A Method for Broken Rotor Bars Diagnosis Based on Sum-Of-Squares of Current Signals
Abstract
1. Introduction
2. Modulation Effect of Broken Rotor Bars on the Current Signal
3. The SS Method
3.1. The Theoretical Basis of the SS Method
3.2. The SS Method for Broken Rotor Bars Detection
4. Experimental Validation and Discussion
4.1. Experiment Setup
4.2. Results and Discussion
4.2.1. Time-Domain Signals and Their Spectrums of Current Signals
4.2.2. The Calculation of fbrb
4.2.3. The Effectiveness of the SS Method
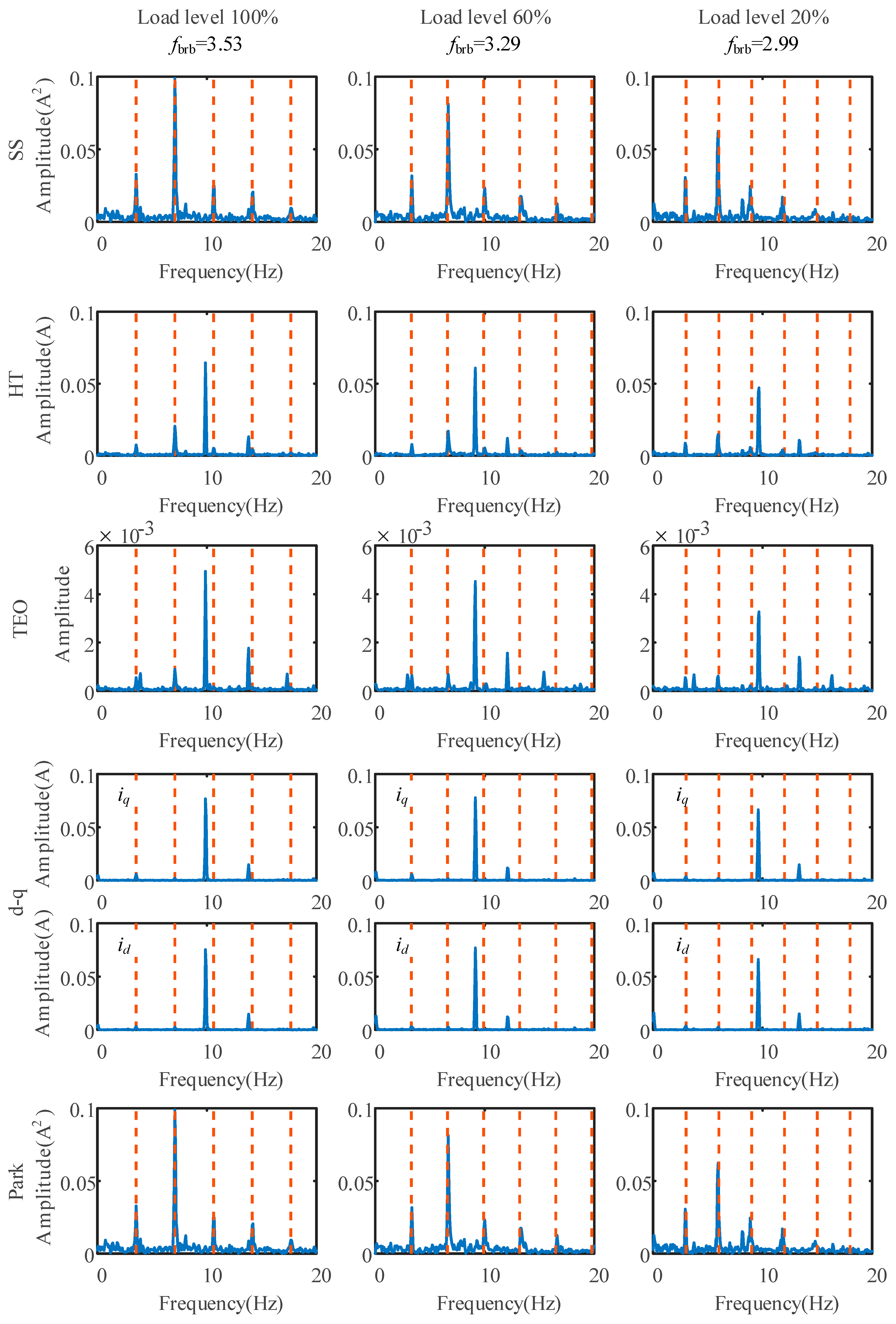
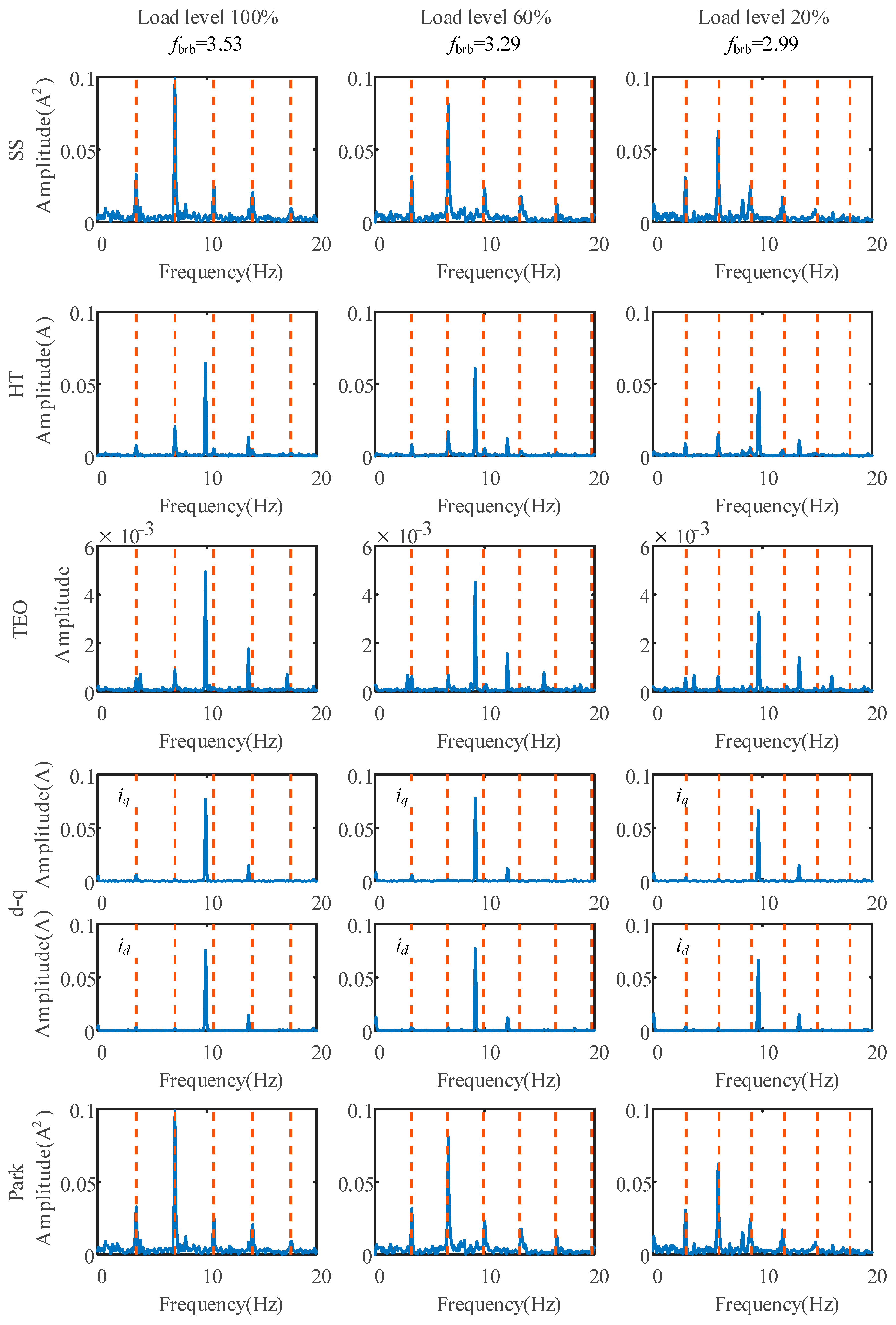
4.2.4. Comparison with Popular Methods of Broken Rotor Bars Diagnosis
- (1)
- The SS method and Park’s vector modulus have the best effect, and four signature frequency components are obvious in the spectra of the SS method under three load conditions. The spectra of the SS method and Park’s vector modulus are very similar. Theoretically, the results obtained by the two methods are consistent, but the principle of the SS method is simper than Park’s vector modulus.
- (2)
- In the spectra of classical methods, including the HT, TEO, and d-q transform methods, only two signature frequency components are discernible, and there is a strong interfering frequency component near 3fbrb and 4fbrb, which is caused by equipment noise.
- (3)
- For the experimental data used in this paper, the effectiveness of the d-q transform method is unsatisfying compared with other methods.
4.2.5. Comparison of Computation Cost
5. Conclusions
- (1)
- The SS method is effective for broken rotor bar diagnosis under different load conditions and different rotation speeds of the MFS test stand.
- (2)
- By comparing with the popular methods, including Park’s vector modulus, HT, TEO, and d-q transform, the effect of the SS method and Park’s vector modulus is the best of them. Theoretically, the SS method and Park’s vector modulus have the same effectiveness.
- (3)
- The principle of the SS method is simple and the computation cost is relatively smaller than many popular methods.
Author Contributions
Funding
Acknowledgments
Conflicts of Interest
References
- Wu, Y.K.; Jiang, B.; Wang, Y.L. Incipient winding fault detection and diagnosis for squirrel-cage induction motors equipped on CRH trains. ISA Trans. 2020, 99, 488–495. [Google Scholar] [CrossRef] [PubMed]
- Bellini, A.; Filippetti, F.; Tassoni, C.; Capolino, G.-A. Advances in Diagnostic Techniques for Induction Machines. IEEE Trans. Ind. Electron. 2008, 55, 4109–4126. [Google Scholar] [CrossRef]
- Burriel-Valencia, J.; Puche-Panadero, R.; Martinez-Roman, J.; Sapena-Bano, A.; Pineda-Sanchez, M.; Perez-Cruz, J.; Riera-Guasp, M. Automatic Fault Diagnostic System for Induction Motors under Transient Regime Optimized with Expert Systems. Electronics 2019, 8, 6. [Google Scholar] [CrossRef]
- Bessam, B.; Menacer, A.; Boumehraz, M.; Cherif, H. Detection of broken rotor bar faults in induction motor at low load using neural network. ISA Trans. 2016, 64, 241–246. [Google Scholar] [CrossRef] [PubMed]
- Xie, Y.; Chen, P.; Li, F.; Liu, H. Electromagnetic forces signature and vibration characteristic for diagnosis broken bars in squirrel cage induction motors. Mech. Syst. Signal Process. 2019, 123, 554–572. [Google Scholar] [CrossRef]
- Mehrjou, M.R.; Mariun, N.; Marhaban, M.H.; Misron, N. Rotor fault condition monitoring techniques for squirrel-cage induction machine—A review. Mech. Syst. Signal Process. 2011, 25, 2827–2848. [Google Scholar] [CrossRef]
- Wang, Z.; Yang, J.; Li, H.; Zhen, D.; Xu, Y.; Gu, F. Fault Identification of Broken Rotor Bars in Induction Motors Using an Improved Cyclic Modulation Spectral Analysis. Energies 2019, 12, 3279. [Google Scholar] [CrossRef]
- Zhen, D.; Wang, Z.; Li, H.; Zhang, H.; Yang, J.; Gu, F. An Improved Cyclic Modulation Spectral Analysis Based on the CWT and Its Application on Broken Rotor Bar Fault Diagnosis for Induction Motors. Appl. Sci. 2019, 9, 3902. [Google Scholar] [CrossRef]
- Nascimento, N.M.M.; Silva, S.P.P.; Reboucas Filho, P.P.; Medeiros, C.M.S. Higher-Order Statistics applied to machine learning as an approach to identify broken rotor bars in induction motors. IEEE Latin Am. Trans. 2018, 16, 2267–2274. [Google Scholar] [CrossRef]
- Sabbaghian-Bidgoli, F.; Poshtan, J. Fault Detection of Broken Rotor Bar Using an Improved form of Hilbert-Huang Transform. Fluct. Noise Lett. 2018, 17, 1850012. [Google Scholar] [CrossRef]
- Gangsar, P.; Tiwari, R. Signal based condition monitoring techniques for fault detection and diagnosis of induction motors: A state-of-the-art review. Mech. Syst. Signal Process. 2020, 144, 106908. [Google Scholar] [CrossRef]
- Panagiotou, P.A.; Arvanitakis, I.; Lophitis, N.; Antonino-Daviu, J.A.; Gyftakis, K.N. A New Approach for Broken Rotor Bar Detection in Induction Motors Using Frequency Extraction in Stray Flux Signals. IEEE Trans. Ind. Appl. 2019, 55, 3501–3511. [Google Scholar] [CrossRef]
- Soleimani, Y.; Cruz, S.M.A.; Haghjoo, F. Broken Rotor Bar Detection in Induction Motors Based on Air-Gap Rotational Magnetic Field Measurement. IEEE Trans. Instrum. Meas. 2019, 68, 2916–2925. [Google Scholar] [CrossRef]
- Naha, A.; Samanta, A.K.; Routray, A.; Deb, A.K. A Method for Detecting Half-Broken Rotor Bar in Lightly Loaded Induction Motors Using Current. IEEE Trans. Instrum. Meas. 2016, 65, 1614–1625. [Google Scholar] [CrossRef]
- Ouadah, M.; Touhami, O.; Ibtiouen, R. Improvement of the detection of the defect squirrel cage rotor by the study of additional components of the space harmonics. Electr. Eng. 2018, 100, 2485–2497. [Google Scholar] [CrossRef]
- Liboni, L.H.B.; Flauzino, R.A.; da Silva, I.N.; Marques Costa, E.C. Efficient feature extraction technique for diagnosing broken bars in three-phase induction machines. Measurement 2019, 134, 825–834. [Google Scholar] [CrossRef]
- Rivera-Guillen, J.R.; De Santiago-Perez, J.J.; Amezquita-Sanchez, J.P.; Valtierra-Rodriguez, M.; Romero-Troncoso, R.J. Enhanced FFT-based method for incipient broken rotor bar detection in induction motors during the startup transient. Measurement 2018, 124, 277–285. [Google Scholar] [CrossRef]
- Martin-Diaz, I.; Morinigo-Sotelo, D.; Duque-Perez, O.; Garcia-Perez, A.; Camarena-Martinez, D.; Romero-Troncoso, R.J. High-resolution Spectral Analysis for Fault Detection on Induction Motors Fed by Variable-Speed Drives. J. Sci. Ind. Res. 2017, 76, 545–549. [Google Scholar]
- Liang, B.; Iwnicki, S.D.; Zhao, Y. Application of power spectrum, cepstrum, higher order spectrum and neural network analyses for induction motor fault diagnosis. Mech. Syst. Signal Process. 2013, 39, 342–360. [Google Scholar] [CrossRef]
- Abd-el-Malek, M.; Abdelsalam, A.K.; Hassan, O.E. Induction motor broken rotor bar fault location detection through envelope analysis of start-up current using Hilbert transform. Mech. Syst. Signal Process. 2017, 93, 332–350. [Google Scholar] [CrossRef]
- Rangel-Magdaleno, J.; Peregrina-Barreto, H.; Ramirez-Cortes, J.; Cruz-Vega, I. Hilbert spectrum analysis of induction motors for the detection of incipient broken rotor bars. Measurement 2017, 109, 247–255. [Google Scholar] [CrossRef]
- Abd-el-Malek, M.B.; Abdelsalam, A.K.; Hassan, O.E. Novel approach using Hilbert Transform for multiple broken rotor bars fault location detection for three phase induction motor. ISA Trans. 2018, 80, 439–457. [Google Scholar] [CrossRef] [PubMed]
- Cruz, S.M.A.; Cardoso, A.J.M. Stator winding fault diagnosis in three-phase synchronous and asynchronous motors, by the Extended Park’s Vector Approach. IEEE Trans. Ind. Appl. 2001, 37, 1227–1233. [Google Scholar] [CrossRef]
- Gyftakis, K.N.; Marques Cardoso, A.J.; Antonino-Daviu, J.A. Introducing the Filtered Park’s and Filtered Extended Park’s Vector Approach to detect broken rotor bars in induction motors independently from the rotor slots number. Mech. Syst. Signal Process. 2017, 93, 30–50. [Google Scholar] [CrossRef]
- Vilhekar, T.G.; Ballal, M.S.; Suryawanshi, H.M. Application of Multiple Parks Vector Approach for Detection of Multiple Faults in Induction Motors. J. Power Electron. 2017, 17, 972–982. [Google Scholar]
- Fu, Q.; Yue, S.; He, B.; Fu, N. Multiple coupled circuit modelling approach for squirrel cage induction machine under single-broken-bar fault with stator winding functions decomposed in d-q rotor reference frame. IET Electr. Power Appl. 2019, 13, 889–900. [Google Scholar] [CrossRef]
- Yin, S.; Hu, N.; Chen, L.; Hu, L. Teager Energy Operator and its Application in the Study of Induction Motor Rotor Broken Bars Fault. In Proceedings of the 2015 Prognostics and System Health Management Conference, Beijing, China, 21–23 October 2015. [Google Scholar]
- Li, H.Y.; Wang, Z.L.; Zhen, D.; Gu, F.S.; Ball, A. Modulation Sideband Separation Using the Teager-Kaiser Energy Operator for Rotor Fault Diagnostics of Induction Motors. Energies 2019, 12, 4437. [Google Scholar] [CrossRef]
- Gu, F.; Shao, Y.; Hu, N.; Naid, A.; Ball, A.D. Electrical motor current signal analysis using a modified bispectrum for fault diagnosis of downstream mechanical equipment. Mech. Syst. Signal Process. 2011, 25, 360–372. [Google Scholar] [CrossRef]
- Gu, F.; Wang, T.; Alwodai, A.; Tian, X.; Shao, Y.; Ball, A.D. A new method of accurate broken rotor bar diagnosis based on modulation signal bispectrum analysis of motor current signals. Mech. Syst. Signal Process. 2015, 50–51, 400–413. [Google Scholar] [CrossRef]
- Bellini, A.; Filippetti, F.; Franceschini, G.; Tassoni, C.; Kliman, G.B. Quantitative evaluation of induction motor broken bars by means of electrical signature analysis. IEEE Trans. Ind. Appl. 2001, 37, 1248–1255. [Google Scholar] [CrossRef]
- Filippetti, F.; Franceschini, G.; Tassoni, C.; Vas, P. AI techniques in induction machines diagnosis including the speed ripple effect. IEEE Trans. Ind. Appl. 1998, 34, 98–108. [Google Scholar] [CrossRef]









| Parameters | Value |
|---|---|
| Number of poles | 2 |
| Number of phases | 3 |
| Number of rotor bars | 32 |
| Number of broken bars | 4 |
| Number of stator slots | 24 |
| Motor power | 0.25 kW |
| Rated voltage | 190/380 V |
| Motor rated speed | 2850 rpm |
| Rated current | 2.0/1.0 A |
| Load Levels and Health Conditions | s | fbrb (Hz) |
|---|---|---|
| 100% load level faulty motor | 0.039189 | 3.532190 |
| 100% load level healthy motor | 0.035266 | 3.183333 |
| 60% load level faulty motor | 0.036284 | 3.294545 |
| 60% load level healthy motor | 0.031990 | 2.883333 |
| 20% load level faulty motor | 0.033149 | 2.996645 |
| 20% load level healthy motor | 0.030243 | 2.725926 |
| Load Level | Healthy Condition | Runtime of Different Algorithms (s) | ||||
|---|---|---|---|---|---|---|
| SS | HT | TEO | d-q | PARK | ||
| 100% | faulty motor | 0.000219 | 0.001289 | 0.000357 | 0.002605 | 0.000627 |
| healthy motor | 0.000247 | 0.001596 | 0.000277 | 0.002257 | 0.000667 | |
| 60% | faulty motor | 0.000164 | 0.000908 | 0.000202 | 0.00203 | 0.000475 |
| healthy motor | 0.000187 | 0.000994 | 0.000252 | 0.002269 | 0.000577 | |
| 20% | faulty motor | 0.000117 | 0.001015 | 0.000166 | 0.002034 | 0.000258 |
| healthy motor | 0.000155 | 0.000914 | 0.000158 | 0.002051 | 0.000407 | |
| mean | 0.000182 | 0.001119 | 0.000235 | 0.002208 | 0.000502 | |
© 2020 by the authors. Licensee MDPI, Basel, Switzerland. This article is an open access article distributed under the terms and conditions of the Creative Commons Attribution (CC BY) license (http://creativecommons.org/licenses/by/4.0/).
Share and Cite
Chen, J.; Hu, N.; Zhang, L.; Chen, L.; Wang, B.; Zhou, Y. A Method for Broken Rotor Bars Diagnosis Based on Sum-Of-Squares of Current Signals. Appl. Sci. 2020, 10, 5980. https://doi.org/10.3390/app10175980
Chen J, Hu N, Zhang L, Chen L, Wang B, Zhou Y. A Method for Broken Rotor Bars Diagnosis Based on Sum-Of-Squares of Current Signals. Applied Sciences. 2020; 10(17):5980. https://doi.org/10.3390/app10175980
Chicago/Turabian StyleChen, Jiageng, Niaoqing Hu, Lun Zhang, Ling Chen, Bozheng Wang, and Yang Zhou. 2020. "A Method for Broken Rotor Bars Diagnosis Based on Sum-Of-Squares of Current Signals" Applied Sciences 10, no. 17: 5980. https://doi.org/10.3390/app10175980
APA StyleChen, J., Hu, N., Zhang, L., Chen, L., Wang, B., & Zhou, Y. (2020). A Method for Broken Rotor Bars Diagnosis Based on Sum-Of-Squares of Current Signals. Applied Sciences, 10(17), 5980. https://doi.org/10.3390/app10175980

