cant, B.R. Uvulopalatopharyngoplasty in severe idiopathic obstructive sleep apnoea syndrome. Thorax 1989, 44, 205–208. [Google Scholar] [CrossRef] [PubMed]
  35. Mickelson, S.A.; Rosenthal, L. Midline glossectomy and epiglottidectomy for obstructive sleep apnea syndrome. Laryngoscope 1997, 107, 614–619. [Google Scholar] [CrossRef] [PubMed]
  36. Sher, A.E.; Schechtman, K.B.; Piccirillo, J.F. The Efficacy of Surgical Modifications of the Upper Airway in Adults with Obstructive Sleep Apnea Syndrome. Sleep 1996, 19, 156–177. [Google Scholar] [CrossRef]
  37. Huang, E.I.; Kuo, C.-L.; Chou, Y.-T.; Lin, Y.-C.; Huang, S.-Y. Modified Z-palatoplasty with one-layer closure in one-stage multilevel surgery for severe obstructive sleep apnea. Auris Nasus Larynx 2018, 45, 791–795. [Google Scholar] [CrossRef]
  38. Caples, S.M.; Rowley, J.A.; Prinsell, J.R.; Pallanch, J.F.; Elamin, M.B.; Katz, S.G.; Harwick, J.D. Surgical Modifications of the Upper Airway for Obstructive Sleep Apnea in Adults: A Systematic Review and Meta-Analysis. Sleep 2010, 33, 1396–1407. [Google Scholar] [CrossRef]
Figure 1. Individual apnea-hypopnea-index (AHI) changes revealed a significant reduction after the surgery.
Figure 1. Individual apnea-hypopnea-index (AHI) changes revealed a significant reduction after the surgery.
Applsci 10 06539 g001
Figure 2. Individual obstructive apnea index changes revealed a significant reduction after the surgery.
Figure 2. Individual obstructive apnea index changes revealed a significant reduction after the surgery.
Applsci 10 06539 g002
Figure 3. Individual hypopnea index did not reveal a significant change after the surgery.
Figure 3. Individual hypopnea index did not reveal a significant change after the surgery.
Applsci 10 06539 g003
Figure 4. Individual portion change of hypopnea in AHI. After the surgery, the mean hypopnea portion increased 48.2%, p < 0.001.
Figure 4. Individual portion change of hypopnea in AHI. After the surgery, the mean hypopnea portion increased 48.2%, p < 0.001.
Applsci 10 06539 g004
Figure 5. Individual change of desaturation index. After the surgery, the mean desaturation frequency cut 38.1 events/h, p < 0.001.
Figure 5. Individual change of desaturation index. After the surgery, the mean desaturation frequency cut 38.1 events/h, p < 0.001.
Applsci 10 06539 g005
Figure 6. Individual change of mean SpO2 desaturation. After the surgery, the mean desaturation severity reduced 4.2%, p < 0.001.
Figure 6. Individual change of mean SpO2 desaturation. After the surgery, the mean desaturation severity reduced 4.2%, p < 0.001.
Applsci 10 06539 g006
Figure 7. Individual change of mean SpO2. After the surgery, the mean O2 saturation improved 2.4%, p = 0.0014.
Figure 7. Individual change of mean SpO2. After the surgery, the mean O2 saturation improved 2.4%, p = 0.0014.
Applsci 10 06539 g007
Figure 8. Scatter plot and correlation of proportion change of hypopnea/AHI (defined here as (postoperative-preoperative)/preoperative fraction of hypopnea in AHI) vs. change of mean SpO2 (defined here as (postoperative-preoperative)/preoperative mean SpO2). It shows that the improvement of mean SpO2 was positively related to the proportional increase of hypopnea/AHI.
Figure 8. Scatter plot and correlation of proportion change of hypopnea/AHI (defined here as (postoperative-preoperative)/preoperative fraction of hypopnea in AHI) vs. change of mean SpO2 (defined here as (postoperative-preoperative)/preoperative mean SpO2). It shows that the improvement of mean SpO2 was positively related to the proportional increase of hypopnea/AHI.
Applsci 10 06539 g008
Figure 9. Mean SpO2 improved 2.63% in “non-surgical success” patients (19/27), p = 0.0087.
Figure 9. Mean SpO2 improved 2.63% in “non-surgical success” patients (19/27), p = 0.0087.
Applsci 10 06539 g009

Share and Cite

MDPI and ACS Style

Huang, E.I.; Huang, S.-Y.; Lin, Y.-C.; Lin, C.-M.; Lin, C.-K.; Huang, Y.-C.; Su, J.-A. Increasing Hypopnea in Sleep Breathing Disturbance Improves Postoperative Oxygen Saturation in Patients with Very Severe Obstructive Sleep Apnea. Appl. Sci. 2020, 10, 6539. https://doi.org/10.3390/app10186539

AMA Style

Huang EI, Huang S-Y, Lin Y-C, Lin C-M, Lin C-K, Huang Y-C, Su J-A. Increasing Hypopnea in Sleep Breathing Disturbance Improves Postoperative Oxygen Saturation in Patients with Very Severe Obstructive Sleep Apnea. Applied Sciences. 2020; 10(18):6539. https://doi.org/10.3390/app10186539

Chicago/Turabian Style

Huang, Ethan I., Shu-Yi Huang, Yu-Ching Lin, Chieh-Mo Lin, Chin-Kuo Lin, Ying-Chih Huang, and Jian-An Su. 2020. "Increasing Hypopnea in Sleep Breathing Disturbance Improves Postoperative Oxygen Saturation in Patients with Very Severe Obstructive Sleep Apnea" Applied Sciences 10, no. 18: 6539. https://doi.org/10.3390/app10186539

APA Style

Huang, E. I., Huang, S.-Y., Lin, Y.-C., Lin, C.-M., Lin, C.-K., Huang, Y.-C., & Su, J.-A. (2020). Increasing Hypopnea in Sleep Breathing Disturbance Improves Postoperative Oxygen Saturation in Patients with Very Severe Obstructive Sleep Apnea. Applied Sciences, 10(18), 6539. https://doi.org/10.3390/app10186539

Note that from the first issue of 2016, this journal uses article numbers instead of page numbers. See further details here.

Article Metrics

Back to TopTop