Effect of Equivalent Load Distribution on the Accuracy of Mapping the Reinforcement Load Deflection Curve in LTP
Abstract
1. Introduction
2. Methodology
- —function describing the equivalent load [kPa];
- —equivalent load on the membrane [kPa];
- —coefficient determining the load distribution [–];
- —clear distance between adjacent columns [m];
- —distance from the centre between the columns [m].
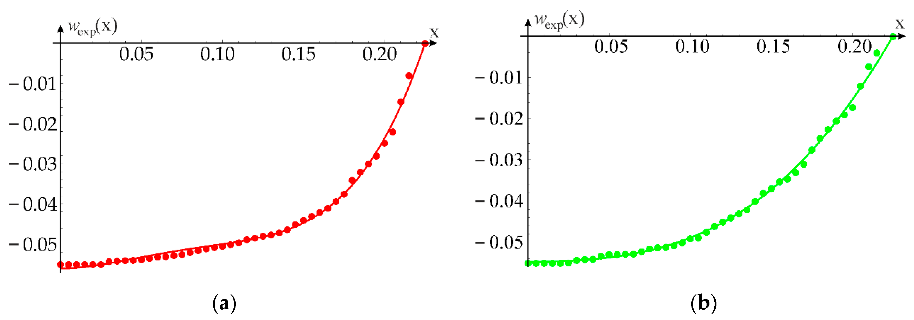
3. Analysis of the Measurement Results of Geosynthetic Reinforcement Deflection
4. Results
4.1. Cases of k = 0 (No Support by Subsoil)
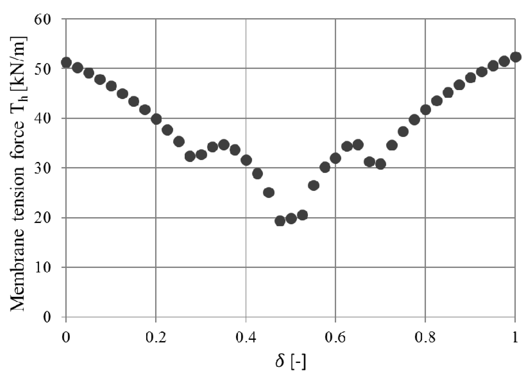
4.2. Significant Soil Support Cases
5. Discussion of the Obtained Results
6. Conclusions
- In many of the analysed cases, the best representation of the geosynthetic deflection curve (the smallest mapping error) was obtained for a distribution represented by or close to it.
- Inverse triangular distribution usually allows to obtain a fairly accurate representation of the real deflection curve of the load transfer platform geosynthetic reinforcement of embankments on soft soils improved with columns.
- If the bearing resistance of soft soil is significant, the load distribution that allows for a better representation of the LTP reinforcement deflection in the final phase of the structure operation, depending on load ratio and stiffness of the reinforcement, and with the same value of the subgrade reaction, may be different. In the considered case 3R for measurements after 138 days, the smallest mapping error was obtained for the distribution with , and for case 4R—for the distribution with .
- The analyses have shown that among the considered load distributions, it is not possible to identify one that ensures the most accurate forecasting of the LTP reinforcement behaviour in every situation.
- Large values of the mapping error obtained for measurements made during the embankment construction phases and at a small distance from its implementation in the case of sections 3R and 4R indicate that the analytical methods do not allow for a reliable prediction of geosynthetic behaviour in these phases in the case with soil characterized by a significant coefficient of resistance k. When soft soil between the columns takes part in the load transfer (soils with significant value of subgrade reaction k), there is no justification for calculating the behaviour of the reinforcement in the embankment construction phases.
Supplementary Materials
Author Contributions
Funding
Conflicts of Interest
References
- Ellis, E.; Aslam, R. Arching in piled embankments. Comparison of centrifuge tests and predictive methods, part 1 of 2. Ground Eng. 2009, 42, 34–38. [Google Scholar]
- Ellis, E.; Aslam, R. Arching in piled embankments. Comparison of centrifuge tests and predictive methods, part 2 of 2. Ground Eng. 2009, 42, 28–31. [Google Scholar]
- Britton, E.J.; Naughton, P.J. An experimental investigation of arching in piled embankments. In Proceedings of the 4th European Geosynthetics Congress EuroGeo 4, Edinburgh, Scotland, 7–10 September 2008; p. 106. [Google Scholar]
- Britton, E.J.; Naughton, P.J. An experimental study to determine the location of the critical height in piled embankments. In Proceedings of the Geo-Frontiers Congress 2011, Dallas, TX, USA, 13–16 March 2011; Han, J., Alzamora, D.E., Eds.; ASCE: Reston, VA, USA, 2011. [Google Scholar]
- Hewlett, W.J.; Randolph, M.F. Analysis of piled embankments. Ground Eng. 1988, 22, 12–18. [Google Scholar]
- Oh, Y.I.; Shin, E.C. Reinforced and arching effect of geogrid-reinforced and pilesupported embankment on marine soft ground. Mar. Georesources Geotechnol. 2007, 25, 97–118. [Google Scholar] [CrossRef]
- Sloan, J.A. Column-Supported Embankments: Full-Scale Tests and Design Recommendations. Ph.D. Thesis, Virginia Polytechnic Institute and State University, Blacksburg, VA, USA, 2011. [Google Scholar]
- Zaeske, D. Zur Wirkungsweise von unbewehrten und bewehrten mineralischen Tragschichten über pfahlartigen Gründungselementen. Schr. Geotech. Univ. Kassel 2001, 10, 143. (In German) [Google Scholar]
- Van Eekelen, S.J.M.; Lodder, H.J.; Bezuijen, A. Load distribution on the geosynthetic reinforcement within a piled embankment. In Proceedings of the 15th European Conference on Soil Mechanics and Geotechnical Engineering, Athens, Greece, 15 September 2011; Anagnostopoulos, A., Pachakis, M., Tsatsanifos, C., Eds.; IOS Press: Amsterdam, The Netherlands, 2011; pp. 1137–1142. [Google Scholar]
- Van Eekelen, S.J.M. Basal Reinforced Piled Embankments. Ph.D. Thesis, Technical University of Delft, Delft, The Netherlands, 2015. [Google Scholar]
- Almeida, M.S.S.; Ehrlich, M.; Spotti, A.P.; Marques, M.E.S. Embankment supported on piles with biaxial geogrids. Geotech. Eng. 2007, 160, 185–192. [Google Scholar] [CrossRef]
- Almeida, M.S.S.; Marques, M.E.S.; Almeida, M.C.F.; Mendonca, M.B. Performance on two low piled embankments with geogrids at Rio de Janeiro. In Proceedings of the First Pan American Geosynthetics Conference and Exhibition, Cancun, Mexico, 2–5 March 2008; pp. 1285–1295. [Google Scholar]
- Briançon, L.; Simon, B. Performance of Pile-Supported Embankment over Soft Soil: Full-Scale Experiment. J. Geotech. Geoenviron. Eng. 2012, 138, 551–561. [Google Scholar] [CrossRef]
- Van Duijnen, P.G.; Van Eekelen, S.J.M.; Van der Stoel, A.E.C. Monitoring of a railway piled embankment. In Proceedings of the 9th International Conference on Geosynthetics (9ICG), Guarujá, Brazil, 23–27 May 2010; pp. 1461–1464. [Google Scholar]
- Van Eekelen, S.J.M.; Bezuijen, A.; van Duijnen, P.G. Does a piled embankment ‘feel’ the passage of a heavy truck? High frequency field measurements. In Proceedings of the 5th European Geosynthetics Congress EuroGeo5, Valencia, Spain, 16–19 September 2012; Volume 5, pp. 162–166. [Google Scholar]
- Fagundes, D.F.; Almeida, M.S.S.; Thorel, L.; Blanc, M. Load transfer mechanism and deformation of reinforced piled embankments. Geotext. Geomembr. 2017, 45, 1–10. [Google Scholar] [CrossRef]
- BS8006–1. Code of Practice for Strengthened/Reinforced Soils and Other Fills; British Standards Institution: London, UK, 2010. [Google Scholar]
- CUR 226. Design Guideline for Basal Reinforced Piled Embankment Systems; SBRCURnet/CRC Press: Delft, The Netherlands, 2016. [Google Scholar]
- EBGEO. Recommendations for Design and Analysis of Earth Structures Using Geosynthethic Reinforcements; DGGT; Ernst & Sohn: Berlin, Germany, 2011. [Google Scholar]
- Al-Naddaf, F.; Han, J.; Xu, C.; Jawad, S.; Abdulrasool, G. Experimental investigation of soil arching mobilization and degradation under localized surface loading. J. Geotech. Geoenviron. Eng. 2019, 145, 04019114. [Google Scholar] [CrossRef]
- Eskişar, T.; Otani, J.; Hironaka, J. Visualization of soil arching on reinforced embankment with rigid pile foundation using X-ray CT. Geotext. Geomembr. 2012, 32, 44–54. [Google Scholar] [CrossRef]
- Filz, M.G.; Smith, M.E. Net vertical load on geosynthetic reinforcement in column-supported embankments. In Proceedings of the Sessions of Geo-Denver 2007, Soil Improvement (GSP 172), Denver, CO, USA, 18–21 February 2007; Schaefer, V.R., Filz, G.M., Gallagher, P.M., Sehn, A.L., Wissmann, K.J., Eds.; ASCE: Reston, VA, USA, 2007. [Google Scholar]
- Naughton, P.; Scotto, M.; Kempton, G. Piled embankments: Past experience and future perspectives. In Proceedings of the 4th European Geosynthetics Conference, Edinburgh, Scotland, 7–10 September 2008; p. 184. [Google Scholar]
- Zhang, Z.; Tao, F.J.; Ye, G.B.; Han, J.; Xu, C.; Liu, L. Physical models to investigate soil arching phenomena under cyclic footing loading using transparent soil. In Proceedings of the GeoShanghai 2018 International Conference: Fundamentals of Soil Behaviours, Shanghai, China, 27–30 May 2018; Zhou, A., Tao, J., Gu, X., Hu, L., Eds.; Springer: Singapore, 2018; pp. 792–801. [Google Scholar]
- Zhuang, Y.; Ellis, E.; Yu, H.S. Three-dimensional finite-element analysis of arching in a piled embankment. Géotechnique 2012, 62, 1127–1131. [Google Scholar] [CrossRef]
- Zhuang, Y.; Wang, K.Y.; Liu, H.L. A simplified model to analyze the reinforced piled embankments. Geotext. Geomembr. 2014, 42, 154–165. [Google Scholar] [CrossRef]
- Fonseca, E.C.A.; Palmeira, E.M. Evaluation of the accuracy of design methods for geosynthetic-reinforced piled embankments. Can. Geotech. J. 2019, 56, 761–773. [Google Scholar] [CrossRef]
- Naughton, P.J.; Kempton, G.T. Comparison of analytical and numerical analysis design method for piled embankments. In Proceedings of the Geo-Frontiers 2005, Contemporary Issues in Foundation Engineering (GSP 131), Austin, TX, USA, 24–26 January 2005; Anderson, J.B., Phoon, K.K., Smith, E., Loehr, J.E., Eds.; ASCE: Reston, VA, USA; pp. 135–144. [Google Scholar]
- Stewart, M.E.; Filz, G.M. Influence of clay compressibility on geosynthetic loads in bridging layers for column-supported embankment. In Proceedings of the Geo-Frontiers 2005, Contemporary Issues in Foundation Engineering (GSP 131), Austin, TX, USA, 24–26 January 2005; Anderson, J.B., Phoon, K.K., Smith, E., Loehr, J.E., Eds.; ASCE: Reston, VA, USA; pp. 1–14. [Google Scholar]
- Zhang, Z.; Tao, F.; Han, J.; Ye, G.; Liu, L. Numerical Analysis of Geosynthetic-Reinforced Pile-Supported Embankments Subjected to Different Surface Loads. In Proceedings of the Geo-Congress 2020: Engineering, Monitoring, and Management of Geotechnical Infrastructure (GSP 316), Minneapolis, MN, USA, 25–28 February 2020; ASCE: Reston, VA, USA. [Google Scholar]
- Deb, K.; Mohapatra, S.R. Analysis of stone column-supported geosynthetic-reinforced embankments. Appl. Math. Model. 2013, 37, 2943–2960. [Google Scholar] [CrossRef]
- Filz, G.M.; Sloan, J.A. Load distribution on geosynthetic reinforcement in column-supported embankments. In Proceedings of the Geo-Congress 2013: Stability and Performance of Slopes and Embankments III (GSP 231), San Diego, CA, 3–7 March 2013; Meehan, C., Pradel, D., Pando, M.A., Labuz, J.F., Eds.; ASCE: Reston, VA, USA, 2013. [Google Scholar]
- Jones, B.M.; Plaut, R.H.; Filz, G.M. Analysis of geosynthetic reinforcement in pile-supported embankment. Part I: 3D plate model. Geosynth. Int. 2010, 17, 59–67. [Google Scholar] [CrossRef]
- Gajewska, B.; Gajewski, M. Wpływ rozkładu obciążenia ekwiwalentnego na zachowanie membrany modelującej zbrojenie warstwy transmisyjnej. Acta Sci. Pol. Archit. 2020. in press. (In Polish) [Google Scholar]
- Gajewska, B.; Gajewski, M. Approximation Method for Evaluation of Strains and Forces in LTP Reinforcement of Embankments on Columns. IOP Conf. Ser. Mater. Sci. Eng. 2019, 661, 012089. [Google Scholar] [CrossRef]
- Gajewska, B.; Gajewski, M. Reinforced column-supported embankments: An approximation method for evaluating LTP reinforcement. In Theoretical Foundation of Civil Engineering. Mechanics of Materials and Structures; Szwed, A., Kamińska, I.D., Eds.; Oficyna Wydawnicza Politechniki Warszawskiej: Warszawa, Poland, 2019; Volume 9, pp. 55–74. [Google Scholar]
- Nunez, M.A.; Briançon, L.; Dias, D. Analyses of a pile-supported embankment over soft clay: Full-scale experiment, analytical and numerical approaches. Eng. Geol. 2013, 153, 53–67. [Google Scholar] [CrossRef]
- Van Eekelen, S.J.M.; Bezuijen, A. Inversed triangular load distribution in a piled embankment, 3D model experiments, field tests, numerical analysis and consequences. In Proceedings of the 5th European Geosynthetics Congress EuroGeo5, Valencia, Spain, 16–19 September 2012; Volume 5, pp. 172–176. [Google Scholar]
- Blanc, M.; Thorel, L.; Girout, R.; Almeida, M. Geosynthetic reinforcement of a granular load transfer platform above rigid inclusions: Comparison between centrifuge testing and analytical modelling. Geosynth. Int. 2014, 21, 37–52. [Google Scholar] [CrossRef]
- Lehn, J.; Moormann, C.; Aschrafi, J. Numerical Investigations on the Load Distribution over the Geogrid of a Basal Reinforced Piled Embankment under Cyclic Loading. Procedia Eng. 2016, 143, 435–444. [Google Scholar] [CrossRef]
- Klobe, B. Die erdstatische Berechnung geotechnischer Flächentragwerke. Bautechnik 2007, 84, 94–102. [Google Scholar] [CrossRef]















| Test | Centre to Centre Distance between Piles (sx = sy) [m] | Diameter Circular Pile Caps d [m] | Subgrade Reaction k [kN/m3] | GR Short Time Stiffness J2% (Direction 1/Direction 2) [kN/m] |
|---|---|---|---|---|
| K2 | 0.55 | 0.10 | 0 | 2269 |
| T3 | 0.55 | 0.10 | 0 | 970/1810 |
| C | 0.55 | 0.10 | 0 | 1045 |
| Test | Centre to Centre Distance between Piles (sx = sy) [m] | Diameter Circular Pile Caps d [m] | Subgrade Reaction k [kN/m3] | GR Short Time Stiffness Jx = Jy [kN/m] |
|---|---|---|---|---|
| 3R | 2.0 | 0.38 | 356 | 800 |
| 4R | 2.0 | 0.38 | 356 | 1000 (2 × 500) |
© 2020 by the authors. Licensee MDPI, Basel, Switzerland. This article is an open access article distributed under the terms and conditions of the Creative Commons Attribution (CC BY) license (http://creativecommons.org/licenses/by/4.0/).
Share and Cite
Gajewska, B.; Gajewski, M. Effect of Equivalent Load Distribution on the Accuracy of Mapping the Reinforcement Load Deflection Curve in LTP. Appl. Sci. 2020, 10, 6127. https://doi.org/10.3390/app10176127
Gajewska B, Gajewski M. Effect of Equivalent Load Distribution on the Accuracy of Mapping the Reinforcement Load Deflection Curve in LTP. Applied Sciences. 2020; 10(17):6127. https://doi.org/10.3390/app10176127
Chicago/Turabian StyleGajewska, Beata, and Marcin Gajewski. 2020. "Effect of Equivalent Load Distribution on the Accuracy of Mapping the Reinforcement Load Deflection Curve in LTP" Applied Sciences 10, no. 17: 6127. https://doi.org/10.3390/app10176127
APA StyleGajewska, B., & Gajewski, M. (2020). Effect of Equivalent Load Distribution on the Accuracy of Mapping the Reinforcement Load Deflection Curve in LTP. Applied Sciences, 10(17), 6127. https://doi.org/10.3390/app10176127

