Propulsion Performance of the Full-Active Flapping Foil in Time-Varying Freestream
Abstract
1. Introduction
2. Problem Description and Methodology
2.1. Problem Description
2.2. Numerical Methods and Validation
3. Results and Discussions
3.1. The Propulsion Performance of Flapping Foil at Uniform Freestream
3.2. The Influence of the Time Varying Freestream
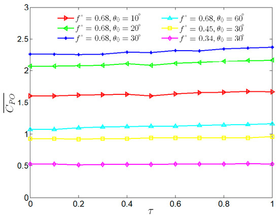
3.2.1. The Effect of the Time-Varying Flow in One Period
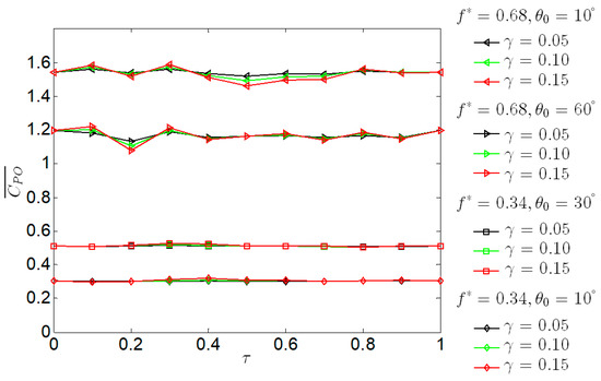
3.2.2. The Effect of the Time-Varying Flow in Different Periods
3.2.3. The Effect of the Time-Varying Flow in Multiple Periods
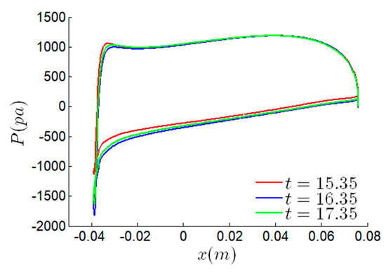
3.3. The Mechanism of the Time Varying Freestream
4. Conclusions
Author Contributions
Funding
Acknowledgments
Conflicts of Interest
References
- Bøckmann, E.; Steen, S.; Myrhaug, D. Performance of a Ship Powered Purely by Renewable Energy. In Proceedings of the International Conference on Offshore Mechanics and Arctic Engineering, San Francisco, CA, USA, 8–13 June 2014. [Google Scholar]
- Floc’H, F.; Phoemsapthawee, S.; Laurens, J.M.; Leroux, J.-B. Porpoising foil as a propulsion system. Ocean Eng. 2012, 39, 53–61. [Google Scholar] [CrossRef]
- Qi, Z.; Zou, B.; Lu, H.; Shi, J.; Li, G.; Qin, Y.; Zhai, J. Numerical Investigation of the Semi-Active Flapping Foil of the Wave Glider. J. Mar. Sci. Eng. 2019, 8, 13. [Google Scholar] [CrossRef]
- Lee, J.; Choi, H.; Kim, H.Y. A scaling law for the lift of hovering insects. J. Fluid Mech. 2015, 782, 479–490. [Google Scholar] [CrossRef][Green Version]
- Shyy, W.; Aono, H.; Chimakurthi, S.; Trizila, P.; Kang, C.-K.; Cesnik, C.; Liu, H. Recent progress in flapping wing aerodynamics and aeroelasticity. Prog. Aerosp. Sci. 2010, 46, 284–327. [Google Scholar] [CrossRef]
- Wu, T.Y.-T. Swimming of a Waving Plate. J. Fluid Mech. 1961, 10, 321–344. [Google Scholar] [CrossRef]
- Anderson, J.M.; Streitlien, K.; Barrett, D.S.; Triantafyllou, M.S. Oscillating foils of high propulsive efficiency. J. Fluid Mech. 1998, 360, 41–72. [Google Scholar] [CrossRef]
- Triantafyllou, G.S.; Triantafyllou, M.S.; Grosenbaugh, M.A. Optimal Thrust Development in Oscillating Foils with Application to Fish Propulsion. J. Fluids Struct. 1993, 7, 205–224. [Google Scholar] [CrossRef]
- Schouveiler, L.; Hover, F.S.; Triantafyllou, M.S. Performance of flapping foil propulsion. J. Fluids Struct. 2005, 20, 949–959. [Google Scholar] [CrossRef]
- Qi, Z.; Zhai, J.; Li, G.; Peng, J. Effects of non-sinusoidal pitching motion on the propulsion performance of an oscillating foil. PLoS ONE 2019, 14, e218832. [Google Scholar] [CrossRef] [PubMed]
- Zhang, D.; Pan, G.; Chao, L.; Zhang, Y. Effects of Reynolds number and thickness on an undulatory self-propelled foil. Phys. Fluids 2018, 30, 71902. [Google Scholar] [CrossRef]
- Mackowski, A.W.; Williamson, C.H.K. Effect of pivot location and passive heave on propulsion from a pitching airfoil. Phys. Rev. Fluids 2017, 2, 35–40. [Google Scholar] [CrossRef]
- Young, J.; Lai, J.C.S. On the Aerodynamic Forces of a Plunging Airfoil. J. Mech. Sci. Technol. 2007, 21, 1388–1397. [Google Scholar] [CrossRef]
- Ashraf, M.A.; Young, J.; Lai, J.C.S. Reynolds number, thickness and camber effects on flapping airfoil propulsion. J. Fluids Struct. 2011, 27, 145–160. [Google Scholar] [CrossRef]
- Hoke, C.M.; Young, J.; Lai, J.C.S. Effects of time-varying camber deformation on flapping foil propulsion and power extraction. J. Fluids Struct. 2015, 56, 152–176. [Google Scholar] [CrossRef]
- Koochesfahani, M.M. Vortical patterns in the wake of an oscillating airfoil. AIAA J. 1989, 27, 1200–1205. [Google Scholar] [CrossRef]
- Ashraf, I.; Agrawal, A.; Khan, M.H.; Srivastava, A.; Sharma, A. Thrust generation and wake structure for flow across a pitching airfoil at low Reynolds number. Sadhana 2015, 40, 2367–2379. [Google Scholar] [CrossRef]
- Dewey, P.A.; Boschitsch, B.M.; Moored, K.W.; Stone, H.A.; Smits, A.J. Scaling laws for the thrust production of flexible pitching panels. J. Fluid Mech. 2013, 732, 29–46. [Google Scholar] [CrossRef]
- Rozhdestvensky, K.V.; Ryzhov, V.A. Aerohydrodynamics of flapping-wing propulsors. Prog. Aerosp. Sci. 2003, 39, 585–633. [Google Scholar] [CrossRef]
- Cebeci, T.; Platzer, M.; Chen, H.; Chang, K.-C.; Shao, J.P. Analysis of Low Speed Unsteady Airfoil Flows; Springer: Berlin/Heidelberg, Germany, 2004. [Google Scholar]
- Wang, W.; Yan, Y.; Tian, F. Numerical study on hydrodynamics for a non-sinusoidal forced oscillating hydrofoil based on an immersed boundary method. Ocean Eng. 2018, 147, 606–620. [Google Scholar] [CrossRef]
- Xiao, Q.; Liao, W. Numerical study of asymmetric effect on a pitching foil. Int. J. Mod. Phys. 2011, 20, 1663–1680. [Google Scholar] [CrossRef]
- Yang, S.; Liu, C.; Wu, J. Effect of motion trajectory on the aerodynamic performance of a flapping airfoil. J. Fluids Struct. 2017, 75, 213–232. [Google Scholar] [CrossRef]
- Esfahani, J.A.; Barati, E.; Karbasian, H.R. Fluid structures of flapping airfoil with elliptical motion trajectory. Comput. Fluids 2015, 108, 142–155. [Google Scholar] [CrossRef]
- Xiao, Q.; Liao, W. Numerical investigation of angle of attack profile on propulsion performance of an oscillating foil. Comput. Fluids 2010, 39, 1366–1380. [Google Scholar] [CrossRef]
- Zhu, Q. Energy harvesting by a purely passive flapping foil from shear flows. J. Fluids Struct. 2012, 34, 157–169. [Google Scholar] [CrossRef]
- Cho, H.; Zhu, Q. Performance of a flapping foil flow energy harvester in shear flows. J. Fluids Struct. 2014, 51, 199–210. [Google Scholar] [CrossRef]
- Yu, M.; Wang, B.; Wang, Z.J.; Farokhi, S. Evolution of vortex structures over flapping foils in shear flows and its impact on aerodynamic performance. J. Fluids Struct. 2018, 76, 116–134. [Google Scholar] [CrossRef]
- Kinsey, T.; Dumas, G. Computational Fluid Dynamics Analysis of a Hydrokinetic Turbine Based on Oscillating Hydrofoils. J. Fluids Eng. 2012, 134, 21104. [Google Scholar] [CrossRef]
- Ma, P.; Wang, Y.; Xie, Y.; Huo, Z. Effects of time-varying freestream velocity on energy harvesting using an oscillating foil. Ocean Eng. 2018, 153, 353–362. [Google Scholar] [CrossRef]
- De Silva, L.W.A.; Yamaguchi, H. Numerical study on active wave devouring propulsion. J. Mar. Sci. Technol. 2012, 17, 261–275. [Google Scholar] [CrossRef]
- Filippas, E.S.; Belibassakis, K.A. Hydrodynamic analysis of flapping-foil thrusters operating beneath the free surface and in waves. Eng. Anal. Bound. Elem. 2014, 41, 47–59. [Google Scholar] [CrossRef]
- Xu, G.D.; Duan, W.Y.; Zhou, B.Z. Propulsion of an active flapping foil in heading waves of deep water. Eng. Anal. Bound. Elem. 2017, 84, 63–76. [Google Scholar] [CrossRef]
- Gharali, K.; Johnson, D.A. Dynamic stall simulation of a pitching airfoil under unsteady freestream velocity. J. Fluids Struct. 2013, 42, 228–244. [Google Scholar] [CrossRef]
- Chen, Y.; Zhan, J.; Wu, J.; Wu, J. A fully-activated flapping foil in wind gust: Energy harvesting performance investigation. Ocean Eng. 2017, 138, 112–122. [Google Scholar] [CrossRef]
- Kinsey, T.; Dumas, G. Parametric Study of an Oscillating Airfoil in a Power-Extraction Regime. AIAA J. 2008, 46, 1318–1330. [Google Scholar] [CrossRef]
- Read, D.A.; Hover, F.S.; Triantafyllou, M.S. Forces on oscillating foils for propulsion and maneuvering. J. Fluids Struct. 2003, 17, 163–183. [Google Scholar] [CrossRef]















| Grid | Time Step | |||
|---|---|---|---|---|
| 80,000 cells | 800 ts | 6.264 | 21.573 | 29.038% |
| 1600 ts | 6.293 | 21.752 | 28.930% | |
| 160,000 cells | 800 ts | 6.327 | 21.893 | 28.9% |
| 1600 ts | 6.407 | 22.210 | 28.846% |
| Parameters | Range |
|---|---|
| Chord length, c | 0.17 m |
| Hydrofoil shape | 2D NACA0012 |
| Hydrofoil thickness, d | 0.02 m |
| Constant flow velocity, | 0.25 m/s |
| Heaving amplitude, | 1c |
| Pitching amplitude, | 10–80° |
| Reduced frequency, | 0.1–0.68 |
| Oscillating amplitude, | 0–0.15 |
| Oscillating frequency coefficient, | 0–1 |
| Simulation Period, | 10–20T |
© 2020 by the authors. Licensee MDPI, Basel, Switzerland. This article is an open access article distributed under the terms and conditions of the Creative Commons Attribution (CC BY) license (http://creativecommons.org/licenses/by/4.0/).
Share and Cite
Qi, Z.; Jia, L.; Qin, Y.; Shi, J.; Zhai, J. Propulsion Performance of the Full-Active Flapping Foil in Time-Varying Freestream. Appl. Sci. 2020, 10, 6226. https://doi.org/10.3390/app10186226
Qi Z, Jia L, Qin Y, Shi J, Zhai J. Propulsion Performance of the Full-Active Flapping Foil in Time-Varying Freestream. Applied Sciences. 2020; 10(18):6226. https://doi.org/10.3390/app10186226
Chicago/Turabian StyleQi, Zhanfeng, Lishuang Jia, Yufeng Qin, Jian Shi, and Jingsheng Zhai. 2020. "Propulsion Performance of the Full-Active Flapping Foil in Time-Varying Freestream" Applied Sciences 10, no. 18: 6226. https://doi.org/10.3390/app10186226
APA StyleQi, Z., Jia, L., Qin, Y., Shi, J., & Zhai, J. (2020). Propulsion Performance of the Full-Active Flapping Foil in Time-Varying Freestream. Applied Sciences, 10(18), 6226. https://doi.org/10.3390/app10186226

