AUTOSAR Runnable Periods Optimization for DAG-Based Complex Automobile Applications
Abstract
1. Introduction
- We formulate a problem of AUTOSAR runnable periods optimization in the context of control-scheduling codesign, which we consider to be one of the first such attempts;
- For the above problem, we present a Lagrange multiplier-based analytical method for DAG-based AUTOSAR control applications, which can find near-optimal solutions in polynomial times.
2. Related Work
3. Background and Problem Description
3.1. System Model
3.2. Control Performance Model
3.3. Schedulability Constraint
3.4. Problem Description
4. Analytical Solution for Linear Path Graphs
4.1. LPG Model
4.2. Transformation of Control Cost Function
4.3. Finding the Optimal Runnable Periods
5. Analytical Solution for Linear Multipath Graphs
5.1. LMG Model
5.2. Transformation of Control Cost Function
5.3. Transformation of Schedulability Constraint Function
5.4. Finding the Optimal Runnable Periods
6. Generalized Analytical Method for Directed Acyclic Graphs
6.1. DAG Model and Its Challenge
6.2. Transformation of Control Cost Function
- s are always proportional to s;
- The length of the critical path excluding and is equal to ;
- The length of any other path is always shorter than .
6.3. Transformation of Schedulability Constraint Function
6.4. Finding the Optimal Runnable Periods
6.5. Applying Our Method to Other Scheduling Algorithms
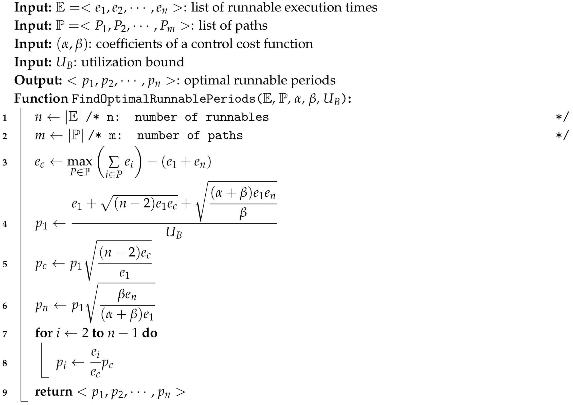
6.6. Algorithm
| Algorithm 1: Find optimal runnable periods for a DAG |
![]() |
6.7. Applying Our Method to Conventional Task-Based Systems
7. Evaluation
- Q1: Is our analytical method able to find near-optimal runnable periods?
- Q2: Is it practical to find real optimal solutions by the exhaustive search method?
- Q3: Is our method practically competitive when optimizing large systems?
7.1. Evaluation Method
- OUR: Near-optimal solutions found by our analytical optimization method;
- EXH: Real optimal solutions found by the exhaustive combinatorial search method;
- PSO: Solutions optimized by the particle swarm optimization (PSO) method [39].
7.2. Evaluation Results and Discussion
8. Conclusions
Author Contributions
Funding
Conflicts of Interest
Abbreviations
| RTE | Runtime Environment |
| DAG | Directed Acyclic Graph |
| RTOS | Real-Time Operating System |
| L&L | Liu and Layland |
| RM | Rate Monotonic |
| EDF | Earliest Deadline First |
| LQG | Linear Quadratic Gaussian |
| ECU | Electronic Control Unit |
| ILP | Integer Linear Programming |
| LPG | Linear Path Graph |
| LMG | Linear Multipath Graph |
| PSO | Particle Swarm Optimization |
References
- Kehr, S.; Panić, M.; Quiñones, E.; Böddeker, B.; Sandoval, J.B.; Abella, J.; Cazorla, F.J.; Schäfer, G. Supertask: Maximizing runnable-level parallelism in AUTOSAR applications. In Proceedings of the 2016 Design, Automation & Test in Europe Conference & Exhibition (DATE), Dresden, Germany, 14–18 March 2016; pp. 25–30. [Google Scholar]
- Kim, J.W.; Lee, K.J.; Ahn, H.S. Development of software component architecture for motor-driven power steering control system using AUTOSAR methodology. In Proceedings of the 2015 15th International Conference on Control, Automation and Systems (ICCAS), Busan, Korea, 13–16 October 2015; pp. 1995–1998. [Google Scholar]
- Park, J.; Choi, B.W. Design and implementation procedure for an advanced driver assistance system based on an open source AUTOSAR. Electronics 2019, 8, 1025. [Google Scholar] [CrossRef]
- AUTOSAR. Recommended Methods and Practices for Timing Analysis and Design within the AUTOSAR Development Process. AUTOSAR Classic Platform 4.3.1. Available online: https://www.autosar.org/fileadmin/user_upload/standards/classic/4-3/AUTOSAR_TR_TimingAnalysis.pdf (accessed on 13 July 2020).
- Kim, T.W.; Lee, G.M.; Kim, J.C. AUTOSAR Runnable Scheduling for Optimal Tradeoff between Control Performance and CPU Utilization. In Proceedings of the 2018 18th International Conference on Control, Automation and Systems (ICCAS), PyeongChang, Korea, 17–20 October 2018; pp. 602–605. [Google Scholar]
- Bini, E.; Cervin, A. Delay-aware period assignment in control systems. In Proceedings of the 2008 Real-Time Systems Symposium, Barcelona, Spain, 30 November–3 December 2008; pp. 291–300. [Google Scholar]
- Wu, Y.; Bini, E.; Buttazzo, G. A framework for designing embedded real-time controllers. In Proceedings of the 2008 14th IEEE International Conference on Embedded and Real-Time Computing Systems and Applications, Kaohisung, Taiwan, 25–27 August 2008; pp. 303–311. [Google Scholar]
- Wu, Y.; Buttazzo, G.; Bini, E.; Cervin, A. Parameter selection for real-time controllers in resource-constrained systems. IEEE Trans. Ind. Inform. 2010, 6, 610–620. [Google Scholar] [CrossRef]
- Fu, H.; Liu, J.; Han, Z.; Shao, Z. A heuristic task periods selection algorithm for real-time control systems on a multi-core processor. IEEE Access 2017, 5, 24819–24829. [Google Scholar] [CrossRef]
- Tan, L.; Du, C.; Dong, Y. Control-performance-driven period and deadline selection for cyber-physical systems. In Proceedings of the 2015 10th Asian Control Conference (ASCC), Kota Kinabalu, Malaysia, 31 May–3 June 2015; pp. 1–6. [Google Scholar]
- Liu, C.L.; Layland, J.W. Scheduling algorithms for multiprogramming in a hard-real-time environment. J. ACM 1973, 20, 46–61. [Google Scholar] [CrossRef]
- Seto, D.; Lehoczky, J.P.; Sha, L.; Shin, K.G. On task schedulability in real-time control systems. In Proceedings of the 17th IEEE Real-Time Systems Symposium, Washington, DC, USA, 4–6 December 1996; pp. 13–21. [Google Scholar]
- Seto, D.; Lehoczky, J.P.; Sha, L. Task period selection and schedulability in real-time systems. In Proceedings of the 19th IEEE Real-Time Systems Symposium (Cat. No. 98CB36279), Madrid, Spain, 2–4 December 1998; pp. 188–198. [Google Scholar]
- Enrico Bini, M.D.N. Optimal task rate selection in fixed priority systems. In Proceedings of the 26th IEEE International Real-Time Systems Symposium (RTSS’05), Miami, FL, USA, 6–8 December 2005; pp. 399–409. [Google Scholar]
- Du, C.; Tan, L.; Dong, Y. Period selection for integrated controller tasks in cyber-physical systems. Chin. J. Aeronaut. 2015, 28, 894–902. [Google Scholar] [CrossRef]
- Xu, Y.; Cervin, A.; Årzén, K.E. Harmonic scheduling and control co-design. In Proceedings of the 2016 IEEE 22nd International Conference on Embedded and Real-Time Computing Systems and Applications (RTCSA), Daegu, Korea, 17–19 August 2016; pp. 182–187. [Google Scholar]
- Cha, H.J.; Jeong, W.H.; Kim, J.C. Control-scheduling codesign exploiting trade-off between task periods and deadlines. Mob. Inf. Syst. 2016, 2016, 3414816. [Google Scholar] [CrossRef]
- Davare, A.; Zhu, Q.; Di Natale, M.; Pinello, C.; Kanajan, S.; Sangiovanni-Vincentelli, A. Period optimization for hard real-time distributed automotive systems. In Proceedings of the 44th annual Design Automation Conference, San Diego, CA, USA, 4–8 June 2007; pp. 278–283. [Google Scholar]
- Feiertag, N.; Richter, K.; Nordlander, J.; Jonsson, J. A compositional framework for end-to-end path delay calculation of automotive systems under different path semantics. In Proceedings of the IEEE Real-Time Systems Symposium, Washington, DC, USA, 30 November–3 December 2009. [Google Scholar]
- Schlatow, J.; Mostl, M.; Tobuschat, S.; Ishigooka, T.; Ernst, R. Data-age analysis and optimisation for cause-effect chains in automotive control systems. In Proceedings of the 2018 IEEE 13th International Symposium on Industrial Embedded Systems (SIES), Graz, Austria, 6–8 June 2018; pp. 1–9. [Google Scholar]
- Dürr, M.; Brüggen, G.V.D.; Chen, K.H.; Chen, J.J. End-to-End Timing Analysis of Sporadic Cause-Effect Chains in Distributed Systems. ACM Trans. Embed. Comput. Syst. 2019, 18, 1–24. [Google Scholar] [CrossRef]
- Choi, J.; Kang, D.; Ha, S. End-to-end latency analysis of cause-effect chains in an engine management system. In Proceedings of the 2018 Design, Automation & Test in Europe Conference & Exhibition (DATE), Dresden, Germany, 19–23 March 2018; pp. 1195–1198. [Google Scholar]
- Long, R.; Li, H.; Peng, W.; Zhang, Y.; Zhao, M. An approach to optimize intra-ecu communication based on mapping of autosar runnable entities. In Proceedings of the 2009 International Conference on Embedded Software and Systems, Hangzhou, China, 25–27 May 2009; pp. 138–143. [Google Scholar]
- Monot, A.; Navet, N.; Bavoux, B.; Simonot-Lion, F. Multisource software on multicore automotive ECUs—Combining runnable sequencing with task scheduling. IEEE Trans. Ind. Electron. 2012, 59, 3934–3942. [Google Scholar] [CrossRef]
- Saidi, S.E.; Cotard, S.; Chaaban, K.; Marteil, K. An ILP approach for mapping autosar runnables on multi-core architectures. In Proceedings of the 2015 Workshop on Rapid Simulation and Performance Evaluation: Methods and Tools, Amsterdam, The Netherlands, 21 January 2015; p. 6. [Google Scholar]
- Kehr, S.; Quiñones, E.; Langen, D.; Böddeker, B.; Schäfer, G. Parcus: Energy-aware and robust parallelization of AUTOSAR legacy applications. In Proceedings of the 2017 IEEE Real-Time and Embedded Technology and Applications Symposium (RTAS), Pittsburg, PA, USA, 18–21 April 2017; pp. 343–352. [Google Scholar]
- Choi, D.; Lee, G.M.; Jeon, W.; Kim, J.C. Control Performance-aware AUTOSAR Runnable Scheduling. Trans. Korean Soc. Automot. Eng. 2020, 28, 9–17. [Google Scholar] [CrossRef]
- Obermaisser, R.; El Salloum, C.; Huber, B.; Kopetz, H. From a federated to an integrated automotive architecture. IEEE Trans. Comput.-Aided Des. Integr. Circuits Syst. 2009, 28, 956–965. [Google Scholar] [CrossRef]
- Di Natale, M.; Sangiovanni-Vincentelli, A.L. Moving from federated to integrated architectures in automotive: The role of standards, methods and tools. Proc. IEEE 2010, 98, 603–620. [Google Scholar] [CrossRef]
- AUTOSAR. Virtual Function Bus. AUTOSAR Classic Platform 4.3.1. Available online: https://www.autosar.org/fileadmin/user_upload/standards/classic/4-3/AUTOSAR_EXP_VFB.pdf (accessed on 13 July 2020).
- Cervin, A.; Henriksson, D.; Lincoln, B.; Eker, J.; Arzen, K.E. How does control timing affect performance? Analysis and simulation of timing using Jitterbug and TrueTime. IEEE Control. Syst. Mag. 2003, 23, 16–30. [Google Scholar]
- AUTOSAR. Specification of Timing Extensions. AUTOSAR Classic Platform 4.3.1. Available online: https://www.autosar.org/fileadmin/user_upload/standards/classic/4-3/AUTOSAR_TPS_TimingExtensions.pdf (accessed on 13 July 2020).
- Peraldi-Frati, M.A.; Blom, H.; Karlsson, D.; Kuntz, S. Timing modeling with autosar-current state and future directions. In Proceedings of the 2012 Design, Automation & Test in Europe Conference & Exhibition (DATE), Dresden, Germany, 12–16 March 2012; pp. 805–809. [Google Scholar]
- Lincoln, B.; Cervin, A. Jitterbug: A tool for analysis of real-time control performance. In Proceedings of the 41st IEEE Conference on Decision and Control, Las Vegas, NV, USA, 10–13 December 2002; Volume 2, pp. 1319–1324. [Google Scholar]
- Henriksson, D.; Cervin, A.; Årzén, K.E. TrueTime: Simulation of control loops under shared computer resources. IFAC Proc. Vol. 2002, 35, 417–422. [Google Scholar] [CrossRef]
- Yu, F.; Li, D.F.; Crolla, D. Integrated vehicle dynamics control—State-of-the art review. In Proceedings of the 2008 IEEE Vehicle Power and Propulsion Conference, Harbin, China, 3–5 September 2008; pp. 1–6. [Google Scholar]
- Ono, E.; Hattori, Y.; Muragishi, Y.; Koibuchi, K. Vehicle dynamics integrated control for four-wheel-distributed steering and four-wheel-distributed traction/braking systems. Veh. Syst. Dyn. 2006, 44, 139–151. [Google Scholar] [CrossRef]
- Akiyama, S.; Tashiro, T. Integrated Vehicle Control System. U.S. Patent 7,047,117, 16 May 2006. [Google Scholar]
- Kennedy, J.; Eberhart, R. Particle swarm optimization. In Proceedings of the ICNN’95-International Conference on Neural Networks, Munich, Germany, 17–19 September 1995; Volume 4, pp. 1942–1948. [Google Scholar]
- Miranda, L.J.V. PySwarms a Research Toolkit for Particle Swarm Optimization in Python. Available online: https://pyswarms.readthedocs.io/en/latest/index.html (accessed on 13 July 2020).













| Number of Runnables | OUR | EXH |
|---|---|---|
| 4 | 0.012 ms | 1 s |
| 5 | 0.016 ms | 90 s |
| 6 | 0.022 ms | 3 h |
| 7 | 0.025 ms | 21 days |
| 8 | 0.031 ms | (350 days) |
| 9 | 0.036 ms | (3.4 years) |
| 10 | 0.042 ms | (3065 years) |
© 2020 by the authors. Licensee MDPI, Basel, Switzerland. This article is an open access article distributed under the terms and conditions of the Creative Commons Attribution (CC BY) license (http://creativecommons.org/licenses/by/4.0/).
Share and Cite
Choi, D.; Kim, T.-W.; Kim, J.-C. AUTOSAR Runnable Periods Optimization for DAG-Based Complex Automobile Applications. Appl. Sci. 2020, 10, 5829. https://doi.org/10.3390/app10175829
Choi D, Kim T-W, Kim J-C. AUTOSAR Runnable Periods Optimization for DAG-Based Complex Automobile Applications. Applied Sciences. 2020; 10(17):5829. https://doi.org/10.3390/app10175829
Chicago/Turabian StyleChoi, Daeho, Tae-Wook Kim, and Jong-Chan Kim. 2020. "AUTOSAR Runnable Periods Optimization for DAG-Based Complex Automobile Applications" Applied Sciences 10, no. 17: 5829. https://doi.org/10.3390/app10175829
APA StyleChoi, D., Kim, T.-W., & Kim, J.-C. (2020). AUTOSAR Runnable Periods Optimization for DAG-Based Complex Automobile Applications. Applied Sciences, 10(17), 5829. https://doi.org/10.3390/app10175829


