A Fast-Response Calorimeter with Dynamic Corrections for Transient Heat Transfer Measurements
Abstract
1. Introduction
2. Novel Transient Calorimeter (NTC)
2.1. Principe and Characteristic of the Novel Transient Calorimeter
2.2. Influence of Non-Ideal Heat Conduction
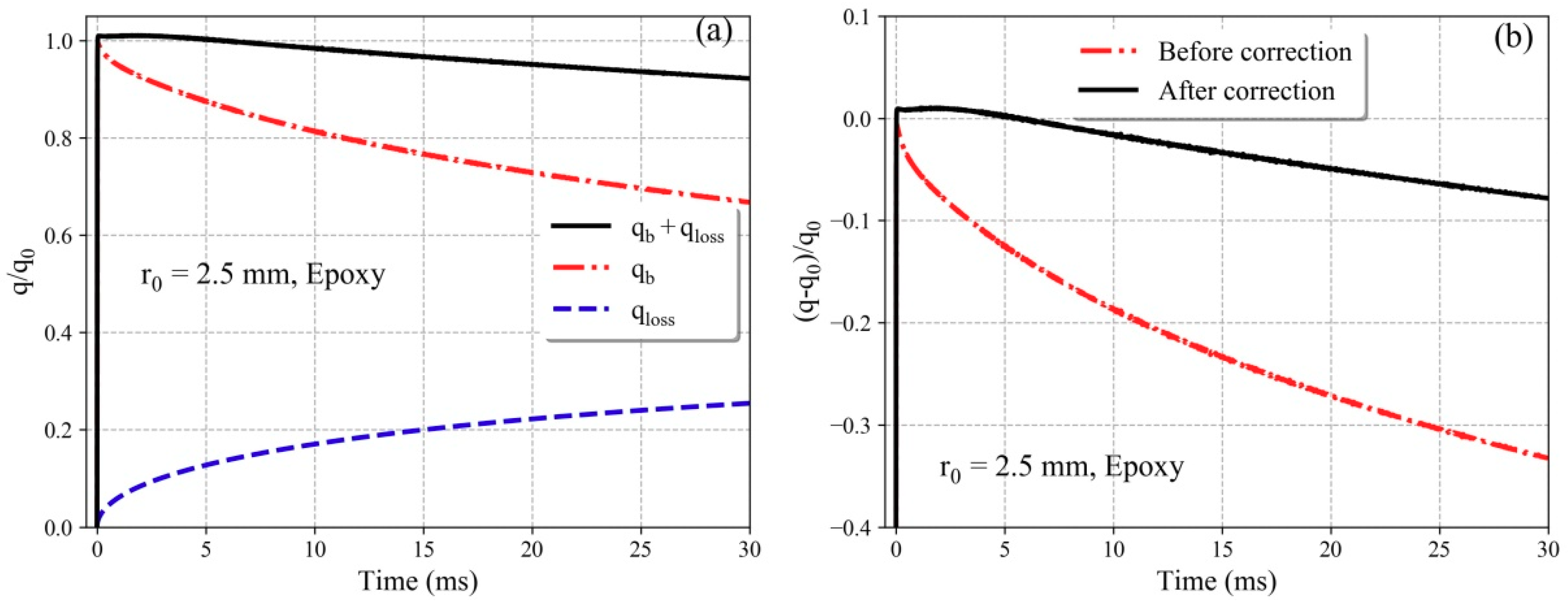
3. Theory of Dynamic Correction
4. Experiments Results and Discussion
4.1. Experimental Facility
4.2. Test Model and Sensor Arrangement
4.3. Results and Discussion
4.3.1. Results of the Detonation Shock Tunnel Test
4.3.2. Results of the Single Detonation Shock Tunnel Test
4.3.3. Results of the Detonation Shock Tube Test
5. Conclusions
Author Contributions
Funding
Acknowledgments
Conflicts of Interest
References
- Wang, Q.; Li, J.P.; Zhao, W.; Jiang, Z.L. Comparative study on aerodynamic heating under perfect and nonequilibrium hypersonic flows. Sci. Chin. Phys. Mech. Astron. 2016, 59, 624701. [Google Scholar] [CrossRef]
- Peng, Z.Y.; Shi, Y.L.; Gong, H.M.; Li, Z.H.; Luo, Y.C. Hypersonic aeroheating prediction technique and its trend of development. Acta Aeron. Astronaut. Sin. 2015, 36, 325–345. [Google Scholar]
- Gai, S.L.; Nudford, N.R. Stagnation point heat flux in hypersonic high enthalpy flows. Shock Waves 1992, 2, 43–47. [Google Scholar] [CrossRef]
- Hanamitsu, A.; Kishimoto, T.; Bito, H. High enthalpy flow computation and experiment around the simple bodies. Spec. Publ. Natl. Aerosp. Lab. 1996, 29, 10–16. [Google Scholar]
- Miller, C.G.I. Comparison of Thin Film Resistance Heat Transfer Gauges with Thin-Skin Transient Calorimeter Gauges in Conventional HW Tunnels; NASA Technical Reports Server: Hampton, VA, USA, 1982.
- Wannenwetsch, G.; Ticatch, L.; Kidd, C.; Arterbury, R. Measurements of wing leading edge heating rates on wind tunnel models using the thin film techniques. In Proceedings of the 20th Thermophysics Conference, Williamsburg, VA, USA, 19–21 June 1985; AIAA: Williamsburg, VA, USA, 1985. [Google Scholar]
- Saito, T.; Kuribayashi, T.; Menzes, V.; Sun, M.; Jagadeesh, G.; Takayama, K. Unsteady convective surface heat flux measurements on a cylinder for CFD code validation studies. Shock Waves 2004, 13, 327–337. [Google Scholar] [CrossRef]
- Saravanan, S.; Jagadeesh, G.; Reddy, K.P.J. Convective heat transfer rate distribution over a missile shaped body flying at hypersonic speeds. Exp. Fluid Sci. 2009, 33, 782–790. [Google Scholar] [CrossRef]
- Sanderson, S.R.; Sturtevant, B. Transient heat flux measurement using a surface junction thermocouple. Rev. Sci. Instrum. 2002, 73, 2781–2787. [Google Scholar] [CrossRef]
- Menezes, V.; Bhat, S. A coaxial thermocouple for shock tunnel applications. Rev. Sci. Instrum. 2010, 81, 104905. [Google Scholar] [CrossRef]
- Mohammed, H.A.; Salleh, H.; Yusoff, M.Z.; Campo, A. Thermal product of type-E fast response temperature sensors. J. Sci. 2010, 19, 364–371. [Google Scholar] [CrossRef]
- Desikan, S.L.N.; Suresh, K.; Srinivasan, K.; Raveendran, P.G. Fast response coaxial thermocouple for short duration impulse facilities. Appl. Eng. 2016, 96, 48–56. [Google Scholar]
- Mohammed, H.; Salleh, H.; Yusoff, M.Z. Design and fabrication of coaxial surface junction thermocouples for transient heat transfer measurements. Int. Commun. Heat Mass Transf. 2008, 35, 853–859. [Google Scholar] [CrossRef]
- Schultz, D.L.; Jones, T.V. Heat Transfer Measurements in Short Duration Hypersonic Facilities; Technical Report AGARD-AG-165; North Atlantic Treaty Organization, Advisory Group for Aerospace Research and Development: London, UK, 1973. [Google Scholar]
- Rose, P.H. Development of the calorimeter heat transfer gauge for use in shock tubes. Rev. Sci. Instrum. 1958, 29, 557–564. [Google Scholar] [CrossRef]
- Taler, J. Theory of transient experimental techniques for surface heat transfer. Int. J. Heat Mass Transf. 1996, 39, 3733–3748. [Google Scholar] [CrossRef]
- Wool, M.R.; Murphy, A.J.; Rindal, R.A. Calorimeter measurement of heat transfer at hypersonic conditions. J. Spacecr. Rocket. 1974, 11, 363–367. [Google Scholar] [CrossRef]
- Nakakita, K.; Osafune, T.; Asai, K. Global heat transfer measurement in a hypersonic shock tunnel using temperature sensitive paint. In Proceedings of the 41st AIAA Aerospace Sciences Meeting and Exhibit, Reno, NV, USA, 6–9 January 2003. AIAA-2003-0743. [Google Scholar]
- Nagai, H.; Ohmi, S.; Asai, K.; Nakakita, K. Effect of temperature-sensitive-paint thickness on global heat transfer measurement in hypersonic flow. J. Heat Transf. 2008, 22, 373–381. [Google Scholar] [CrossRef]
- Merski, N.R. Reduction of analysis of phosphor thermography data with the IHEAT software package. In Proceedings of the 36th AIAA Aerospace Sciences Meeting and Exhibit, Reno, NV, USA, 12–15 January 1998. AIAA-1998-0712. [Google Scholar]
- Merski, N.R. Global aero-heating wind tunnel measurements using improved two-color phosphor thermography methods. J. Heat Transf. 1999, 36, 160–170. [Google Scholar]
- Wu, S.; Shu, Y.H.; Li, J.P.; Yu, H.R. An integral heat flux sensor with high spatial and temporal resolutions. Chin. Sci. Bull. 2014, 59, 3484–3489. [Google Scholar] [CrossRef][Green Version]
- Simmons, J.M. Measurement techniques in high-enthalpy hypersonic facilities. Exp. Fluid Sci. 1995, 10, 454–469. [Google Scholar] [CrossRef]
- Buttsworth, D.R. Assessment of effective thermal product of surface junction thermocouples on millisecond and microsecond time scales. Exp. Fluid Sci. 2001, 25, 409–420. [Google Scholar] [CrossRef]
- NIST. ITS-90 Table for Type E Thermocouple Database. Available online: https://srdata.nist.gov/its90/download/type_e.tab (accessed on 30 July 2020).
- Marrone, P.; Hartunian, R. Thin-Film Thermometer Measurements in Partially Ionized Shock-Tube Flows. Phys. Fluids 1959, 2, 719–721. [Google Scholar] [CrossRef]
- Nawaz, A.; Santos, J.A. Assessing calorimeter evaluation methods in convective and radiative heat flux environment. In Proceedings of the 10th AIAA/ASME Joint Thermophysics and Heat Transfer Conference, Chicago, IL, USA, 28 June 2010–1 July 2010. AIAA-2010-4905. [Google Scholar]
- Santos, J.; Oishi, T.; Martinez, E. Null point calorimeter sweeps with comparisons to thermal FEA model predictions. In Proceedings of the 41st AIAA Thermophysics Conference, San Antonio, TX, USA, 22–25 June 2009. AIAA-2009-3758. [Google Scholar]
- Lohle, S.; Battaglia, J.L.; Jullien, P.; Ootegem, B.V.; Lasserre, J.P.; Couzi, J. Improvement of high heat flux measurement using a null-point calorimeter. J. Spacecr. Rocket. 2008, 45, 76–81. [Google Scholar] [CrossRef]
- Ledford, R.L.; Smotherman, W.E.; Kidd, C.T. Recent Developments in Heat-Transfer-Rate, Pressure, and Force Measurements for Hot-Shot Tunnels. IEEE Trans. Aerosp. Electron. Syst. 1968, 2, 202–209. [Google Scholar] [CrossRef]
- Yan, X.; Wei, J.; Guo, J.; Hua, C.; Liu, J.; Chen, L.; Hei, L.; Li, C. Mechanism of graphitization and optical degradation of CVD diamond films by rapid heating treatment. Diam. Relat. Mater. 2017, 73, 39–46. [Google Scholar] [CrossRef]
- Geraets, R.T.P.; Mcgilvray, M.; Doherty, L.; Morgan, R.G.; Vella, S. Development of a Fast-Response Calorimeter Gauge for Hypersonic Ground Testing. In Proceedings of the 33rd AIAA Aerodynamic Measurement Technology and Ground Testing Conference, Denver, Colorado, CO, USA, 5–9 June 2017. [Google Scholar]
- Zhang, S.Z.; Li, J.P.; Zhang, X.Y.; Chen, H.; Yu, H.R. Development of a novel transient calorimeter. Sci. Sin. Technol. 2018, 48, 1. [Google Scholar] [CrossRef][Green Version]
- Hightower, T.M.; Olivares, R.A.; Philippidis, D. Thermal Capacitance (Slug) Calorimeter Theory Including Heat Losses and Other Decaying Processes. In Proceedings of the Thermal amp; Fluids Analysis Workshop 2008, San Jose, CA, USA, 18–22 August 2008. [Google Scholar]
- Hoffmann, K.A.; Chiang, S.T. Computational Fluid Dynamics, 4th ed.; Engineering Education System: Wichita, Kansas, KS, USA, 2000. [Google Scholar]
- Zhang, S.Z. Novel Transient Calorimetric Heat Flux Sensor. Ph.D. Thesis, University of Chinese Academy of Sciences, Beijing, China, 2018. [Google Scholar]
- Zeng, M. Numerical Rebuilding of Free-Stream Measurement and Analysis of Nonequilibrium Effects in High Enthalpy Tunnel. Ph.D. Thesis, Graduate School of the Chinese Academy of Sciences, Beijing, China, 2007. [Google Scholar]
- Eckert, E.R.G. Engineering relations for heat transfer and friction in high-velocity laminar and turbulent boundary-layer flow over surfaces with constant pressure and temperature. Trans. ASME 1956, 78, 1273–1283. [Google Scholar]
- Fay, J.; Riddell, F. Theory of Stagnation Point Heat Transfer in Dissociated Air. J. Aerosp. Sci. 1958, 25, 73–85. [Google Scholar] [CrossRef]






















| Materials | Natural Diamond | CVD Diamond | Copper | Air | Epoxy | Fiber-Reinforced Plastic | Stainless Steel |
|---|---|---|---|---|---|---|---|
| ρ, kg/m3 | 3515 | 3200 | 8920 | 1.177 | 1060 | 1400 | 7930 |
| c, J/(kg·K) | 510 | 620 | 386 | 1006 | 1960 | 531 | 500 |
| k, W/(m·K) | 2220 | 725 | 398 | 0.026 | 0.20 | 1.85 | 17 |
| (ρck)0.5, s0.5/(m2·K) | 63,085 | 37,926 | 37,018 | 5.5 | 645 | 1173 | 8210 |
| α × 106, m2/s | 1238 | 365 | 116 | 22 | 0.0963 | 2.49 | 4.29 |
| Parameters | Value | |
|---|---|---|
| Reservoir | P0, MPa | 1.22 |
| T0, K | 3570 | |
| Freestream | T∞, K | 749 |
| ρ∞, kg/m3 | 3.05 × 10−3 | |
| u∞, m/s | 2933 | |
| P∞, Pa | 663 |
| Sensor No. | Run 1 | Run 2 | Run 3 | Average Value | Theoretical Value | Relative Error |
|---|---|---|---|---|---|---|
| MW/m2 | % | |||||
| C01 | 0.190 | 0.190 | 0.197 | 0.192 | 0.196 | −2.02 |
| C02 | 0.163 | 0.162 | 0.170 | 0.165 | 0.170 | −2.79 |
| C03 | 0.141 | 0.140 | 0.148 | 0.143 | 0.152 | −5.81 |
| Sensor No. | C04 | C05 | C06 | C07 | C08 |
|---|---|---|---|---|---|
| a | 0.038 | 0.035 | 0.030 | 0.040 | 0.041 |
| Runs | Ms | ρ2 (kg/m3) | p2 (kPa) | u2 (m/s) | Theoretical Heat Flux (MW/m2) | Measured Heat Flux (MW/m2) | Relative Error (%) | ||
|---|---|---|---|---|---|---|---|---|---|
| Sensor C05 | Sensor C06 | Sensor C05 | Sensor C06 | ||||||
| 1 | 4.26 | 0.308 | 109.2 | 1187 | 2.25 | 2.02 | 2.07 | −10.1 | −7.8 |
| 2 | 4.31 | 0.309 | 109.7 | 1188 | 2.20 | 2.10 | 2.04 | −4.5 | −7.3 |
| 3 | 4.26 | 0.307 | 107.1 | 1173 | 2.28 | 2.06 | 2.09 | −9.7 | −8.4 |
| 4 | 4.29 | 0.308 | 108.7 | 1182 | 2.22 | 2.08 | 2.08 | −6.1 | −6.0 |
| 5 | 4.30 | 0.309 | 109.2 | 1185 | 2.30 | 2.15 | 2.12 | −6.7 | −8.0 |
© 2020 by the authors. Licensee MDPI, Basel, Switzerland. This article is an open access article distributed under the terms and conditions of the Creative Commons Attribution (CC BY) license (http://creativecommons.org/licenses/by/4.0/).
Share and Cite
Zhang, S.; Wang, Q.; Li, J.; Zhang, X.; Chen, H. A Fast-Response Calorimeter with Dynamic Corrections for Transient Heat Transfer Measurements. Appl. Sci. 2020, 10, 6143. https://doi.org/10.3390/app10176143
Zhang S, Wang Q, Li J, Zhang X, Chen H. A Fast-Response Calorimeter with Dynamic Corrections for Transient Heat Transfer Measurements. Applied Sciences. 2020; 10(17):6143. https://doi.org/10.3390/app10176143
Chicago/Turabian StyleZhang, Shizhong, Qiu Wang, Jinping Li, Xiaoyuan Zhang, and Hong Chen. 2020. "A Fast-Response Calorimeter with Dynamic Corrections for Transient Heat Transfer Measurements" Applied Sciences 10, no. 17: 6143. https://doi.org/10.3390/app10176143
APA StyleZhang, S., Wang, Q., Li, J., Zhang, X., & Chen, H. (2020). A Fast-Response Calorimeter with Dynamic Corrections for Transient Heat Transfer Measurements. Applied Sciences, 10(17), 6143. https://doi.org/10.3390/app10176143

